Abstract:Image-to-image translation models have achieved notable success in converting images across visual domains and are increasingly used for medical tasks such as predicting post-operative outcomes and modeling disease progression. However, most existing methods primarily aim to match the target distribution and often neglect spatial correspondences between the source and translated images. This limitation can lead to structural inconsistencies and hallucinations, undermining the reliability and interpretability of the predictions. These challenges are accentuated in clinical applications by the stringent requirement for anatomical accuracy. In this work, we present TraceTrans, a novel deformable image translation model designed for post-operative prediction that generates images aligned with the target distribution while explicitly revealing spatial correspondences with the pre-operative input. The framework employs an encoder for feature extraction and dual decoders for predicting spatial deformations and synthesizing the translated image. The predicted deformation field imposes spatial constraints on the generated output, ensuring anatomical consistency with the source. Extensive experiments on medical cosmetology and brain MRI datasets demonstrate that TraceTrans delivers accurate and interpretable post-operative predictions, highlighting its potential for reliable clinical deployment.
Abstract:Generalizable Image Super-Resolution aims to enhance model generalization capabilities under unknown degradations. To achieve this goal, the models are expected to focus only on image content-related features instead of overfitting degradations. Recently, numerous approaches such as Dropout and Feature Alignment have been proposed to suppress models' natural tendency to overfit degradations and yield promising results. Nevertheless, these works have assumed that models overfit to all degradation types (e.g., blur, noise, JPEG), while through careful investigations in this paper, we discover that models predominantly overfit to noise, largely attributable to its distinct degradation pattern compared to other degradation types. In this paper, we propose a targeted feature denoising framework, comprising noise detection and denoising modules. Our approach presents a general solution that can be seamlessly integrated with existing super-resolution models without requiring architectural modifications. Our framework demonstrates superior performance compared to previous regularization-based methods across five traditional benchmarks and datasets, encompassing both synthetic and real-world scenarios.
Abstract:Large Language Models (LLMs) have demonstrated impressive performance in executing complex reasoning tasks. Chain-of-thought effectively enhances reasoning capabilities by unlocking the potential of large models, while multi-agent systems provide more comprehensive solutions by integrating collective intelligence of multiple agents. However, both approaches face significant limitations. Single-agent with chain-of-thought, due to the inherent complexity of designing cross-domain prompts, faces collaboration challenges. Meanwhile, multi-agent systems consume substantial tokens and inevitably dilute the primary problem, which is particularly problematic in business workflow tasks. To address these challenges, we propose Cochain, a collaboration prompting framework that effectively solves business workflow collaboration problem by combining knowledge and prompts at a reduced cost. Specifically, we construct an integrated knowledge graph that incorporates knowledge from multiple stages. Furthermore, by maintaining and retrieving a prompts tree, we can obtain prompt information relevant to other stages of the business workflow. We perform extensive evaluations of Cochain across multiple datasets, demonstrating that Cochain outperforms all baselines in both prompt engineering and multi-agent LLMs. Additionally, expert evaluation results indicate that the use of a small model in combination with Cochain outperforms GPT-4.




Abstract:Spatiotemporal Graph Neural Networks (ST-GNNs) and Transformers have shown significant promise in traffic forecasting by effectively modeling temporal and spatial correlations. However, rapid urbanization in recent years has led to dynamic shifts in traffic patterns and travel demand, posing major challenges for accurate long-term traffic prediction. The generalization capability of ST-GNNs in extended temporal scenarios and cross-city applications remains largely unexplored. In this study, we evaluate state-of-the-art models on an extended traffic benchmark and observe substantial performance degradation in existing ST-GNNs over time, which we attribute to their limited inductive capabilities. Our analysis reveals that this degradation stems from an inability to adapt to evolving spatial relationships within urban environments. To address this limitation, we reconsider the design of adaptive embeddings and propose a Principal Component Analysis (PCA) embedding approach that enables models to adapt to new scenarios without retraining. We incorporate PCA embeddings into existing ST-GNN and Transformer architectures, achieving marked improvements in performance. Notably, PCA embeddings allow for flexibility in graph structures between training and testing, enabling models trained on one city to perform zero-shot predictions on other cities. This adaptability demonstrates the potential of PCA embeddings in enhancing the robustness and generalization of spatiotemporal models.




