



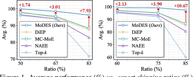
Abstract:Mixture-of-Experts (MoE) Multimodal large language models (MLLMs) excel at vision-language tasks, but they suffer from high computational inefficiency. To reduce inference overhead, expert skipping methods have been proposed to deactivate redundant experts based on the current input tokens. However, we find that applying these methods-originally designed for unimodal large language models (LLMs)-to MLLMs results in considerable performance degradation. This is primarily because such methods fail to account for the heterogeneous contributions of experts across MoE layers and modality-specific behaviors of tokens within these layers. Motivated by these findings, we propose MoDES, the first training-free framework that adaptively skips experts to enable efficient and accurate MoE MLLM inference. It incorporates a globally-modulated local gating (GMLG) mechanism that integrates global layer-wise importance into local routing probabilities to accurately estimate per-token expert importance. A dual-modality thresholding (DMT) method is then applied, which processes tokens from each modality separately, to derive the skipping schedule. To set the optimal thresholds, we introduce a frontier search algorithm that exploits monotonicity properties, cutting convergence time from several days to a few hours. Extensive experiments for 3 model series across 13 benchmarks demonstrate that MoDES far outperforms previous approaches. For instance, when skipping 88% experts for Qwen3-VL-MoE-30B-A3B-Instruct, the performance boost is up to 10.67% (97.33% vs. 86.66%). Furthermore, MoDES significantly enhances inference speed, improving the prefilling time by 2.16$\times$ and the decoding time by 1.26$\times$.
Abstract:Large Language Models (LLMs) fine-tuning techniques not only improve the adaptability to diverse downstream tasks, but also mitigate adverse effects of model quantization. Despite this, conventional quantization suffers from its structural limitation that hinders flexibility during the fine-tuning and deployment stages. Practical on-device tasks demand different quantization precisions (i.e. different bit-widths), e.g., understanding tasks tend to exhibit higher tolerance to reduced precision compared to generation tasks. Conventional quantization, typically relying on scaling factors that are incompatible across bit-widths, fails to support the on-device switching of precisions when confronted with complex real-world scenarios. To overcome the dilemma, we propose OTARo, a novel method that enables on-device LLMs to flexibly switch quantization precisions while maintaining performance robustness through once fine-tuning. OTARo introduces Shared Exponent Floating Point (SEFP), a distinct quantization mechanism, to produce different bit-widths through simple mantissa truncations of a single model. Moreover, to achieve bit-width robustness in downstream applications, OTARo performs a learning process toward losses induced by different bit-widths. The method involves two critical strategies: (1) Exploitation-Exploration Bit-Width Path Search (BPS), which iteratively updates the search path via a designed scoring mechanism; (2) Low-Precision Asynchronous Accumulation (LAA), which performs asynchronous gradient accumulations and delayed updates under low bit-widths. Experiments on popular LLMs, e.g., LLaMA3.2-1B, LLaMA3-8B, demonstrate that OTARo achieves consistently strong and robust performance for all precisions.




Abstract:SRAM Processing-in-Memory (PIM) has emerged as the most promising implementation for high-performance PIM, delivering superior computing density, energy efficiency, and computational precision. However, the pursuit of higher performance necessitates more complex circuit designs and increased operating frequencies, which exacerbate IR-drop issues. Severe IR-drop can significantly degrade chip performance and even threaten reliability. Conventional circuit-level IR-drop mitigation methods, such as back-end optimizations, are resource-intensive and often compromise power, performance, and area (PPA). To address these challenges, we propose AIM, comprehensive software and hardware co-design for architecture-level IR-drop mitigation in high-performance PIM. Initially, leveraging the bit-serial and in-situ dataflow processing properties of PIM, we introduce Rtog and HR, which establish a direct correlation between PIM workloads and IR-drop. Building on this foundation, we propose LHR and WDS, enabling extensive exploration of architecture-level IR-drop mitigation while maintaining computational accuracy through software optimization. Subsequently, we develop IR-Booster, a dynamic adjustment mechanism that integrates software-level HR information with hardware-based IR-drop monitoring to adapt the V-f pairs of the PIM macro, achieving enhanced energy efficiency and performance. Finally, we propose the HR-aware task mapping method, bridging software and hardware designs to achieve optimal improvement. Post-layout simulation results on a 7nm 256-TOPS PIM chip demonstrate that AIM achieves up to 69.2% IR-drop mitigation, resulting in 2.29x energy efficiency improvement and 1.152x speedup.
Abstract:Small Language Models (SLMs) provide computational advantages in resource-constrained environments, yet memory limitations remain a critical bottleneck for edge device deployment. A substantial portion of SLMs' memory footprint stems from vocabulary-related components, particularly embeddings and language modeling (LM) heads, due to large vocabulary sizes. Existing static vocabulary pruning, while reducing memory usage, suffers from rigid, one-size-fits-all designs that cause information loss from the prefill stage and a lack of flexibility. In this work, we identify two key principles underlying the vocabulary reduction challenge: the lexical locality principle, the observation that only a small subset of tokens is required during any single inference, and the asymmetry in computational characteristics between vocabulary-related components of SLM. Based on these insights, we introduce VocabTailor, a novel decoupled dynamic vocabulary selection framework that addresses memory constraints through offloading embedding and implements a hybrid static-dynamic vocabulary selection strategy for LM Head, enabling on-demand loading of vocabulary components. Comprehensive experiments across diverse downstream tasks demonstrate that VocabTailor achieves a reduction of up to 99% in the memory usage of vocabulary-related components with minimal or no degradation in task performance, substantially outperforming existing static vocabulary pruning.




