



Abstract:Reinforcement Learning with Verifiable Rewards (RLVR) is a powerful paradigm for enhancing the reasoning ability of Large Language Models (LLMs). Yet current RLVR methods often explore poorly, leading to premature convergence and entropy collapse. To address this challenge, we introduce Curiosity-Driven Exploration (CDE), a framework that leverages the model's own intrinsic sense of curiosity to guide exploration. We formalize curiosity with signals from both the actor and the critic: for the actor, we use perplexity over its generated response, and for the critic, we use the variance of value estimates from a multi-head architecture. Both signals serve as an exploration bonus within the RLVR framework to guide the model. Our theoretical analysis shows that the actor-wise bonus inherently penalizes overconfident errors and promotes diversity among correct responses; moreover, we connect the critic-wise bonus to the well-established count-based exploration bonus in RL. Empirically, our method achieves an approximate +3 point improvement over standard RLVR using GRPO/PPO on AIME benchmarks. Further analysis identifies a calibration collapse mechanism within RLVR, shedding light on common LLM failure modes.
Abstract:This paper introduces a novel nonparametric method for estimating high-dimensional dynamic covariance matrices with multiple conditioning covariates, leveraging random forests and supported by robust theoretical guarantees. Unlike traditional static methods, our dynamic nonparametric covariance models effectively capture distributional heterogeneity. Furthermore, unlike kernel-smoothing methods, which are restricted to a single conditioning covariate, our approach accommodates multiple covariates in a fully nonparametric framework. To the best of our knowledge, this is the first method to use random forests for estimating high-dimensional dynamic covariance matrices. In high-dimensional settings, we establish uniform consistency theory, providing nonasymptotic error rates and model selection properties, even when the response dimension grows sub-exponentially with the sample size. These results hold uniformly across a range of conditioning variables. The method's effectiveness is demonstrated through simulations and a stock dataset analysis, highlighting its ability to model complex dynamics in high-dimensional scenarios.
Abstract:In this paper, we introduce a non-crossing quantile (NQ) network for conditional distribution learning. By leveraging non-negative activation functions, the NQ network ensures that the learned distributions remain monotonic, effectively addressing the issue of quantile crossing. Furthermore, the NQ network-based deep distributional learning framework is highly adaptable, applicable to a wide range of applications, from classical non-parametric quantile regression to more advanced tasks such as causal effect estimation and distributional reinforcement learning (RL). We also develop a comprehensive theoretical foundation for the deep NQ estimator and its application to distributional RL, providing an in-depth analysis that demonstrates its effectiveness across these domains. Our experimental results further highlight the robustness and versatility of the NQ network.
Abstract:Accurate spatial-temporal prediction of network-based travelers' requests is crucial for the effective policy design of ridesharing platforms. Having knowledge of the total demand between various locations in the upcoming time slots enables platforms to proactively prepare adequate supplies, thereby increasing the likelihood of fulfilling travelers' requests and redistributing idle drivers to areas with high potential demand to optimize the global supply-demand equilibrium. This paper delves into the prediction of Origin-Destination (OD) demands at a fine-grained spatial level, especially when confronted with an expansive set of local regions. While this task holds immense practical value, it remains relatively unexplored within the research community. To fill this gap, we introduce a novel prediction model called OD-CED, which comprises an unsupervised space coarsening technique to alleviate data sparsity and an encoder-decoder architecture to capture both semantic and geographic dependencies. Through practical experimentation, OD-CED has demonstrated remarkable results. It achieved an impressive reduction of up to 45% reduction in root-mean-square error and 60% in weighted mean absolute percentage error over traditional statistical methods when dealing with OD matrices exhibiting a sparsity exceeding 90%.
Abstract:Document Question Answering (DocQA) is a very common task. Existing methods using Large Language Models (LLMs) or Large Vision Language Models (LVLMs) and Retrieval Augmented Generation (RAG) often prioritize information from a single modal, failing to effectively integrate textual and visual cues. These approaches struggle with complex multi-modal reasoning, limiting their performance on real-world documents. We present MDocAgent (A Multi-Modal Multi-Agent Framework for Document Understanding), a novel RAG and multi-agent framework that leverages both text and image. Our system employs five specialized agents: a general agent, a critical agent, a text agent, an image agent and a summarizing agent. These agents engage in multi-modal context retrieval, combining their individual insights to achieve a more comprehensive understanding of the document's content. This collaborative approach enables the system to synthesize information from both textual and visual components, leading to improved accuracy in question answering. Preliminary experiments on five benchmarks like MMLongBench, LongDocURL demonstrate the effectiveness of our MDocAgent, achieve an average improvement of 12.1% compared to current state-of-the-art method. This work contributes to the development of more robust and comprehensive DocQA systems capable of handling the complexities of real-world documents containing rich textual and visual information. Our data and code are available at https://github.com/aiming-lab/MDocAgent.

