Polytech Nantes, DUKe, LS2N
Abstract:Large Language Models (LLMs) have demonstrated impressive reasoning abilities through test-time computation (TTC) techniques such as chain-of-thought prompting and tree-based reasoning. However, we argue that current reasoning LLMs (RLLMs) lack the ability to systematically explore the solution space. This paper formalizes what constitutes systematic problem solving and identifies common failure modes that reveal reasoning LLMs to be wanderers rather than systematic explorers. Through qualitative and quantitative analysis across multiple state-of-the-art LLMs, we uncover persistent issues: invalid reasoning steps, redundant explorations, hallucinated or unfaithful conclusions, and so on. Our findings suggest that current models' performance can appear to be competent on simple tasks yet degrade sharply as complexity increases. Based on the findings, we advocate for new metrics and tools that evaluate not just final outputs but the structure of the reasoning process itself.
Abstract:Large Language Models (LLMs) are increasingly deployed in interactions where they are prompted to adopt personas. This paper investigates whether such persona conditioning affects model safety under bullying, an adversarial manipulation that applies psychological pressures in order to force the victim to comply to the attacker. We introduce a simulation framework in which an attacker LLM engages a victim LLM using psychologically grounded bullying tactics, while the victim adopts personas aligned with the Big Five personality traits. Experiments using multiple open-source LLMs and a wide range of adversarial goals reveal that certain persona configurations -- such as weakened agreeableness or conscientiousness -- significantly increase victim's susceptibility to unsafe outputs. Bullying tactics involving emotional or sarcastic manipulation, such as gaslighting and ridicule, are particularly effective. These findings suggest that persona-driven interaction introduces a novel vector for safety risks in LLMs and highlight the need for persona-aware safety evaluation and alignment strategies.



Abstract:This technical report introduces our top-ranked solution that employs two approaches, \ie suffix injection and projected gradient descent (PGD) , to address the TiFA workshop MLLM attack challenge. Specifically, we first append the text from an incorrectly labeled option (pseudo-labeled) to the original query as a suffix. Using this modified query, our second approach applies the PGD method to add imperceptible perturbations to the image. Combining these two techniques enables successful attacks on the LLaVA 1.5 model.



Abstract:Value alignment, which aims to ensure that large language models (LLMs) and other AI agents behave in accordance with human values, is critical for ensuring safety and trustworthiness of these systems. A key component of value alignment is the modeling of human preferences as a representation of human values. In this paper, we investigate the robustness of value alignment by examining the sensitivity of preference models. Specifically, we ask: how do changes in the probabilities of some preferences affect the predictions of these models for other preferences? To answer this question, we theoretically analyze the robustness of widely used preference models by examining their sensitivities to minor changes in preferences they model. Our findings reveal that, in the Bradley-Terry and the Placket-Luce model, the probability of a preference can change significantly as other preferences change, especially when these preferences are dominant (i.e., with probabilities near 0 or 1). We identify specific conditions where this sensitivity becomes significant for these models and discuss the practical implications for the robustness and safety of value alignment in AI systems.




Abstract:Question answering (QA) has been a long-standing focus in the NLP field, predominantly addressing reading comprehension and common sense QA. However, scenarios involving the preparation of answers to probable questions during professional oral presentations remain underexplored. In this paper, we pioneer the examination of this crucial yet overlooked topic by utilizing real-world QA conversation transcripts between company managers and professional analysts. We explore the proposed task using three causal knowledge graphs (KGs) and three large language models (LLMs). This work provides foundational insights into the application of LLMs in professional QA scenarios, highlighting the importance of causal KGs and perspective-taking in generating effective responses.




