



Abstract:A key challenge in future 6G Integrated Sensing and Communications (ISAC) networks is to define the angular operations of transmitter and receiver, i.e., the sampling task of the angular domains, to acquire information about the environment. In this work we extend previous analysis for optimal angular sampling of monostatic setups to two-dimensional bistatic deployments, that are as important as the former in future ISAC cellular scenarios. Our approach overcomes the limitations of suboptimal prior art sampling and interpolation techniques, such as spline interpolation. We demonstrate that separating azimuth operations of the two transmit and receive arrays is optimal to sample the angular domain in an array-specific normalized angular frequency (NAF). This allows us to derive a loss-less reconstruction of the angular domain, enabling a more efficient and accurate sampling strategy for bistatic sensing applications compared to legacy approaches. As demonstrated by different Monte Carlo experiments, our approach enables future bistatic ISAC deployments with better performance compared to the other suboptimal solutions.
Abstract:We propose passive channel charting, an extension of channel charting to passive target localization. As in conventional channel charting, we follow a dimensionality reduction approach to reconstruct a physically interpretable map of target positions from similarities in high-dimensional channel state information. We show that algorithms and neural network architectures developed in the context of channel charting with active mobile transmitters can be straightforwardly applied to the passive case, where we assume a scenario with static transmitters and receivers and a mobile target. We evaluate our method on a channel state information dataset collected indoors with a distributed setup of ESPARGOS Wi-Fi sensing antenna arrays. This scenario can be interpreted as either a multi-static or passive radar system. We demonstrate that passive channel charting outperforms a baseline based on classical triangulation in terms of localization accuracy. We discuss our results and highlight some unsolved issues related to the proposed concept.
Abstract:In coherent optical communication systems the laser phase noise is commonly modeled as a Wiener process. We propose a sliding-window based linearization of the phase noise, enabling a novel description. We show that, by stochastically modeling the residual error introduced by this approximation, equalization-enhanced phase noise (EEPN) can be described and decomposed into four different components. Furthermore, we analyze the four components separately and provide a stochastical model for each of them. This novel model allows to predict the impact of well-known algorithms in coherent digital signal processing (DSP) pipelines such as timing recovery (TR) and carrier phase recovery (CPR) on each of the terms. Thus, it enables to approximate the resulting signal affected by EEPN after each of these DSP steps and helps to derive appropriate ways of mitigating such effects.
Abstract:Multi-antenna channel sounding is a technique for measuring the propagation characteristics of electromagnetic waves that is commonly employed for parameterizing channel models. Channel sounders are usually custom-built from many Software Defined Radio receivers, making them expensive to procure and difficult to operate, which constrains the set of users to a few specialized scientific institutions and industrial research laboratories. Recent developments in Joint Communications and Sensing (JCaS) extend the possible uses of channel data to applications like human activity recognition, human presence detection, user localization and wireless Channel Charting, all of which are of great interest to security researchers, experts in industrial automation and others. However, due to a lack of affordable, easy-to-use and commercially available multi-antenna channel sounders, those scientific communities can be hindered by their lack of access to wireless channel measurements. To lower the barrier to entry for channel sounding, we develop an ultra low-cost measurement hardware platform based on mass-produced WiFi chips, which is easily affordable to research groups and even hobbyists.




Abstract:Channel Charting is a dimensionality reduction technique that learns to reconstruct a low-dimensional, physically interpretable map of the radio environment by taking advantage of similarity relationships found in high-dimensional channel state information. One particular family of Channel Charting methods relies on pseudo-distances between measured CSI datapoints, computed using dissimilarity metrics. We suggest several techniques to improve the performance of dissimilarity metric-based Channel Charting. For one, we address an issue related to a discrepancy between Euclidean distances and geodesic distances that occurs when applying dissimilarity metric-based Channel Charting to datasets with nonconvex low-dimensional structure. Furthermore, we incorporate the uncertainty of dissimilarities into the learning process by modeling dissimilarities not as deterministic quantities, but as probability distributions. Our framework facilitates the combination of multiple dissimilarity metrics in a consistent manner. Additionally, latent space dynamics like constrained acceleration due to physical inertia are easily taken into account thanks to changes in the training procedure. We demonstrate the achieved performance improvements for localization applications on a measured channel dataset




Abstract:Distributed massive MIMO is considered a key advancement for improving the performance of next-generation wireless telecommunication systems. However, its efficacy in scenarios involving user mobility is limited due to channel aging. To address this challenge, channel prediction techniques are investigated to forecast future channel state information (CSI) based on previous estimates. We propose a new channel prediction method based on channel charting, a self-supervised learning technique that reconstructs a physically meaningful latent representation of the radio environment using similarity relationships between CSI samples. The concept of inertia within a channel chart allows for predictive radio resource management tasks through the latent space. We demonstrate that channel charting can be used to predict future CSI by exploiting spatial relationships between known estimates that are embedded in the channel chart. Our method is validated on a real-world distributed massive MIMO dataset, and compared to a Wiener predictor and the outdated CSI in terms of achievable sum rate.




