Abstract:Language models often struggle to follow multi-constraint instructions that are crucial for real-world applications. Existing reinforcement learning (RL) approaches suffer from dependency on external supervision and sparse reward signals from multi-constraint tasks. We propose a label-free self-supervised RL framework that eliminates dependency on external supervision by deriving reward signals directly from instructions and generating pseudo-labels for reward model training. Our approach introduces constraint decomposition strategies and efficient constraint-wise binary classification to address sparse reward challenges while maintaining computational efficiency. Experiments show that our approach generalizes well, achieving strong improvements across 3 in-domain and 5 out-of-domain datasets, including challenging agentic and multi-turn instruction following. The data and code are publicly available at https://github.com/Rainier-rq/verl-if
Abstract:Visual-inertial simultaneous localization and mapping (SLAM) is a key module of robotics and low-speed autonomous vehicles, which is usually limited by the high computation burden for practical applications. To this end, an innovative strategy-based hybrid framework HS-SLAM is proposed to integrate the advantages of direct and feature-based methods for fast computation without decreasing the performance. It first estimates the relative positions of consecutive frames using IMU pose estimation within the tracking thread. Then, it refines these estimates through a multi-layer direct method, which progressively corrects the relative pose from coarse to fine, ultimately achieving accurate corner-based feature matching. This approach serves as an alternative to the conventional constant-velocity tracking model. By selectively bypassing descriptor extraction for non-critical frames, HS-SLAM significantly improves the tracking speed. Experimental evaluations on the EuRoC MAV dataset demonstrate that HS-SLAM achieves higher localization accuracies than ORB-SLAM3 while improving the average tracking efficiency by 15%.
Abstract:This white paper discusses the role of large-scale AI in the telecommunications industry, with a specific focus on the potential of generative AI to revolutionize network functions and user experiences, especially in the context of 6G systems. It highlights the development and deployment of Large Telecom Models (LTMs), which are tailored AI models designed to address the complex challenges faced by modern telecom networks. The paper covers a wide range of topics, from the architecture and deployment strategies of LTMs to their applications in network management, resource allocation, and optimization. It also explores the regulatory, ethical, and standardization considerations for LTMs, offering insights into their future integration into telecom infrastructure. The goal is to provide a comprehensive roadmap for the adoption of LTMs to enhance scalability, performance, and user-centric innovation in telecom networks.
Abstract:Real-world instructions with multiple constraints pose a significant challenge to existing large language models (LLMs). An observation is that the LLMs exhibit dramatic performance fluctuation when disturbing the order of the incorporated constraints. Yet, none of the existing works has systematically investigated this position bias problem in the field of multi-constraint instruction following. To bridge this gap, we design a probing task where we quantitatively measure the difficulty distribution of the constraints by a novel Difficulty Distribution Index (CDDI). Through the experimental results, we find that LLMs are more performant when presented with the constraints in a ``hard-to-easy'' order. This preference can be generalized to LLMs with different architecture or different sizes of parameters. Additionally, we conduct an explanation study, providing an intuitive insight into the correlation between the LLM's attention and constraint orders. Our code and dataset are publicly available at https://github.com/meowpass/PBIF.
Abstract:It is crucial for large language models (LLMs) to follow instructions that involve multiple constraints. However, soft constraints are semantically related and difficult to verify through automated methods. These constraints remain a significant challenge for LLMs. To enhance the ability of LLMs to follow soft constraints, we initially design a pipeline to obtain high-quality outputs automatically. Additionally, to fully utilize the acquired data, we introduce a training paradigm based on curriculum learning. We experimentally evaluate the effectiveness of our methods in improving LLMs' soft constraint following ability and analyze the factors driving the improvements. The datasets and code are publicly available at https://github.com/Rainier-rq/FollowSoftConstraints.




