UC San Diego
Abstract:A common challenge with supervised machine learning (ML) in high energy physics (HEP) is the reliance on simulations for labeled data, which can often mismodel the underlying collision or detector response. To help mitigate this problem of domain shift, we propose RINO (Renormalization Group Invariance with No Labels), a self-supervised learning approach that can instead pretrain models directly on collision data, learning embeddings invariant to renormalization group flow scales. In this work, we pretrain a transformer-based model on jets originating from quantum chromodynamic (QCD) interactions from the JetClass dataset, emulating real QCD-dominated experimental data, and then finetune on the JetNet dataset -- emulating simulations -- for the task of identifying jets originating from top quark decays. RINO demonstrates improved generalization from the JetNet training data to JetClass data compared to supervised training on JetNet from scratch, demonstrating the potential for RINO pretraining on real collision data followed by fine-tuning on small, high-quality MC datasets, to improve the robustness of ML models in HEP.
Abstract:Scientific discoveries are often made by finding a pattern or object that was not predicted by the known rules of science. Oftentimes, these anomalous events or objects that do not conform to the norms are an indication that the rules of science governing the data are incomplete, and something new needs to be present to explain these unexpected outliers. The challenge of finding anomalies can be confounding since it requires codifying a complete knowledge of the known scientific behaviors and then projecting these known behaviors on the data to look for deviations. When utilizing machine learning, this presents a particular challenge since we require that the model not only understands scientific data perfectly but also recognizes when the data is inconsistent and out of the scope of its trained behavior. In this paper, we present three datasets aimed at developing machine learning-based anomaly detection for disparate scientific domains covering astrophysics, genomics, and polar science. We present the different datasets along with a scheme to make machine learning challenges around the three datasets findable, accessible, interoperable, and reusable (FAIR). Furthermore, we present an approach that generalizes to future machine learning challenges, enabling the possibility of large, more compute-intensive challenges that can ultimately lead to scientific discovery.




Abstract:We develop a pipeline to streamline neural architecture codesign for physics applications to reduce the need for ML expertise when designing models for novel tasks. Our method employs neural architecture search and network compression in a two-stage approach to discover hardware efficient models. This approach consists of a global search stage that explores a wide range of architectures while considering hardware constraints, followed by a local search stage that fine-tunes and compresses the most promising candidates. We exceed performance on various tasks and show further speedup through model compression techniques such as quantization-aware-training and neural network pruning. We synthesize the optimal models to high level synthesis code for FPGA deployment with the hls4ml library. Additionally, our hierarchical search space provides greater flexibility in optimization, which can easily extend to other tasks and domains. We demonstrate this with two case studies: Bragg peak finding in materials science and jet classification in high energy physics, achieving models with improved accuracy, smaller latencies, or reduced resource utilization relative to the baseline models.




Abstract:The production of multiple Higgs bosons at the CERN LHC provides a direct way to measure the trilinear and quartic Higgs self-interaction strengths as well as potential access to beyond the standard model effects that can enhance production at large transverse momentum $p_{\mathrm{T}}$. The largest event fraction arises from the fully hadronic final state in which every Higgs boson decays to a bottom quark-antiquark pair ($b\bar{b}$). This introduces a combinatorial challenge known as the \emph{jet assignment problem}: assigning jets to sets representing Higgs boson candidates. Symmetry-preserving attention networks (SPA-Nets) have been been developed to address this challenge. However, the complexity of jet assignment increases when simultaneously considering both $H\rightarrow b\bar{b}$ reconstruction possibilities, i.e., two "resolved" small-radius jets each containing a shower initiated by a $b$-quark or one "boosted" large-radius jet containing a merged shower initiated by a $b\bar{b}$ pair. The latter improves the reconstruction efficiency at high $p_{\mathrm{T}}$. In this work, we introduce a generalization to the SPA-Net approach to simultaneously consider both boosted and resolved reconstruction possibilities and unambiguously interpret an event as "fully resolved'', "fully boosted", or in between. We report the performance of baseline methods, the original SPA-Net approach, and our generalized version on nonresonant $HH$ and $HHH$ production at the LHC. Considering both boosted and resolved topologies, our SPA-Net approach increases the Higgs boson reconstruction purity by 57--62\% and the efficiency by 23--38\% compared to the baseline method depending on the final state.



