Abstract:Generative large language models (LLMs) have been demonstrated to have gaps in diverse, cultural knowledge across the globe. We investigate the effect of retrieval augmented generation and search-grounding techniques on the ability of LLMs to display familiarity with a diverse range of national cultures. Specifically, we compare the performance of standard LLMs, LLMs augmented with retrievals from a bespoke knowledge base (i.e., KB grounding), and LLMs augmented with retrievals from a web search (i.e., search grounding) on a series of cultural familiarity benchmarks. We find that search grounding significantly improves the LLM performance on multiple-choice benchmarks that test propositional knowledge (e.g., the norms, artifacts, and institutions of national cultures), while KB grounding's effectiveness is limited by inadequate knowledge base coverage and a suboptimal retriever. However, search grounding also increases the risk of stereotypical judgments by language models, while failing to improve evaluators' judgments of cultural familiarity in a human evaluation with adequate statistical power. These results highlight the distinction between propositional knowledge about a culture and open-ended cultural fluency when it comes to evaluating the cultural familiarity of generative LLMs.




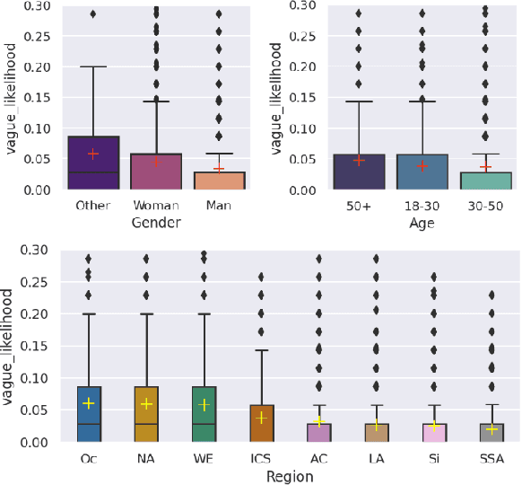
Abstract:Large language models are increasingly being integrated into applications that shape the production and discovery of societal knowledge such as search, online education, and travel planning. As a result, language models will shape how people learn about, perceive and interact with global cultures making it important to consider whose knowledge systems and perspectives are represented in models. Recognizing this importance, increasingly work in Machine Learning and NLP has focused on evaluating gaps in global cultural representational distribution within outputs. However, more work is needed on developing benchmarks for cross-cultural impacts of language models that stem from a nuanced sociologically-aware conceptualization of cultural impact or harm. We join this line of work arguing for the need of metricizable evaluations of language technologies that interrogate and account for historical power inequities and differential impacts of representation on global cultures, particularly for cultures already under-represented in the digital corpora. We look at two concepts of erasure: omission: where cultures are not represented at all and simplification i.e. when cultural complexity is erased by presenting one-dimensional views of a rich culture. The former focuses on whether something is represented, and the latter on how it is represented. We focus our analysis on two task contexts with the potential to influence global cultural production. First, we probe representations that a language model produces about different places around the world when asked to describe these contexts. Second, we analyze the cultures represented in the travel recommendations produced by a set of language model applications. Our study shows ways in which the NLP community and application developers can begin to operationalize complex socio-cultural considerations into standard evaluations and benchmarks.




Abstract:AI systems crucially rely on human ratings, but these ratings are often aggregated, obscuring the inherent diversity of perspectives in real-world phenomenon. This is particularly concerning when evaluating the safety of generative AI, where perceptions and associated harms can vary significantly across socio-cultural contexts. While recent research has studied the impact of demographic differences on annotating text, there is limited understanding of how these subjective variations affect multimodal safety in generative AI. To address this, we conduct a large-scale study employing highly-parallel safety ratings of about 1000 text-to-image (T2I) generations from a demographically diverse rater pool of 630 raters balanced across 30 intersectional groups across age, gender, and ethnicity. Our study shows that (1) there are significant differences across demographic groups (including intersectional groups) on how severe they assess the harm to be, and that these differences vary across different types of safety violations, (2) the diverse rater pool captures annotation patterns that are substantially different from expert raters trained on specific set of safety policies, and (3) the differences we observe in T2I safety are distinct from previously documented group level differences in text-based safety tasks. To further understand these varying perspectives, we conduct a qualitative analysis of the open-ended explanations provided by raters. This analysis reveals core differences into the reasons why different groups perceive harms in T2I generations. Our findings underscore the critical need for incorporating diverse perspectives into safety evaluation of generative AI ensuring these systems are truly inclusive and reflect the values of all users.