Abstract:The distributed nature of cellular networks is one of the main enablers for integrated sensing and communication (ISAC). For target positioning and tracking, making use of bistatic measurements is non-trivial due to their non-linear relationship with Cartesian coordinates. Most of the literature proposes geometric-based methods to determine the target's location by solving a well-defined set of equations stemming from the available measurements. The error covariance to be used for Bayesian tracking is then derived from local Taylor expansions. In our work we adaptively fuse any subset of bistatic measurements using a maximum likelihood (ML) framework, allowing to incorporate every possible combination of available measurements, i.e., transmitter angle, receiver angle and bistatic range. Moreover, our ML approach is intrinsically flexible, as it can be extended to fuse an arbitrary number of measurements by multistatic setups. Finally, we propose both a fixed and dynamic way to compute the covariance matrix for the position error to be fed to Bayesian tracking techniques, like a Kalman filter. Numerical evaluations with realistic cellular communications parameters at mmWave frequencies show that our proposal outperforms the considered baselines, achieving a location and velocity root mean square error of 0.25 m and 0.83 m/s, respectively.



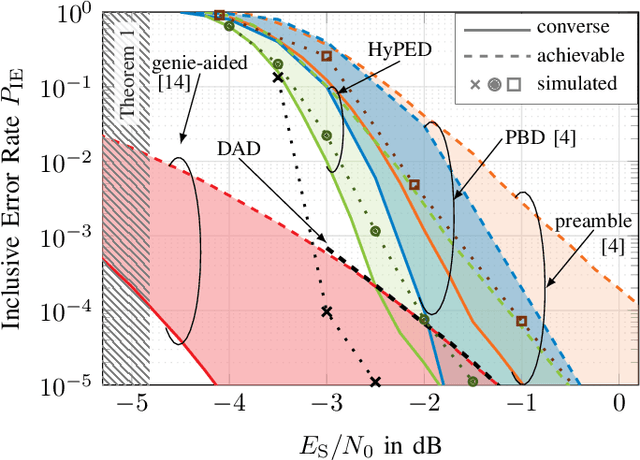
Abstract:For asynchronous transmission of short blocks, preambles for packet detection contribute a non-negligible overhead. To reduce the required preamble length, joint detection and decoding (JDD) techniques have been proposed that additionally utilize the payload part of the packet for detection. In this paper, we analyze two instances of JDD, namely hybrid preamble and energy detection (HyPED) and decoder-aided detection (DAD). While HyPED combines the preamble with energy detection for the payload, DAD also uses the output of a channel decoder. For these systems, we propose novel achievability and converse bounds for the rates over the binary-input additive white Gaussian noise (BI-AWGN) channel. Moreover, we derive a general bound on the required blocklength for JDD. Both the theoretical bound and the simulation of practical codebooks show that the rate of DAD quickly approaches that of synchronous transmission.
Abstract:The use of WiFi signals to sense the physical environment is gaining popularity, with some common applications being motion detection and transmitter localization. Standard-compliant WiFi provides a cost effective, easy and backward-compatible approach to Joint Communication and Sensing and enables a seamless transfer of results from experiments to practical applications. However, most WiFi sensing research is conducted on channel state information (CSI) data from current-generation devices, which are usually not meant for sensing applications and thus lack sufficient spatial diversity or phase synchronization. With ESPARGOS, we previously developed a phase-coherent, real-time capable many-antenna WiFi channel sounder specifically for wireless sensing. We describe how we use ESPARGOS to capture large CSI datasets that we make publicly available. The datasets are extensively documented and labeled, for example with information from reference positioning systems, enabling data-driven and machine learning-based research.




Abstract:Channel Charting is a dimensionality reduction technique that reconstructs a map of the radio environment from similarity relationships found in channel state information. Distances in the channel chart are often computed based on some dissimilarity metric, which can be derived from angular-domain information, channel impulse responses, measured phase differences or simply timestamps. Using such information implicitly makes strong assumptions about the level of phase and time synchronization between base station antennas or assumes approximately constant transmitter velocity. Many practical systems, however, may not provide phase and time synchronization and single-antenna base stations may not even have angular-domain information. We propose a Doppler effect-based loss function for Channel Charting that only requires frequency synchronization between spatially distributed base station antennas, which is a much weaker assumption. We use a dataset measured in an indoor environment to demonstrate that the proposed method is practically feasible with just four base station antennas, that it produces a channel chart that is suitable for localization in the global coordinate frame and that it outperforms other state-of-the-art methods under the given limitations.