



Abstract:In this study, we present a novel simultaneous localization and mapping (SLAM) system, VIMS, designed for underwater navigation. Conventional visual-inertial state estimators encounter significant practical challenges in perceptually degraded underwater environments, particularly in scale estimation and loop closing. To address these issues, we first propose leveraging a low-cost single-beam sonar to improve scale estimation. Then, VIMS integrates a high-sampling-rate magnetometer for place recognition by utilizing magnetic signatures generated by an economical magnetic field coil. Building on this, a hierarchical scheme is developed for visual-magnetic place recognition, enabling robust loop closure. Furthermore, VIMS achieves a balance between local feature tracking and descriptor-based loop closing, avoiding additional computational burden on the front end. Experimental results highlight the efficacy of the proposed VIMS, demonstrating significant improvements in both the robustness and accuracy of state estimation within underwater environments.
Abstract:This paper presents a new algorithmic fairness framework called $\boldsymbol{\alpha}$-$\boldsymbol{\beta}$ Fair Machine Learning ($\boldsymbol{\alpha}$-$\boldsymbol{\beta}$ FML), designed to optimize fairness levels across sociodemographic attributes. Our framework employs a new family of surrogate loss functions, paired with loss reweighting techniques, allowing precise control over fairness-accuracy trade-offs through tunable hyperparameters $\boldsymbol{\alpha}$ and $\boldsymbol{\beta}$. To efficiently solve the learning objective, we propose Parallel Stochastic Gradient Descent with Surrogate Loss (P-SGD-S) and establish convergence guarantees for both convex and nonconvex loss functions. Experimental results demonstrate that our framework improves overall accuracy while reducing fairness violations, offering a smooth trade-off between standard empirical risk minimization and strict minimax fairness. Results across multiple datasets confirm its adaptability, ensuring fairness improvements without excessive performance degradation.




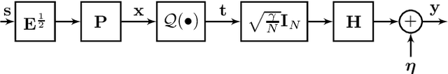
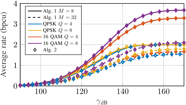
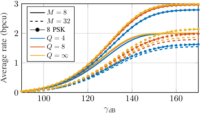
Abstract:Feeding power amplifiers (PAs) with constant envelope (CE) signals is an effective way to reduce the power consumption in massive multiple-input-multiple-output (MIMO) systems. The nonlinear distortion caused by CE signaling must be mitigated by means of signal processing to improve the achievable sum rates. To this purpose, many linear and nonlinear precoding techniques have been developed for the CE MIMO downlink. The vast majority of these CE precoding techniques do not include a power allocation scheme, which is indispensable to achieve adequate performances in the downlink with channel gain imbalances between users. In this paper, we present two algorithms to produce a power allocation scheme for regularized zero-forcing (RZF) precoding in CE MIMO downlink. Both techniques are based on transforming the CE quantized MIMO downlink to an approximately equivalent system of parallel single-input-single-output (SISO) channels. The first technique is proven to solve the sum rate maximization problem in the approximate system optimally, whereas the second technique obtains the local maximum with lower complexity. We also extend another state-of-the-art quantization aware sum rate maximization algorithm with linear precoding to the CE downlink. Numerical results illustrate significant gains for the performance of the RZF precoder when the CE quantization is taken into account in a power allocation. Another key numerical result is that the proposed RZF techniques achieve almost the identical performance so that the one with lower computational complexity is chosen as the main method. Results also show that the proposed RZF precoding schemes perform at least as good as the state-of-the-art method with an advantage that the main RZF method has significantly lower computational complexity than the state-of-the-art.




Abstract:This paper considers the beamforming optimization for sensing a point-like scatterer using a bistatic multiple-input multiple-output (MIMO) orthogonal frequency-division multiplexing (OFDM) radar, which could be part of a joint communication and sensing system. The goal is to minimize the Cram\'er-Rao bound on the target position's estimation error, where the radar already knows an approximate position that is taken into account in the optimization. The optimization allows for beamforming with more than one beam per subcarrier. Optimal solutions for the beamforming are discussed for known and unknown channel gain. Numerical results show that beamforming with at most one beam per subcarrier is optimal for certain parameters, but for other parameters, optimal solutions need two beams on some subcarriers. In addition, the degree of freedom in selecting which end of the bistatic radar should transmit and receive is considered.




Abstract:We present a sensor misalignment-tolerant AUV navigation method that leverages measurements from an acoustic array and dead reckoned information. Recent studies have demonstrated the potential use of passive acoustic Direction of Arrival (DoA) measurements for AUV navigation without requiring ranging measurements. However, the sensor misalignment between the acoustic array and the attitude sensor was not accounted for. Such misalignment may deteriorate the navigation accuracy. This paper proposes a novel approach that allows simultaneous AUV navigation, beacon localization, and sensor alignment. An Unscented Kalman Filter (UKF) that enables the necessary calculations to be completed at an affordable computational load is developed. A Nonlinear Least Squares (NLS)-based technique is employed to find an initial solution for beacon localization and sensor alignment as early as possible using a short-term window of measurements. Experimental results demonstrate the performance of the proposed method.




