Abstract:The rapid advancement of large language models (LLMs) has led to increasingly human-like AI-generated text, raising concerns about content authenticity, misinformation, and trustworthiness. Addressing the challenge of reliably detecting AI-generated text and attributing it to specific models requires large-scale, diverse, and well-annotated datasets. In this work, we present a comprehensive dataset comprising over 58,000 text samples that combine authentic New York Times articles with synthetic versions generated by multiple state-of-the-art LLMs including Gemma-2-9b, Mistral-7B, Qwen-2-72B, LLaMA-8B, Yi-Large, and GPT-4-o. The dataset provides original article abstracts as prompts, full human-authored narratives. We establish baseline results for two key tasks: distinguishing human-written from AI-generated text, achieving an accuracy of 58.35\%, and attributing AI texts to their generating models with an accuracy of 8.92\%. By bridging real-world journalistic content with modern generative models, the dataset aims to catalyze the development of robust detection and attribution methods, fostering trust and transparency in the era of generative AI. Our dataset is available at: https://huggingface.co/datasets/gsingh1-py/train.
Abstract:Alignment is crucial for text-to-image (T2I) models to ensure that generated images faithfully capture user intent while maintaining safety and fairness. Direct Preference Optimization (DPO), prominent in large language models (LLMs), is extending its influence to T2I systems. This paper introduces DPO-Kernels for T2I models, a novel extension enhancing alignment across three dimensions: (i) Hybrid Loss, integrating embedding-based objectives with traditional probability-based loss for improved optimization; (ii) Kernelized Representations, employing Radial Basis Function (RBF), Polynomial, and Wavelet kernels for richer feature transformations and better separation between safe and unsafe inputs; and (iii) Divergence Selection, expanding beyond DPO's default Kullback-Leibler (KL) regularizer by incorporating Wasserstein and R'enyi divergences for enhanced stability and robustness. We introduce DETONATE, the first large-scale benchmark of its kind, comprising approximately 100K curated image pairs categorized as chosen and rejected. DETONATE encapsulates three axes of social bias and discrimination: Race, Gender, and Disability. Prompts are sourced from hate speech datasets, with images generated by leading T2I models including Stable Diffusion 3.5 Large, Stable Diffusion XL, and Midjourney. Additionally, we propose the Alignment Quality Index (AQI), a novel geometric measure quantifying latent-space separability of safe/unsafe image activations, revealing hidden vulnerabilities. Empirically, we demonstrate that DPO-Kernels maintain strong generalization bounds via Heavy-Tailed Self-Regularization (HT-SR). DETONATE and complete code are publicly released.




Abstract:Adversarial threats against LLMs are escalating faster than current defenses can adapt. We expose a critical geometric blind spot in alignment: adversarial prompts exploit latent camouflage, embedding perilously close to the safe representation manifold while encoding unsafe intent thereby evading surface level defenses like Direct Preference Optimization (DPO), which remain blind to the latent geometry. We introduce ALKALI, the first rigorously curated adversarial benchmark and the most comprehensive to date spanning 9,000 prompts across three macro categories, six subtypes, and fifteen attack families. Evaluation of 21 leading LLMs reveals alarmingly high Attack Success Rates (ASRs) across both open and closed source models, exposing an underlying vulnerability we term latent camouflage, a structural blind spot where adversarial completions mimic the latent geometry of safe ones. To mitigate this vulnerability, we introduce GRACE - Geometric Representation Aware Contrastive Enhancement, an alignment framework coupling preference learning with latent space regularization. GRACE enforces two constraints: latent separation between safe and adversarial completions, and adversarial cohesion among unsafe and jailbreak behaviors. These operate over layerwise pooled embeddings guided by a learned attention profile, reshaping internal geometry without modifying the base model, and achieve up to 39% ASR reduction. Moreover, we introduce AVQI, a geometry aware metric that quantifies latent alignment failure via cluster separation and compactness. AVQI reveals when unsafe completions mimic the geometry of safe ones, offering a principled lens into how models internally encode safety. We make the code publicly available at https://anonymous.4open.science/r/alkali-B416/README.md.




Abstract:Precise alignment in Text-to-Image (T2I) systems is crucial to ensure that generated visuals not only accurately encapsulate user intents but also conform to stringent ethical and aesthetic benchmarks. Incidents like the Google Gemini fiasco, where misaligned outputs triggered significant public backlash, underscore the critical need for robust alignment mechanisms. In contrast, Large Language Models (LLMs) have achieved notable success in alignment. Building on these advancements, researchers are eager to apply similar alignment techniques, such as Direct Preference Optimization (DPO), to T2I systems to enhance image generation fidelity and reliability. We present YinYangAlign, an advanced benchmarking framework that systematically quantifies the alignment fidelity of T2I systems, addressing six fundamental and inherently contradictory design objectives. Each pair represents fundamental tensions in image generation, such as balancing adherence to user prompts with creative modifications or maintaining diversity alongside visual coherence. YinYangAlign includes detailed axiom datasets featuring human prompts, aligned (chosen) responses, misaligned (rejected) AI-generated outputs, and explanations of the underlying contradictions.