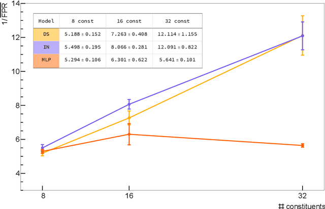
Abstract:In high energy physics, self-supervised learning (SSL) methods have the potential to aid in the creation of machine learning models without the need for labeled datasets for a variety of tasks, including those related to jets -- narrow sprays of particles produced by quarks and gluons in high energy particle collisions. This study introduces an approach to learning jet representations without hand-crafted augmentations using a jet-based joint embedding predictive architecture (J-JEPA), which aims to predict various physical targets from an informative context. As our method does not require hand-crafted augmentation like other common SSL techniques, J-JEPA avoids introducing biases that could harm downstream tasks. Since different tasks generally require invariance under different augmentations, this training without hand-crafted augmentation enables versatile applications, offering a pathway toward a cross-task foundation model. We finetune the representations learned by J-JEPA for jet tagging and benchmark them against task-specific representations.
Abstract:Machine learning (ML) algorithms, particularly attention-based transformer models, have become indispensable for analyzing the vast data generated by particle physics experiments like ATLAS and CMS at the CERN LHC. Particle Transformer (ParT), a state-of-the-art model, leverages particle-level attention to improve jet-tagging tasks, which are critical for identifying particles resulting from proton collisions. This study focuses on interpreting ParT by analyzing attention heat maps and particle-pair correlations on the $\eta$-$\phi$ plane, revealing a binary attention pattern where each particle attends to at most one other particle. At the same time, we observe that ParT shows varying focus on important particles and subjets depending on decay, indicating that the model learns traditional jet substructure observables. These insights enhance our understanding of the model's internal workings and learning process, offering potential avenues for improving the efficiency of transformer architectures in future high-energy physics applications.




Abstract:We introduce SymbolFit, a framework that automates parametric modeling by using symbolic regression to perform a machine-search for functions that fit the data, while simultaneously providing uncertainty estimates in a single run. Traditionally, constructing a parametric model to accurately describe binned data has been a manual and iterative process, requiring an adequate functional form to be determined before the fit can be performed. The main challenge arises when the appropriate functional forms cannot be derived from first principles, especially when there is no underlying true closed-form function for the distribution. In this work, we address this problem by utilizing symbolic regression, a machine learning technique that explores a vast space of candidate functions without needing a predefined functional form, treating the functional form itself as a trainable parameter. Our approach is demonstrated in data analysis applications in high-energy physics experiments at the CERN Large Hadron Collider (LHC). We demonstrate its effectiveness and efficiency using five real proton-proton collision datasets from new physics searches at the LHC, namely the background modeling in resonance searches for high-mass dijet, trijet, paired-dijet, diphoton, and dimuon events. We also validate the framework using several toy datasets with one and more variables.




Abstract:Extreme data rate scientific experiments create massive amounts of data that require efficient ML edge processing. This leads to unique validation challenges for VLSI implementations of ML algorithms: enabling bit-accurate functional simulations for performance validation in experimental software frameworks, verifying those ML models are robust under extreme quantization and pruning, and enabling ultra-fine-grained model inspection for efficient fault tolerance. We discuss approaches to developing and validating reliable algorithms at the scientific edge under such strict latency, resource, power, and area requirements in extreme experimental environments. We study metrics for developing robust algorithms, present preliminary results and mitigation strategies, and conclude with an outlook of these and future directions of research towards the longer-term goal of developing autonomous scientific experimentation methods for accelerated scientific discovery.




Abstract:This study introduces a novel transformer model optimized for large-scale point cloud processing in scientific domains such as high-energy physics (HEP) and astrophysics. Addressing the limitations of graph neural networks and standard transformers, our model integrates local inductive bias and achieves near-linear complexity with hardware-friendly regular operations. One contribution of this work is the quantitative analysis of the error-complexity tradeoff of various sparsification techniques for building efficient transformers. Our findings highlight the superiority of using locality-sensitive hashing (LSH), especially OR \& AND-construction LSH, in kernel approximation for large-scale point cloud data with local inductive bias. Based on this finding, we propose LSH-based Efficient Point Transformer (\textbf{HEPT}), which combines E$^2$LSH with OR \& AND constructions and is built upon regular computations. HEPT demonstrates remarkable performance in two critical yet time-consuming HEP tasks, significantly outperforming existing GNNs and transformers in accuracy and computational speed, marking a significant advancement in geometric deep learning and large-scale scientific data processing. Our code is available at \url{https://github.com/Graph-COM/HEPT}.




Abstract:We study various machine learning based algorithms for performing accurate jet flavor classification on field-programmable gate arrays and demonstrate how latency and resource consumption scale with the input size and choice of algorithm. These architectures provide an initial design for models that could be used for tagging at the CERN LHC during its high-luminosity phase. The high-luminosity upgrade will lead to a five-fold increase in its instantaneous luminosity for proton-proton collisions and, in turn, higher data volume and complexity, such as the availability of jet constituents. Through quantization-aware training and efficient hardware implementations, we show that O(100) ns inference of complex architectures such as deep sets and interaction networks is feasible at a low computational resource cost.