Abstract:We present the challenging task of automatically creating a high-level Wikipedia-style article that aggregates information from multiple diverse videos about real-world events, such as natural disasters or political elections. Videos are intuitive sources for retrieval-augmented generation (RAG), but most contemporary RAG workflows focus heavily on text and existing methods for video-based summarization focus on low-level scene understanding rather than high-level event semantics. To close this gap, we introduce WikiVideo, a benchmark consisting of expert-written articles and densely annotated videos that provide evidence for articles' claims, facilitating the integration of video into RAG pipelines and enabling the creation of in-depth content that is grounded in multimodal sources. We further propose Collaborative Article Generation (CAG), a novel interactive method for article creation from multiple videos. CAG leverages an iterative interaction between an r1-style reasoning model and a VideoLLM to draw higher level inferences about the target event than is possible with VideoLLMs alone, which fixate on low-level visual features. We benchmark state-of-the-art VideoLLMs and CAG in both oracle retrieval and RAG settings and find that CAG consistently outperforms alternative methods, while suggesting intriguing avenues for future work.



Abstract:Videos inherently contain multiple modalities, including visual events, text overlays, sounds, and speech, all of which are important for retrieval. However, state-of-the-art multimodal language models like VAST and LanguageBind are built on vision-language models (VLMs), and thus overly prioritize visual signals. Retrieval benchmarks further reinforce this bias by focusing on visual queries and neglecting other modalities. We create a search system MMMORRF that extracts text and features from both visual and audio modalities and integrates them with a novel modality-aware weighted reciprocal rank fusion. MMMORRF is both effective and efficient, demonstrating practicality in searching videos based on users' information needs instead of visual descriptive queries. We evaluate MMMORRF on MultiVENT 2.0 and TVR, two multimodal benchmarks designed for more targeted information needs, and find that it improves nDCG@20 by 81% over leading multimodal encoders and 37% over single-modality retrieval, demonstrating the value of integrating diverse modalities.
Abstract:In this work, we tackle the problem of text-to-video retrieval (T2VR). Inspired by the success of late interaction techniques in text-document, text-image, and text-video retrieval, our approach, Video-ColBERT, introduces a simple and efficient mechanism for fine-grained similarity assessment between queries and videos. Video-ColBERT is built upon 3 main components: a fine-grained spatial and temporal token-wise interaction, query and visual expansions, and a dual sigmoid loss during training. We find that this interaction and training paradigm leads to strong individual, yet compatible, representations for encoding video content. These representations lead to increases in performance on common text-to-video retrieval benchmarks compared to other bi-encoder methods.
Abstract:Efficiently retrieving and synthesizing information from large-scale multimodal collections has become a critical challenge. However, existing video retrieval datasets suffer from scope limitations, primarily focusing on matching descriptive but vague queries with small collections of professionally edited, English-centric videos. To address this gap, we introduce $\textbf{MultiVENT 2.0}$, a large-scale, multilingual event-centric video retrieval benchmark featuring a collection of more than 218,000 news videos and 3,906 queries targeting specific world events. These queries specifically target information found in the visual content, audio, embedded text, and text metadata of the videos, requiring systems leverage all these sources to succeed at the task. Preliminary results show that state-of-the-art vision-language models struggle significantly with this task, and while alternative approaches show promise, they are still insufficient to adequately address this problem. These findings underscore the need for more robust multimodal retrieval systems, as effective video retrieval is a crucial step towards multimodal content understanding and generation tasks.