Abstract:Cloth-Changing Person Re-Identification (CC-ReID) involves recognizing individuals in images regardless of clothing status. In this paper, we empirically and experimentally demonstrate that completely eliminating or fully retaining clothing features is detrimental to the task. Existing work, either relying on clothing labels, silhouettes, or other auxiliary data, fundamentally aim to balance the learning of clothing and identity features. However, we practically find that achieving this balance is challenging and nuanced. In this study, we introduce a novel module called Diverse Norm, which expands personal features into orthogonal spaces and employs channel attention to separate clothing and identity features. A sample re-weighting optimization strategy is also introduced to guarantee the opposite optimization direction. Diverse Norm presents a simple yet effective approach that does not require additional data. Furthermore, Diverse Norm can be seamlessly integrated ResNet50 and significantly outperforms the state-of-the-art methods.




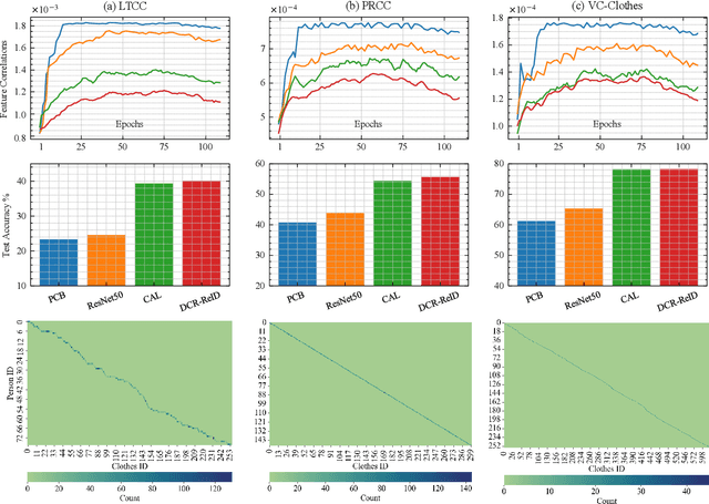
Abstract:Cloth-changing person re-identification (CC-ReID) poses a significant challenge in computer vision. A prevailing approach is to prompt models to concentrate on causal attributes, like facial features and hairstyles, rather than confounding elements such as clothing appearance. Traditional methods to achieve this involve integrating multi-modality data or employing manually annotated clothing labels, which tend to complicate the model and require extensive human effort. In our study, we demonstrate that simply reducing feature correlations during training can significantly enhance the baseline model's performance. We theoretically elucidate this effect and introduce a novel regularization technique based on density ratio estimation. This technique aims to minimize feature correlation in the training process of cloth-changing ReID baselines. Our approach is model-independent, offering broad enhancements without needing additional data or labels. We validate our method through comprehensive experiments on prevalent CC-ReID datasets, showing its effectiveness in improving baseline models' generalization capabilities.




Abstract:Traffic forecasting is a cornerstone of smart city management, enabling efficient resource allocation and transportation planning. Deep learning, with its ability to capture complex nonlinear patterns in spatiotemporal (ST) data, has emerged as a powerful tool for traffic forecasting. While graph neural networks (GCNs) and transformer-based models have shown promise, their computational demands often hinder their application to real-world road networks, particularly those with large-scale spatiotemporal interactions. To address these challenges, we propose a novel spatiotemporal graph transformer (STGformer) architecture. STGformer effectively balances the strengths of GCNs and Transformers, enabling efficient modeling of both global and local traffic patterns while maintaining a manageable computational footprint. Unlike traditional approaches that require multiple attention layers, STG attention block captures high-order spatiotemporal interactions in a single layer, significantly reducing computational cost. In particular, STGformer achieves a 100x speedup and a 99.8\% reduction in GPU memory usage compared to STAEformer during batch inference on a California road graph with 8,600 sensors. We evaluate STGformer on the LargeST benchmark and demonstrate its superiority over state-of-the-art Transformer-based methods such as PDFormer and STAEformer, which underline STGformer's potential to revolutionize traffic forecasting by overcoming the computational and memory limitations of existing approaches, making it a promising foundation for future spatiotemporal modeling tasks.