Abstract:With the rapid advancements in large language model (LLM) technology and the emergence of bioinformatics-specific language models (BioLMs), there is a growing need for a comprehensive analysis of the current landscape, computational characteristics, and diverse applications. This survey aims to address this need by providing a thorough review of BioLMs, focusing on their evolution, classification, and distinguishing features, alongside a detailed examination of training methodologies, datasets, and evaluation frameworks. We explore the wide-ranging applications of BioLMs in critical areas such as disease diagnosis, drug discovery, and vaccine development, highlighting their impact and transformative potential in bioinformatics. We identify key challenges and limitations inherent in BioLMs, including data privacy and security concerns, interpretability issues, biases in training data and model outputs, and domain adaptation complexities. Finally, we highlight emerging trends and future directions, offering valuable insights to guide researchers and clinicians toward advancing BioLMs for increasingly sophisticated biological and clinical applications.




Abstract:The advancement of Large Vision-Language Models (LVLMs) has propelled their application in the medical field. However, Medical LVLMs (Med-LVLMs) encounter factuality challenges due to modality misalignment, where the models prioritize textual knowledge over visual input, leading to hallucinations that contradict information in medical images. Previous attempts to enhance modality alignment in Med-LVLMs through preference optimization have inadequately mitigated clinical relevance in preference data, making these samples easily distinguishable and reducing alignment effectiveness. To address this challenge, we propose MMedPO, a novel multimodal medical preference optimization approach that considers the clinical relevance of preference samples to enhance Med-LVLM alignment. MMedPO curates multimodal preference data by introducing two types of dispreference: (1) plausible hallucinations injected through target Med-LVLMs or GPT-4o to produce medically inaccurate responses, and (2) lesion region neglect achieved through local lesion-noising, disrupting visual understanding of critical areas. We then calculate clinical relevance for each sample based on scores from multiple Med-LLMs and visual tools, and integrate these scores into the preference optimization process as weights, enabling effective alignment. Our experiments demonstrate that MMedPO significantly enhances factual accuracy in Med-LVLMs, achieving substantial improvements over existing preference optimization methods by averaging 14.2% and 51.7% across the Med-VQA and report generation tasks. Our code are available in https://github.com/aiming-lab/MMedPO.




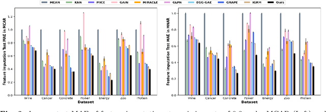
Abstract:In this paper, we propose a novel framework, the Sampling-guided Heterogeneous Graph Neural Network (SHT-GNN), to effectively tackle the challenge of missing data imputation in longitudinal studies. Unlike traditional methods, which often require extensive preprocessing to handle irregular or inconsistent missing data, our approach accommodates arbitrary missing data patterns while maintaining computational efficiency. SHT-GNN models both observations and covariates as distinct node types, connecting observation nodes at successive time points through subject-specific longitudinal subnetworks, while covariate-observation interactions are represented by attributed edges within bipartite graphs. By leveraging subject-wise mini-batch sampling and a multi-layer temporal smoothing mechanism, SHT-GNN efficiently scales to large datasets, while effectively learning node representations and imputing missing data. Extensive experiments on both synthetic and real-world datasets, including the Alzheimer's Disease Neuroimaging Initiative (ADNI) dataset, demonstrate that SHT-GNN significantly outperforms existing imputation methods, even with high missing data rates. The empirical results highlight SHT-GNN's robust imputation capabilities and superior performance, particularly in the context of complex, large-scale longitudinal data.




Abstract:In this paper, we aim to address a significant challenge in the field of missing data imputation: identifying and leveraging the interdependencies among features to enhance missing data imputation for tabular data. We introduce a novel framework named the Bipartite and Complete Directed Graph Neural Network (BCGNN). Within BCGNN, observations and features are differentiated as two distinct node types, and the values of observed features are converted into attributed edges linking them. The bipartite segment of our framework inductively learns embedding representations for nodes, efficiently utilizing the comprehensive information encapsulated in the attributed edges. In parallel, the complete directed graph segment adeptly outlines and communicates the complex interdependencies among features. When compared to contemporary leading imputation methodologies, BCGNN consistently outperforms them, achieving a noteworthy average reduction of 15% in mean absolute error for feature imputation tasks under different missing mechanisms. Our extensive experimental investigation confirms that an in-depth grasp of the interdependence structure substantially enhances the model's feature embedding ability. We also highlight the model's superior performance in label prediction tasks involving missing data, and its formidable ability to generalize to unseen data points.
Abstract:Radiology report generation is crucial in medical imaging,but the manual annotation process by physicians is time-consuming and labor-intensive, necessitating the develop-ment of automatic report generation methods. Existingresearch predominantly utilizes Transformers to generateradiology reports, which can be computationally intensive,limiting their use in real applications. In this work, we presentR2Gen-Mamba, a novel automatic radiology report genera-tion method that leverages the efficient sequence processingof the Mamba with the contextual benefits of Transformerarchitectures. Due to lower computational complexity ofMamba, R2Gen-Mamba not only enhances training and in-ference efficiency but also produces high-quality reports.Experimental results on two benchmark datasets with morethan 210,000 X-ray image-report pairs demonstrate the ef-fectiveness of R2Gen-Mamba regarding report quality andcomputational efficiency compared with several state-of-the-art methods. The source code can be accessed online.