Abstract:This paper investigates a general robust one-shot aggregation framework for distributed and federated Independent Component Analysis (ICA) problem. We propose a geometric median-based aggregation algorithm that leverages $k$-means clustering to resolve the permutation ambiguity in local client estimations. Our method first performs k-means to partition client-provided estimators into clusters and then aggregates estimators within each cluster using the geometric median. This approach provably remains effective even in highly heterogeneous scenarios where at most half of the clients can observe only a minimal number of samples. The key theoretical contribution lies in the combined analysis of the geometric median's error bound-aided by sample quantiles-and the maximum misclustering rates of the aforementioned solution of $k$-means. The effectiveness of the proposed approach is further supported by simulation studies conducted under various heterogeneous settings.
Abstract:The integration of both network information and node attribute information has recently gained significant attention in the context of community recovery problems. In this work, we address the task of determining the optimal classification rate for the Label-SBM(LSBM) model with node attribute information and. Specifically, we derive the optimal lower bound, which is characterized by the Chernoff-Hellinger divergence for a general LSBM network model with Gaussian node attributes. Additionally, we highlight the connection between the divergence $D(\bs\alpha, \mb P, \bs\mu)$ in our model and those introduced in \cite{yun2016optimal} and \cite{lu2016statistical}. We also presents a consistent algorithm based on spectral method for the proposed aggreated latent factor model.
Abstract:Recent advances in Large Language Models (LLMs) have showcased their remarkable reasoning capabilities, making them influential across various fields. However, in robotics, their use has primarily been limited to manipulation planning tasks due to their inherent textual output. This paper addresses this limitation by investigating the potential of adopting the reasoning ability of LLMs for generating numerical predictions in robotics tasks, specifically for robotic grasping. We propose Reasoning Tuning, a novel method that integrates a reasoning phase before prediction during training, leveraging the extensive prior knowledge and advanced reasoning abilities of LLMs. This approach enables LLMs, notably with multi-modal capabilities, to generate accurate numerical outputs like grasp poses that are context-aware and adaptable through conversations. Additionally, we present the Reasoning Tuning VLM Grasp dataset, carefully curated to facilitate the adaptation of LLMs to robotic grasping. Extensive validation on both grasping datasets and real-world experiments underscores the adaptability of multi-modal LLMs for numerical prediction tasks in robotics. This not only expands their applicability but also bridges the gap between text-based planning and direct robot control, thereby maximizing the potential of LLMs in robotics.




Abstract:Purpose: Surgical phase recognition (SPR) is an integral component of surgical data science, enabling high-level surgical analysis. End-to-end trained neural networks that predict surgical phase directly from videos have shown excellent performance on benchmarks. However, these models struggle with robustness due to non-causal associations in the training set, resulting in poor generalizability. Our goal is to improve model robustness to variations in the surgical videos by leveraging the digital twin (DT) paradigm -- an intermediary layer to separate high-level analysis (SPR) from low-level processing (geometric understanding). This approach takes advantage of the recent vision foundation models that ensure reliable low-level scene understanding to craft DT-based scene representations that support various high-level tasks. Methods: We present a DT-based framework for SPR from videos. The framework employs vision foundation models to extract representations. We embed the representation in place of raw video inputs in the state-of-the-art Surgformer model. The framework is trained on the Cholec80 dataset and evaluated on out-of-distribution (OOD) and corrupted test samples. Results: Contrary to the vulnerability of the baseline model, our framework demonstrates strong robustness on both OOD and corrupted samples, with a video-level accuracy of 51.1 on the challenging CRCD dataset, 96.0 on an internal robotics training dataset, and 64.4 on a highly corrupted Cholec80 test set. Conclusion: Our findings lend support to the thesis that DT-based scene representations are effective in enhancing model robustness. Future work will seek to improve the feature informativeness, automate feature extraction, and incorporate interpretability for a more comprehensive framework.




Abstract:Federated learning has recently garnered significant attention, especially within the domain of supervised learning. However, despite the abundance of unlabeled data on end-users, unsupervised learning problems such as clustering in the federated setting remain underexplored. In this paper, we investigate the federated clustering problem, with a focus on federated k-means. We outline the challenge posed by its non-convex objective and data heterogeneity in the federated framework. To tackle these challenges, we adopt a new perspective by studying the structures of local solutions in k-means and propose a one-shot algorithm called FeCA (Federated Centroid Aggregation). FeCA adaptively refines local solutions on clients, then aggregates these refined solutions to recover the global solution of the entire dataset in a single round. We empirically demonstrate the robustness of FeCA under various federated scenarios on both synthetic and real-world data. Additionally, we extend FeCA to representation learning and present DeepFeCA, which combines DeepCluster and FeCA for unsupervised feature learning in the federated setting.