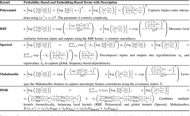
Abstract:The rapid rise of large language models (LLMs) has unlocked many applications but also underscores the challenge of aligning them with diverse values and preferences. Direct Preference Optimization (DPO) is central to alignment but constrained by fixed divergences and limited feature transformations. We propose DPO-Kernels, which integrates kernel methods to address these issues through four key contributions: (i) Kernelized Representations with polynomial, RBF, Mahalanobis, and spectral kernels for richer transformations, plus a hybrid loss combining embedding-based and probability-based objectives; (ii) Divergence Alternatives (Jensen-Shannon, Hellinger, Renyi, Bhattacharyya, Wasserstein, and f-divergences) for greater stability; (iii) Data-Driven Selection metrics that automatically choose the best kernel-divergence pair; and (iv) a Hierarchical Mixture of Kernels for both local precision and global modeling. Evaluations on 12 datasets demonstrate state-of-the-art performance in factuality, safety, reasoning, and instruction following. Grounded in Heavy-Tailed Self-Regularization, DPO-Kernels maintains robust generalization for LLMs, offering a comprehensive resource for further alignment research.




Abstract:The detection of hate speech has become increasingly important in combating online hostility and its real-world consequences. Despite recent advancements, there is limited research addressing hate speech detection in Devanagari-scripted languages, where resources and tools are scarce. While large language models (LLMs) have shown promise in language-related tasks, traditional fine-tuning approaches are often infeasible given the size of the models. In this paper, we propose a Parameter Efficient Fine tuning (PEFT) based solution for hate speech detection and target identification. We evaluate multiple LLMs on the Devanagari dataset provided by (Thapa et al., 2025), which contains annotated instances in 2 languages - Hindi and Nepali. The results demonstrate the efficacy of our approach in handling Devanagari-scripted content.




Abstract:The detection of hate speech has become increasingly important in combating online hostility and its real-world consequences. Despite recent advancements, there is limited research addressing hate speech detection in Devanagari-scripted languages, where resources and tools are scarce. While large language models (LLMs) have shown promise in language-related tasks, traditional fine-tuning approaches are often infeasible given the size of the models. In this paper, we propose a Parameter Efficient Fine tuning (PEFT) based solution for hate speech detection and target identification. We evaluate multiple LLMs on the Devanagari dataset provided by (Thapa et al., 2025), which contains annotated instances in 2 languages - Hindi and Nepali. The results demonstrate the efficacy of our approach in handling Devanagari-scripted content.




Abstract:Making analogies is fundamental to cognition. Proportional analogies, which consist of four terms, are often used to assess linguistic and cognitive abilities. For instance, completing analogies like "Oxygen is to Gas as <blank> is to <blank>" requires identifying the semantic relationship (e.g., "type of") between the first pair of terms ("Oxygen" and "Gas") and finding a second pair that shares the same relationship (e.g., "Aluminum" and "Metal"). In this work, we introduce a 15K Multiple-Choice Question Answering (MCQA) dataset for proportional analogy completion and evaluate the performance of contemporary Large Language Models (LLMs) in various knowledge-enhanced prompt settings. Specifically, we augment prompts with three types of knowledge: exemplar, structured, and targeted. Our results show that despite extensive training data, solving proportional analogies remains challenging for current LLMs, with the best model achieving an accuracy of 55%. Notably, we find that providing targeted knowledge can better assist models in completing proportional analogies compared to providing exemplars or collections of structured knowledge.




Abstract:The proliferation of AI techniques for image generation, coupled with their increasing accessibility, has raised significant concerns about the potential misuse of these images to spread misinformation. Recent AI-generated image detection (AGID) methods include CNNDetection, NPR, DM Image Detection, Fake Image Detection, DIRE, LASTED, GAN Image Detection, AIDE, SSP, DRCT, RINE, OCC-CLIP, De-Fake, and Deep Fake Detection. However, we argue that the current state-of-the-art AGID techniques are inadequate for effectively detecting contemporary AI-generated images and advocate for a comprehensive reevaluation of these methods. We introduce the Visual Counter Turing Test (VCT^2), a benchmark comprising ~130K images generated by contemporary text-to-image models (Stable Diffusion 2.1, Stable Diffusion XL, Stable Diffusion 3, DALL-E 3, and Midjourney 6). VCT^2 includes two sets of prompts sourced from tweets by the New York Times Twitter account and captions from the MS COCO dataset. We also evaluate the performance of the aforementioned AGID techniques on the VCT$^2$ benchmark, highlighting their ineffectiveness in detecting AI-generated images. As image-generative AI models continue to evolve, the need for a quantifiable framework to evaluate these models becomes increasingly critical. To meet this need, we propose the Visual AI Index (V_AI), which assesses generated images from various visual perspectives, including texture complexity and object coherence, setting a new standard for evaluating image-generative AI models. To foster research in this domain, we make our https://huggingface.co/datasets/anonymous1233/COCO_AI and https://huggingface.co/datasets/anonymous1233/twitter_AI datasets publicly available.




Abstract:Latest developments in Large Multimodal Models (LMMs) have broadened their capabilities to include video understanding. Specifically, Text-to-video (T2V) models have made significant progress in quality, comprehension, and duration, excelling at creating videos from simple textual prompts. Yet, they still frequently produce hallucinated content that clearly signals the video is AI-generated. We introduce ViBe: a large-scale Text-to-Video Benchmark of hallucinated videos from T2V models. We identify five major types of hallucination: Vanishing Subject, Numeric Variability, Temporal Dysmorphia, Omission Error, and Physical Incongruity. Using 10 open-source T2V models, we developed the first large-scale dataset of hallucinated videos, comprising 3,782 videos annotated by humans into these five categories. ViBe offers a unique resource for evaluating the reliability of T2V models and provides a foundation for improving hallucination detection and mitigation in video generation. We establish classification as a baseline and present various ensemble classifier configurations, with the TimeSFormer + CNN combination yielding the best performance, achieving 0.345 accuracy and 0.342 F1 score. This benchmark aims to drive the development of robust T2V models that produce videos more accurately aligned with input prompts.