Abstract:Vision-Language-Action (VLA) models have made substantial progress by leveraging the robust capabilities of Visual Language Models (VLMs). However, VLMs' significant parameter size and autoregressive (AR) decoding nature impose considerable computational demands on VLA models. While Speculative Decoding (SD) has shown efficacy in accelerating Large Language Models (LLMs) by incorporating efficient drafting and parallel verification, allowing multiple tokens to be generated in one forward pass, its application to VLA models remains unexplored. This work introduces Spec-VLA, an SD framework designed to accelerate VLA models. Due to the difficulty of the action prediction task and the greedy decoding mechanism of the VLA models, the direct application of the advanced SD framework to the VLA prediction task yields a minor speed improvement. To boost the generation speed, we propose an effective mechanism to relax acceptance utilizing the relative distances represented by the action tokens of the VLA model. Empirical results across diverse test scenarios affirm the effectiveness of the Spec-VLA framework, and further analysis substantiates the impact of our proposed strategies, which enhance the acceptance length by 44%, achieving 1.42 times speedup compared with the OpenVLA baseline, without compromising the success rate. The success of the Spec-VLA framework highlights the potential for broader application of speculative execution in VLA prediction scenarios.



Abstract:Generative models like Flow Matching have achieved state-of-the-art performance but are often hindered by a computationally expensive iterative sampling process. To address this, recent work has focused on few-step or one-step generation by learning the average velocity field, which directly maps noise to data. MeanFlow, a leading method in this area, learns this field by enforcing a differential identity that connects the average and instantaneous velocities. In this work, we argue that this differential formulation is a limiting special case of a more fundamental principle. We return to the first principles of average velocity and leverage the additivity property of definite integrals. This leads us to derive a novel, purely algebraic identity we term Interval Splitting Consistency. This identity establishes a self-referential relationship for the average velocity field across different time intervals without resorting to any differential operators. Based on this principle, we introduce SplitMeanFlow, a new training framework that enforces this algebraic consistency directly as a learning objective. We formally prove that the differential identity at the core of MeanFlow is recovered by taking the limit of our algebraic consistency as the interval split becomes infinitesimal. This establishes SplitMeanFlow as a direct and more general foundation for learning average velocity fields. From a practical standpoint, our algebraic approach is significantly more efficient, as it eliminates the need for JVP computations, resulting in simpler implementation, more stable training, and broader hardware compatibility. One-step and two-step SplitMeanFlow models have been successfully deployed in large-scale speech synthesis products (such as Doubao), achieving speedups of 20x.
Abstract:Large Language Models (LLMs) face significant challenges in edge deployment due to their massive parameter scale. Vector Quantization (VQ), a clustering-based quantization method, serves as a prevalent solution to this issue for its extremely low-bit (even at 2-bit) and considerable accuracy. Since a vector is a quantity in mathematics and physics that has both direction and magnitude, existing VQ works typically quantize them in a coupled manner. However, we find that direction exhibits significantly greater sensitivity to quantization compared to the magnitude. For instance, when separately clustering the directions and magnitudes of weight vectors in LLaMA-2-7B, the accuracy drop of zero-shot tasks are 46.5\% and 2.3\%, respectively. This gap even increases with the reduction of clustering centers. Further, Euclidean distance, a common metric to access vector similarities in current VQ works, places greater emphasis on reducing the magnitude error. This property is contrary to the above finding, unavoidably leading to larger quantization errors. To these ends, this paper proposes Polar Coordinate Decoupled Vector Quantization (PCDVQ), an effective and efficient VQ framework consisting of two key modules: 1) Polar Coordinate Decoupling (PCD), which transforms vectors into their polar coordinate representations and perform independent quantization of the direction and magnitude parameters.2) Distribution Aligned Codebook Construction (DACC), which optimizes the direction and magnitude codebooks in accordance with the source distribution. Experimental results show that PCDVQ outperforms baseline methods at 2-bit level by at least 1.5\% zero-shot accuracy, establishing a novel paradigm for accurate and highly compressed LLMs.
Abstract:Large Language Models (LLMs) achieve impressive reasoning capabilities at the cost of substantial inference overhead, posing substantial deployment challenges. Although distilled Small Language Models (SLMs) significantly enhance efficiency, their performance suffers as they fail to follow LLMs' reasoning paths. Luckily, we reveal that only a small fraction of tokens genuinely diverge reasoning paths between LLMs and SLMs. Most generated tokens are either identical or exhibit neutral differences, such as minor variations in abbreviations or expressions. Leveraging this insight, we introduce **Roads to Rome (R2R)**, a neural token routing method that selectively utilizes LLMs only for these critical, path-divergent tokens, while leaving the majority of token generation to the SLM. We also develop an automatic data generation pipeline that identifies divergent tokens and generates token-level routing labels to train the lightweight router. We apply R2R to combine R1-1.5B and R1-32B models from the DeepSeek family, and evaluate on challenging math, coding, and QA benchmarks. With an average activated parameter size of 5.6B, R2R surpasses the average accuracy of R1-7B by 1.6x, outperforming even the R1-14B model. Compared to R1-32B, it delivers a 2.8x wall-clock speedup with comparable performance, advancing the Pareto frontier of test-time scaling efficiency. Our code is available at https://github.com/thu-nics/R2R.