Abstract:How are we able to learn about complex current events just from short snippets of video? While natural language enables straightforward ways to represent under-specified, partially observable events, visual data does not facilitate analogous methods and, consequently, introduces unique challenges in event understanding. With the growing prevalence of vision-capable AI agents, these systems must be able to model events from collections of unstructured video data. To tackle robust event modeling in multimodal settings, we introduce a multimodal formulation for partially-defined events and cast the extraction of these events as a three-stage span retrieval task. We propose a corresponding benchmark for this task, MultiVENT-G, that consists of 14.5 hours of densely annotated current event videos and 1,168 text documents, containing 22.8K labeled event-centric entities. We propose a collection of LLM-driven approaches to the task of multimodal event analysis, and evaluate them on MultiVENT-G. Results illustrate the challenges that abstract event understanding poses and demonstrates promise in event-centric video-language systems.
Abstract:Everyday news coverage has shifted from traditional broadcasts towards a wide range of presentation formats such as first-hand, unedited video footage. Datasets that reflect the diverse array of multimodal, multilingual news sources available online could be used to teach models to benefit from this shift, but existing news video datasets focus on traditional news broadcasts produced for English-speaking audiences. We address this limitation by constructing MultiVENT, a dataset of multilingual, event-centric videos grounded in text documents across five target languages. MultiVENT includes both news broadcast videos and non-professional event footage, which we use to analyze the state of online news videos and how they can be leveraged to build robust, factually accurate models. Finally, we provide a model for complex, multilingual video retrieval to serve as a baseline for information retrieval using MultiVENT.




Abstract:As information extraction (IE) systems have grown more capable at whole-document extraction, the classic task of \emph{template filling} has seen renewed interest as a benchmark for evaluating them. In this position paper, we call into question the suitability of template filling for this purpose. We argue that the task demands definitive answers to thorny questions of \emph{event individuation} -- the problem of distinguishing distinct events -- about which even human experts disagree. We show through annotation studies and error analysis that this raises concerns about the usefulness of template filling evaluation metrics, the quality of datasets for the task, and the ability of models to learn it. Finally, we consider possible solutions.




Abstract:Contemporary vision benchmarks predominantly consider tasks on which humans can achieve near-perfect performance. However, humans are frequently presented with visual data that they cannot classify with 100% certainty, and models trained on standard vision benchmarks achieve low performance when evaluated on this data. To address this issue, we introduce a procedure for creating datasets of ambiguous images and use it to produce SQUID-E ("Squidy"), a collection of noisy images extracted from videos. All images are annotated with ground truth values and a test set is annotated with human uncertainty judgments. We use this dataset to characterize human uncertainty in vision tasks and evaluate existing visual event classification models. Experimental results suggest that existing vision models are not sufficiently equipped to provide meaningful outputs for ambiguous images and that datasets of this nature can be used to assess and improve such models through model training and direct evaluation of model calibration. These findings motivate large-scale ambiguous dataset creation and further research focusing on noisy visual data.




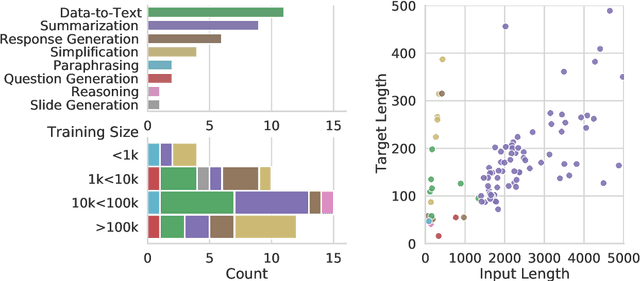
Abstract:Evaluation in machine learning is usually informed by past choices, for example which datasets or metrics to use. This standardization enables the comparison on equal footing using leaderboards, but the evaluation choices become sub-optimal as better alternatives arise. This problem is especially pertinent in natural language generation which requires ever-improving suites of datasets, metrics, and human evaluation to make definitive claims. To make following best model evaluation practices easier, we introduce GEMv2. The new version of the Generation, Evaluation, and Metrics Benchmark introduces a modular infrastructure for dataset, model, and metric developers to benefit from each others work. GEMv2 supports 40 documented datasets in 51 languages. Models for all datasets can be evaluated online and our interactive data card creation and rendering tools make it easier to add new datasets to the living benchmark.




Abstract:While popular televised events such as presidential debates or TV shows are airing, people provide commentary on them in real-time. In this paper, we propose a simple yet effective approach to combine social media commentary and videos to create a multimedia summary of televised events. Our approach identifies scenes from these events based on spikes of mentions of people involved in the event and automatically selects tweets and frames from the videos that occur during the time period of the spike that talk about and show the people being discussed.