Abstract:Text-to-Image (T2I) models are being increasingly adopted in diverse global communities where they create visual representations of their unique cultures. Current T2I benchmarks primarily focus on faithfulness, aesthetics, and realism of generated images, overlooking the critical dimension of cultural competence. In this work, we introduce a framework to evaluate cultural competence of T2I models along two crucial dimensions: cultural awareness and cultural diversity, and present a scalable approach using a combination of structured knowledge bases and large language models to build a large dataset of cultural artifacts to enable this evaluation. In particular, we apply this approach to build CUBE (CUltural BEnchmark for Text-to-Image models), a first-of-its-kind benchmark to evaluate cultural competence of T2I models. CUBE covers cultural artifacts associated with 8 countries across different geo-cultural regions and along 3 concepts: cuisine, landmarks, and art. CUBE consists of 1) CUBE-1K, a set of high-quality prompts that enable the evaluation of cultural awareness, and 2) CUBE-CSpace, a larger dataset of cultural artifacts that serves as grounding to evaluate cultural diversity. We also introduce cultural diversity as a novel T2I evaluation component, leveraging quality-weighted Vendi score. Our evaluations reveal significant gaps in the cultural awareness of existing models across countries and provide valuable insights into the cultural diversity of T2I outputs for under-specified prompts. Our methodology is extendable to other cultural regions and concepts, and can facilitate the development of T2I models that better cater to the global population.




Abstract:While human annotations play a crucial role in language technologies, annotator subjectivity has long been overlooked in data collection. Recent studies that have critically examined this issue are often situated in the Western context, and solely document differences across age, gender, or racial groups. As a result, NLP research on subjectivity have overlooked the fact that individuals within demographic groups may hold diverse values, which can influence their perceptions beyond their group norms. To effectively incorporate these considerations into NLP pipelines, we need datasets with extensive parallel annotations from various social and cultural groups. In this paper we introduce the \dataset dataset: a large-scale cross-cultural dataset of parallel annotations for offensive language in over 4.5K sentences annotated by a pool of over 4k annotators, balanced across gender and age, from across 21 countries, representing eight geo-cultural regions. The dataset contains annotators' moral values captured along six moral foundations: care, equality, proportionality, authority, loyalty, and purity. Our analyses reveal substantial regional variations in annotators' perceptions that are shaped by individual moral values, offering crucial insights for building pluralistic, culturally sensitive NLP models.




Abstract:LLMs are increasingly transforming our digital ecosystem, but they often inherit societal biases learned from their training data, for instance stereotypes associating certain attributes with specific identity groups. While whether and how these biases are mitigated may depend on the specific use cases, being able to effectively detect instances of stereotype perpetuation is a crucial first step. Current methods to assess presence of stereotypes in generated language rely on simple template or co-occurrence based measures, without accounting for the variety of sentential contexts they manifest in. We argue that understanding the sentential context is crucial for detecting instances of generalization. We distinguish two types of generalizations: (1) language that merely mentions the presence of a generalization ("people think the French are very rude"), and (2) language that reinforces such a generalization ("as French they must be rude"), from non-generalizing context ("My French friends think I am rude"). For meaningful stereotype evaluations, we need to reliably distinguish such instances of generalizations. We introduce the new task of detecting generalization in language, and build GeniL, a multilingual dataset of over 50K sentences from 9 languages (English, Arabic, Bengali, Spanish, French, Hindi, Indonesian, Malay, and Portuguese) annotated for instances of generalizations. We demonstrate that the likelihood of a co-occurrence being an instance of generalization is usually low, and varies across different languages, identity groups, and attributes. We build classifiers to detect generalization in language with an overall PR-AUC of 58.7, with varying degrees of performance across languages. Our research provides data and tools to enable a nuanced understanding of stereotype perpetuation, a crucial step towards more inclusive and responsible language technologies.