Abstract:Mixture-of-Experts (MoE) models face deployment challenges due to their large parameter counts and computational demands. We explore quantization for MoE models and highlight two key insights: 1) linear blocks exhibit varying quantization sensitivity, and 2) divergent expert activation frequencies create heterogeneous computational characteristics. Based on these observations, we introduce MxMoE, a mixed-precision optimization framework for MoE models that considers both algorithmic and system perspectives. MxMoE navigates the design space defined by parameter sensitivity, expert activation dynamics, and hardware resources to derive efficient mixed-precision configurations. Additionally, MxMoE automatically generates optimized mixed-precision GroupGEMM kernels, enabling parallel execution of GEMMs with different precisions. Evaluations show that MxMoE outperforms existing methods, achieving 2.4 lower Wikitext-2 perplexity than GPTQ at 2.25-bit and delivering up to 3.4x speedup over full precision, as well as up to 29.4% speedup over uniform quantization at equivalent accuracy with 5-bit weight-activation quantization. Our code is available at https://github.com/cat538/MxMoE.




Abstract:Mixture-of-Experts (MoE) large language models (LLMs), which leverage dynamic routing and sparse activation to enhance efficiency and scalability, have achieved higher performance while reducing computational costs. However, these models face significant memory overheads, limiting their practical deployment and broader adoption. Post-training quantization (PTQ), a widely used method for compressing LLMs, encounters severe accuracy degradation and diminished generalization performance when applied to MoE models. This paper investigates the impact of MoE's sparse and dynamic characteristics on quantization and identifies two primary challenges: (1) Inter-expert imbalance, referring to the uneven distribution of samples across experts, which leads to insufficient and biased calibration for less frequently utilized experts; (2) Intra-expert imbalance, arising from MoE's unique aggregation mechanism, which leads to varying degrees of correlation between different samples and their assigned experts. To address these challenges, we propose MoEQuant, a novel quantization framework tailored for MoE LLMs. MoE-Quant includes two novel techniques: 1) Expert-Balanced Self-Sampling (EBSS) is an efficient sampling method that efficiently constructs a calibration set with balanced expert distributions by leveraging the cumulative probabilities of tokens and expert balance metrics as guiding factors. 2) Affinity-Guided Quantization (AGQ), which incorporates affinities between experts and samples into the quantization process, thereby accurately assessing the impact of individual samples on different experts within the MoE layer. Experiments demonstrate that MoEQuant achieves substantial performance gains (more than 10 points accuracy gain in the HumanEval for DeepSeekMoE-16B under 4-bit quantization) and boosts efficiency.