Abstract:Recent advancements in Spatiotemporal Graph Neural Networks (ST-GNNs) and Transformers have demonstrated promising potential for traffic forecasting by effectively capturing both temporal and spatial correlations. The generalization ability of spatiotemporal models has received considerable attention in recent scholarly discourse. However, no substantive datasets specifically addressing traffic out-of-distribution (OOD) scenarios have been proposed. Existing ST-OOD methods are either constrained to testing on extant data or necessitate manual modifications to the dataset. Consequently, the generalization capacity of current spatiotemporal models in OOD scenarios remains largely underexplored. In this paper, we investigate state-of-the-art models using newly proposed traffic OOD benchmarks and, surprisingly, find that these models experience a significant decline in performance. Through meticulous analysis, we attribute this decline to the models' inability to adapt to previously unobserved spatial relationships. To address this challenge, we propose a novel Mixture of Experts (MoE) framework, which learns a set of graph generators (i.e., graphons) during training and adaptively combines them to generate new graphs based on novel environmental conditions to handle spatial distribution shifts during testing. We further extend this concept to the Transformer architecture, achieving substantial improvements. Our method is both parsimonious and efficacious, and can be seamlessly integrated into any spatiotemporal model, outperforming current state-of-the-art approaches in addressing spatial dynamics.




Abstract:Training models on spatio-temporal (ST) data poses an open problem due to the complicated and diverse nature of the data itself, and it is challenging to ensure the model's performance directly trained on the original ST data. While limiting the variety of training data can make training easier, it can also lead to a lack of knowledge and information for the model, resulting in a decrease in performance. To address this challenge, we presented an innovative paradigm that incorporates three separate forms of curriculum learning specifically targeting from spatial, temporal, and quantile perspectives. Furthermore, our framework incorporates a stacking fusion module to combine diverse information from three types of curriculum learning, resulting in a strong and thorough learning process. We demonstrated the effectiveness of this framework with extensive empirical evaluations, highlighting its better performance in addressing complex ST challenges. We provided thorough ablation studies to investigate the effectiveness of our curriculum and to explain how it contributes to the improvement of learning efficiency on ST data.




Abstract:Traditional invasive Brain-Computer Interfaces (iBCIs) typically depend on neural decoding processes conducted on workstations within laboratory settings, which prevents their everyday usage. Implementing these decoding processes on edge devices, such as the wearables, introduces considerable challenges related to computational demands, processing speed, and maintaining accuracy. This study seeks to identify an optimal neural decoding backbone that boasts robust performance and swift inference capabilities suitable for edge deployment. We executed a series of neural decoding experiments involving nonhuman primates engaged in random reaching tasks, evaluating four prospective models, Gated Recurrent Unit (GRU), Transformer, Receptance Weighted Key Value (RWKV), and Selective State Space model (Mamba), across several metrics: single-session decoding, multi-session decoding, new session fine-tuning, inference speed, calibration speed, and scalability. The findings indicate that although the GRU model delivers sufficient accuracy, the RWKV and Mamba models are preferable due to their superior inference and calibration speeds. Additionally, RWKV and Mamba comply with the scaling law, demonstrating improved performance with larger data sets and increased model sizes, whereas GRU shows less pronounced scalability, and the Transformer model requires computational resources that scale prohibitively. This paper presents a thorough comparative analysis of the four models in various scenarios. The results are pivotal in pinpointing an optimal backbone that can handle increasing data volumes and is viable for edge implementation. This analysis provides essential insights for ongoing research and practical applications in the field.