Abstract:While generative multilingual models are rapidly being deployed, their safety and fairness evaluations are largely limited to resources collected in English. This is especially problematic for evaluations targeting inherently socio-cultural phenomena such as stereotyping, where it is important to build multi-lingual resources that reflect the stereotypes prevalent in respective language communities. However, gathering these resources, at scale, in varied languages and regions pose a significant challenge as it requires broad socio-cultural knowledge and can also be prohibitively expensive. To overcome this critical gap, we employ a recently introduced approach that couples LLM generations for scale with culturally situated validations for reliability, and build SeeGULL Multilingual, a global-scale multilingual dataset of social stereotypes, containing over 25K stereotypes, spanning 20 languages, with human annotations across 23 regions, and demonstrate its utility in identifying gaps in model evaluations. Content warning: Stereotypes shared in this paper can be offensive.




Abstract:Recent studies have highlighted the issue of stereotypical depictions for people of different identity groups in Text-to-Image (T2I) model generations. However, these existing approaches have several key limitations, including a noticeable lack of coverage of global identity groups in their evaluation, and the range of their associated stereotypes. Additionally, they often lack a critical distinction between inherently visual stereotypes, such as `underweight' or `sombrero', and culturally dependent stereotypes like `attractive' or `terrorist'. In this work, we address these limitations with a multifaceted approach that leverages existing textual resources to ground our evaluation of geo-cultural stereotypes in the generated images from T2I models. We employ existing stereotype benchmarks to identify and evaluate visual stereotypes at a global scale, spanning 135 nationality-based identity groups. We demonstrate that stereotypical attributes are thrice as likely to be present in images of these identities as compared to other attributes. We further investigate how disparately offensive the depictions of generated images are for different nationalities. Finally, through a detailed case study, we reveal how the 'default' representations of all identity groups have a stereotypical appearance. Moreover, for the Global South, images across different attributes are visually similar, even when explicitly prompted otherwise. CONTENT WARNING: Some examples may contain offensive stereotypes.




Abstract:Perception of offensiveness is inherently subjective, shaped by the lived experiences and socio-cultural values of the perceivers. Recent years have seen substantial efforts to build AI-based tools that can detect offensive language at scale, as a means to moderate social media platforms, and to ensure safety of conversational AI technologies such as ChatGPT and Bard. However, existing approaches treat this task as a technical endeavor, built on top of data annotated for offensiveness by a global crowd workforce without any attention to the crowd workers' provenance or the values their perceptions reflect. We argue that cultural and psychological factors play a vital role in the cognitive processing of offensiveness, which is critical to consider in this context. We re-frame the task of determining offensiveness as essentially a matter of moral judgment -- deciding the boundaries of ethically wrong vs. right language within an implied set of socio-cultural norms. Through a large-scale cross-cultural study based on 4309 participants from 21 countries across 8 cultural regions, we demonstrate substantial cross-cultural differences in perceptions of offensiveness. More importantly, we find that individual moral values play a crucial role in shaping these variations: moral concerns about Care and Purity are significant mediating factors driving cross-cultural differences. These insights are of crucial importance as we build AI models for the pluralistic world, where the values they espouse should aim to respect and account for moral values in diverse geo-cultural contexts.
Abstract:The unstructured nature of data used in foundation model development is a challenge to systematic analyses for making data use and documentation decisions. From a Responsible AI perspective, these decisions often rely upon understanding how people are represented in data. We propose a framework designed to guide analysis of human representation in unstructured data and identify downstream risks. We apply the framework in two toy examples using the Common Crawl web text corpus (C4) and LAION-400M. We also propose a set of hypothetical action steps in service of dataset use, development, and documentation.