Abstract:This paper presents a comprehensive communication theoretic model for the physical layer of a cell-free user-centric network, formed by user equipments (UEs), radio units (RUs), and decentralized units (DUs), uniformly spatially distributed over a given coverage area. We consider RUs equipped with multiple antennas, and focus on the regime where the UE, RU, and DU densities are constant and therefore the number of such nodes grows with the coverage area. A system is said scalable if the computing load and information rate at any node in the network converges to a constant as the network size (coverage area) grows to infinity. This imposes that each UE must be processed by a (user-centric) finite-size cluster of RUs, and that such cluster processors are dynamically allocated to the DUs (e.g., as software defined virtual network functions) in order to achieve a balanced computation load. We also assume that the RUs are connected to the DUs through a packet switching network, in order to achieve adaptive routing and load balance. For this model, we define in details the dynamic cluster formation and uplink pilot allocation. As a consequence of the pilot allocation and the scalability constraint, each cluster processor has a partial view of the network channel state information. We define the condition of ``ideal partial CSI'' when the channel vectors that can be estimated are perfectly known (while the ones that cannot be estimated are not know at all). We develop two attractive cluster-based linear receiver schemes for the uplink, and an uplink-downlink duality that allows to reuse such vectors as precoders for the downlink.
Abstract:This study explores the promising potential of integrating sensing capabilities into multiple-input multiple-output (MIMO)-orthogonal frequency division multiplexing (OFDM)-based networks through innovative multi-sensor fusion techniques, tracking algorithms, and resource management. A novel data fusion technique is proposed within the MIMO-OFDM system, which promotes cooperative sensing among monostatic joint sensing and communication (JSC) base stations by sharing range-angle maps with a central fusion center. To manage data sharing and control network overhead introduced by cooperation, an excision filter is introduced at each base station. After data fusion, the framework employs a three-step clustering procedure combined with a tracking algorithm to effectively handle point-like and extended targets. Delving into the sensing/communication trade-off, resources such as transmit power, frequency, and time are varied, providing valuable insights into their impact on the overall system performance. Additionally, a sophisticated channel model is proposed, accounting for complex urban propagation scenarios and addressing multipath effects and multiple reflection points for extended targets like vehicles. Evaluation metrics, including optimal sub-pattern assignment (OSPA), downlink sum rate, and bit rate, offer a comprehensive assessment of the system's localization and communication capabilities, as well as network overhead.
Abstract:In this work, we investigate the performance of a joint sensing and communication (JSC) network consisting of multiple base stations (BSs) that cooperate through a fusion center (FC) to exchange information about the sensed environment while concurrently establishing communication links with a set of user equipments (UEs). Each BS within the network operates as a monostatic radar system, enabling comprehensive scanning of the monitored area and generating range-angle maps that provide information regarding the position of a group of heterogeneous objects. The acquired maps are subsequently fused in the FC. Then, a convolutional neural network (CNN) is employed to infer the category of the targets, e.g., pedestrians or vehicles, and such information is exploited by an adaptive clustering algorithm to group the detections originating from the same target more effectively. Finally, two multi-target tracking algorithms, the probability hypothesis density (PHD) filter and multi-Bernoulli mixture (MBM) filter, are applied to estimate the state of the targets. Numerical results demonstrated that our framework could provide remarkable sensing performance, achieving an optimal sub-pattern assignment (OSPA) less than 60 cm, while keeping communication services to UEs with a reduction of the communication capacity in the order of 10% to 20%. The impact of the number of BSs engaged in sensing is also examined, and we show that in the specific case study, 3 BSs ensure a localization error below 1 m.
Abstract:Surgery is the only viable treatment for cataract patients with visual acuity (VA) impairment. Clinically, to assess the necessity of cataract surgery, accurately predicting postoperative VA before surgery by analyzing multi-view optical coherence tomography (OCT) images is crucially needed. Unfortunately, due to complicated fundus conditions, determining postoperative VA remains difficult for medical experts. Deep learning methods for this problem were developed in recent years. Although effective, these methods still face several issues, such as not efficiently exploring potential relations between multi-view OCT images, neglecting the key role of clinical prior knowledge (e.g., preoperative VA value), and using only regression-based metrics which are lacking reference. In this paper, we propose a novel Cross-token Transformer Network (CTT-Net) for postoperative VA prediction by analyzing both the multi-view OCT images and preoperative VA. To effectively fuse multi-view features of OCT images, we develop cross-token attention that could restrict redundant/unnecessary attention flow. Further, we utilize the preoperative VA value to provide more information for postoperative VA prediction and facilitate fusion between views. Moreover, we design an auxiliary classification loss to improve model performance and assess VA recovery more sufficiently, avoiding the limitation by only using the regression metrics. To evaluate CTT-Net, we build a multi-view OCT image dataset collected from our collaborative hospital. A set of extensive experiments validate the effectiveness of our model compared to existing methods in various metrics. Code is available at: https://github.com/wjh892521292/Cataract OCT.




Abstract:Finding optimal message quantization is a key requirement for low complexity belief propagation (BP) decoding. To this end, we propose a floating-point surrogate model that imitates quantization effects as additions of uniform noise, whose amplitudes are trainable variables. We verify that the surrogate model closely matches the behavior of a fixed-point implementation and propose a hand-crafted loss function to realize a trade-off between complexity and error-rate performance. A deep learning-based method is then applied to optimize the message bitwidths. Moreover, we show that parameter sharing can both ensure implementation-friendly solutions and results in faster training convergence than independent parameters. We provide simulation results for 5G low-density parity-check (LDPC) codes and report an error-rate performance within 0.2 dB of floating-point decoding at an average message quantization bitwidth of 3.1 bits. In addition, we show that the learned bitwidths also generalize to other code rates and channels.