Abstract:Aspect Sentiment Quad Prediction (ASQP) aims to predict all quads (aspect term, aspect category, opinion term, sentiment polarity) for a given review, which is the most representative and challenging task in aspect-based sentiment analysis. A key challenge in the ASQP task is the scarcity of labeled data, which limits the performance of existing methods. To tackle this issue, we propose a self-training framework with a pseudo-label scorer, wherein a scorer assesses the match between reviews and their pseudo-labels, aiming to filter out mismatches and thereby enhance the effectiveness of self-training. We highlight two critical aspects to ensure the scorer's effectiveness and reliability: the quality of the training dataset and its model architecture. To this end, we create a human-annotated comparison dataset and train a generative model on it using ranking-based objectives. Extensive experiments on public ASQP datasets reveal that using our scorer can greatly and consistently improve the effectiveness of self-training. Moreover, we explore the possibility of replacing humans with large language models for comparison dataset annotation, and experiments demonstrate its feasibility. We release our code and data at https://github.com/HITSZ-HLT/ST-w-Scorer-ABSA .
Abstract:It is imperative for Large language models (LLMs) to follow instructions with elaborate requirements (i.e. Complex Instructions Following). Yet, it remains under-explored how to enhance the ability of LLMs to follow complex instructions with multiple constraints. To bridge the gap, we initially study what training data is effective in enhancing complex constraints following abilities. We found that training LLMs with instructions containing multiple constraints enhances their understanding of complex instructions, especially those with lower complexity levels. The improvement can even generalize to compositions of out-of-domain constraints. Additionally, we further propose methods addressing how to obtain and utilize the effective training data. Finally, we conduct extensive experiments to prove the effectiveness of our methods in terms of overall performance, training efficiency, and generalization abilities under four settings.




Abstract:Large language models (LLMs) can understand human instructions, showing their potential for pragmatic applications beyond traditional NLP tasks. However, they still struggle with complex instructions, which can be either complex task descriptions that require multiple tasks and constraints, or complex input that contains long context, noise, heterogeneous information and multi-turn format. Due to these features, LLMs often ignore semantic constraints from task descriptions, generate incorrect formats, violate length or sample count constraints, and be unfaithful to the input text. Existing benchmarks are insufficient to assess LLMs' ability to understand complex instructions, as they are close-ended and simple. To bridge this gap, we propose CELLO, a benchmark for evaluating LLMs' ability to follow complex instructions systematically. We design eight features for complex instructions and construct a comprehensive evaluation dataset from real-world scenarios. We also establish four criteria and develop corresponding metrics, as current ones are inadequate, biased or too strict and coarse-grained. We compare the performance of representative Chinese-oriented and English-oriented models in following complex instructions through extensive experiments. Resources of CELLO are publicly available at https://github.com/Abbey4799/CELLO.




Abstract:Recently, deep learning (DL) has automated and accelerated the clinical radiation therapy (RT) planning significantly by predicting accurate dose maps. However, most DL-based dose map prediction methods are data-driven and not applicable for cervical cancer where only a small amount of data is available. To address this problem, this paper proposes to transfer the rich knowledge learned from another cancer, i.e., rectum cancer, which has the same scanning area and more clinically available data, to improve the dose map prediction performance for cervical cancer through domain adaptation. In order to close the congenital domain gap between the source (i.e., rectum cancer) and the target (i.e., cervical cancer) domains, we develop an effective Transformer-based polymerized feature module (PFM), which can generate an optimal polymerized feature distribution to smoothly align the two input distributions. Experimental results on two in-house clinical datasets demonstrate the superiority of the proposed method compared with state-of-the-art methods.




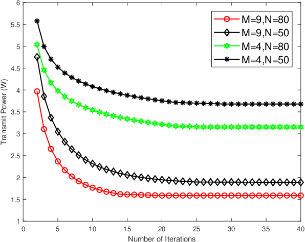
Abstract:User privacy protection is considered a critical issue in wireless networks, which drives the demand for various secure information interaction techniques. In this paper, we introduce an intelligent reflecting surface (IRS)-aided security classification wireless communication system, which reduces the transmit power of the base station (BS) by classifying users with different security requirements. Specifically, we divide the users into confidential subscribers with secure communication requirements and general communication users with simple communication requirements. During the communication period, we guarantee the secure rate of the confidential subscribers while ensuring the service quality of the general communication users, thereby reducing the transmit power of the BS. To realize such a secure and green information transmission, the BS implements a beamforming design on the transmitted signal superimposed with artificial noise (AN) and then broadcasts it to users with the assistance of the IRS's reflection. We develop an alternating optimization framework to minimize the BS downlink power with respect to the active beamformers of the BS, the AN vector at the BS, and the reflection phase shifts of the IRS. A successive convex approximation (SCA) method is proposed so that the nonconvex beamforming problems can be converted to tractable convex forms. The simulation results demonstrate that the proposed algorithm is convergent and can reduce the transmit power by 20\% compared to the best benchmark scheme.