Abstract:Accurate segmentation of tools in robot-assisted surgery is critical for machine perception, as it facilitates numerous downstream tasks including augmented reality feedback. While current feed-forward neural network-based methods exhibit excellent segmentation performance under ideal conditions, these models have proven susceptible to even minor corruptions, significantly impairing the model's performance. This vulnerability is especially problematic in surgical settings where predictions might be used to inform high-stakes decisions. To better understand model behavior under non-adversarial corruptions, prior work has explored introducing artificial corruptions, like Gaussian noise or contrast perturbation to test set images, to assess model robustness. However, these corruptions are either not photo-realistic or model/task agnostic. Thus, these investigations provide limited insights into model deterioration under realistic surgical corruptions. To address this limitation, we introduce the SegSTRONG-C challenge that aims to promote the development of algorithms robust to unforeseen but plausible image corruptions of surgery, like smoke, bleeding, and low brightness. We collect and release corruption-free mock endoscopic video sequences for the challenge participants to train their algorithms and benchmark them on video sequences with photo-realistic non-adversarial corruptions for a binary robot tool segmentation task. This new benchmark will allow us to carefully study neural network robustness to non-adversarial corruptions of surgery, thus constituting an important first step towards more robust models for surgical computer vision. In this paper, we describe the data collection and annotation protocol, baseline evaluations of established segmentation models, and data augmentation-based techniques to enhance model robustness.

Abstract:Deep neural networks (DNNs) have demonstrated remarkable empirical performance in large-scale supervised learning problems, particularly in scenarios where both the sample size $n$ and the dimension of covariates $p$ are large. This study delves into the application of DNNs across a wide spectrum of intricate causal inference tasks, where direct estimation falls short and necessitates multi-stage learning. Examples include estimating the conditional average treatment effect and dynamic treatment effect. In this framework, DNNs are constructed sequentially, with subsequent stages building upon preceding ones. To mitigate the impact of estimation errors from early stages on subsequent ones, we integrate DNNs in a doubly robust manner. In contrast to previous research, our study offers theoretical assurances regarding the effectiveness of DNNs in settings where the dimensionality $p$ expands with the sample size. These findings are significant independently and extend to degenerate single-stage learning problems.




Abstract:This paper presents a review of the NTIRE 2024 challenge on night photography rendering. The goal of the challenge was to find solutions that process raw camera images taken in nighttime conditions, and thereby produce a photo-quality output images in the standard RGB (sRGB) space. Unlike the previous year's competition, the challenge images were collected with a mobile phone and the speed of algorithms was also measured alongside the quality of their output. To evaluate the results, a sufficient number of viewers were asked to assess the visual quality of the proposed solutions, considering the subjective nature of the task. There were 2 nominations: quality and efficiency. Top 5 solutions in terms of output quality were sorted by evaluation time (see Fig. 1). The top ranking participants' solutions effectively represent the state-of-the-art in nighttime photography rendering. More results can be found at https://nightimaging.org.




Abstract:While random forests are commonly used for regression problems, existing methods often lack adaptability in complex situations or lose optimality under simple, smooth scenarios. In this study, we introduce the adaptive split balancing forest (ASBF), capable of learning tree representations from data while simultaneously achieving minimax optimality under the Lipschitz class. To exploit higher-order smoothness levels, we further propose a localized version that attains the minimax rate under the H\"older class $\mathcal{H}^{q,\beta}$ for any $q\in\mathbb{N}$ and $\beta\in(0,1]$. Rather than relying on the widely-used random feature selection, we consider a balanced modification to existing approaches. Our results indicate that an over-reliance on auxiliary randomness may compromise the approximation power of tree models, leading to suboptimal results. Conversely, a less random, more balanced approach demonstrates optimality. Additionally, we establish uniform upper bounds and explore the application of random forests in average treatment effect estimation problems. Through simulation studies and real-data applications, we demonstrate the superior empirical performance of the proposed methods over existing random forests.




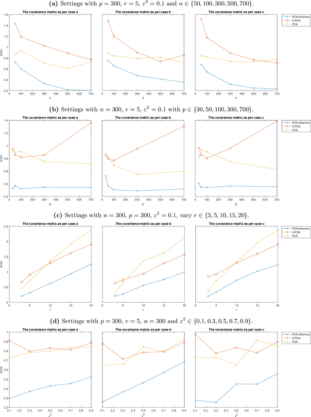
Abstract:Vintage factor analysis is one important type of factor analysis that aims to first find a low-dimensional representation of the original data, and then to seek a rotation such that the rotated low-dimensional representation is scientifically meaningful. Perhaps the most widely used vintage factor analysis is the Principal Component Analysis (PCA) followed by the varimax rotation. Despite its popularity, little theoretical guarantee can be provided mainly because varimax rotation requires to solve a non-convex optimization over the set of orthogonal matrices. In this paper, we propose a deflation varimax procedure that solves each row of an orthogonal matrix sequentially. In addition to its net computational gain and flexibility, we are able to fully establish theoretical guarantees for the proposed procedure in a broad context. Adopting this new varimax approach as the second step after PCA, we further analyze this two step procedure under a general class of factor models. Our results show that it estimates the factor loading matrix in the optimal rate when the signal-to-noise-ratio (SNR) is moderate or large. In the low SNR regime, we offer possible improvement over using PCA and the deflation procedure when the additive noise under the factor model is structured. The modified procedure is shown to be optimal in all SNR regimes. Our theory is valid for finite sample and allows the number of the latent factors to grow with the sample size as well as the ambient dimension to grow with, or even exceed, the sample size. Extensive simulation and real data analysis further corroborate our theoretical findings.