Abstract:For visual content generation, discrepancies between user intentions and the generated content have been a longstanding problem. This discrepancy arises from two main factors. First, user intentions are inherently complex, with subtle details not fully captured by input prompts. The absence of such details makes it challenging for generative models to accurately reflect the intended meaning, leading to a mismatch between the desired and generated output. Second, generative models trained on visual-label pairs lack the comprehensive knowledge to accurately represent all aspects of the input data in their generated outputs. To address these challenges, we propose a knowledge-enhanced iterative refinement framework for visual content generation. We begin by analyzing and identifying the key challenges faced by existing generative models. Then, we introduce various knowledge sources, including human insights, pre-trained models, logic rules, and world knowledge, which can be leveraged to address these challenges. Furthermore, we propose a novel visual generation framework that incorporates a knowledge-based feedback module to iteratively refine the generation process. This module gradually improves the alignment between the generated content and user intentions. We demonstrate the efficacy of the proposed framework through preliminary results, highlighting the potential of knowledge-enhanced generative models for intention-aligned content generation.
Abstract:Hallucination has been widely recognized to be a significant drawback for large language models (LLMs). There have been many works that attempt to reduce the extent of hallucination. These efforts have mostly been empirical so far, which cannot answer the fundamental question whether it can be completely eliminated. In this paper, we formalize the problem and show that it is impossible to eliminate hallucination in LLMs. Specifically, we define a formal world where hallucination is defined as inconsistencies between a computable LLM and a computable ground truth function. By employing results from learning theory, we show that LLMs cannot learn all of the computable functions and will therefore always hallucinate. Since the formal world is a part of the real world which is much more complicated, hallucinations are also inevitable for real world LLMs. Furthermore, for real world LLMs constrained by provable time complexity, we describe the hallucination-prone tasks and empirically validate our claims. Finally, using the formal world framework, we discuss the possible mechanisms and efficacies of existing hallucination mitigators as well as the practical implications on the safe deployment of LLMs.




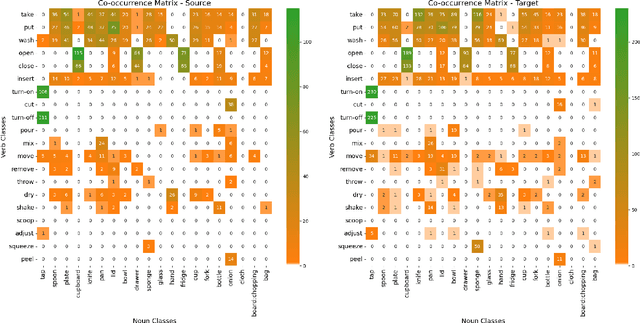
Abstract:In this technical report, we present our findings from a study conducted on the EPIC-KITCHENS-100 Unsupervised Domain Adaptation task for Action Recognition. Our research focuses on the innovative application of a differentiable logic loss in the training to leverage the co-occurrence relations between verb and noun, as well as the pre-trained Large Language Models (LLMs) to generate the logic rules for the adaptation to unseen action labels. Specifically, the model's predictions are treated as the truth assignment of a co-occurrence logic formula to compute the logic loss, which measures the consistency between the predictions and the logic constraints. By using the verb-noun co-occurrence matrix generated from the dataset, we observe a moderate improvement in model performance compared to our baseline framework. To further enhance the model's adaptability to novel action labels, we experiment with rules generated using GPT-3.5, which leads to a slight decrease in performance. These findings shed light on the potential and challenges of incorporating differentiable logic and LLMs for knowledge extraction in unsupervised domain adaptation for action recognition. Our final submission (entitled `NS-LLM') achieved the first place in terms of top-1 action recognition accuracy.




Abstract:In this paper, we introduce DA$^2$, the first large-scale dual-arm dexterity-aware dataset for the generation of optimal bimanual grasping pairs for arbitrary large objects. The dataset contains about 9M pairs of parallel-jaw grasps, generated from more than 6000 objects and each labeled with various grasp dexterity measures. In addition, we propose an end-to-end dual-arm grasp evaluation model trained on the rendered scenes from this dataset. We utilize the evaluation model as our baseline to show the value of this novel and nontrivial dataset by both online analysis and real robot experiments. All data and related code will be open-sourced at https://sites.google.com/view/da2dataset.




Abstract:We propose the Motion Capsule Autoencoder (MCAE), which addresses a key challenge in the unsupervised learning of motion representations: transformation invariance. MCAE models motion in a two-level hierarchy. In the lower level, a spatio-temporal motion signal is divided into short, local, and semantic-agnostic snippets. In the higher level, the snippets are aggregated to form full-length semantic-aware segments. For both levels, we represent motion with a set of learned transformation invariant templates and the corresponding geometric transformations by using capsule autoencoders of a novel design. This leads to a robust and efficient encoding of viewpoint changes. MCAE is evaluated on a novel Trajectory20 motion dataset and various real-world skeleton-based human action datasets. Notably, it achieves better results than baselines on Trajectory20 with considerably fewer parameters and state-of-the-art performance on the unsupervised skeleton-based action recognition task.