Abstract:OpenAI's ChatGPT Atlas introduces new capabilities for web interaction, enabling the model to analyze webpages, process user intents, and execute cursor and keyboard inputs directly within the browser. While its capacity for information retrieval tasks has been demonstrated, its performance in dynamic, interactive environments remains less explored. In this study, we conduct an early evaluation of Atlas's web interaction capabilities using browser-based games as test scenarios, including Google's T-Rex Runner, Sudoku, Flappy Bird, and Stein.world. We employ in-game performance scores as quantitative metrics to assess performance across different task types. Our results show that Atlas performs strongly in logical reasoning tasks like Sudoku, completing puzzles significantly faster than human baselines, but struggles substantially in real-time games requiring precise timing and motor control, often failing to progress beyond initial obstacles. These findings suggest that while Atlas demonstrates capable analytical processing, there remain notable limitations in dynamic web environments requiring real-time interaction. The website of our project can be found at https://atlas-game-eval.github.io.
Abstract:With the breakthrough progress of large language models (LLMs) in natural language processing and multimodal tasks, efficiently deploying them on resource-constrained edge devices has become a critical challenge. The Mixture of Experts (MoE) architecture enhances model capacity through sparse activation, but faces two major difficulties in practical deployment: (1) The presence of numerous outliers in activation distributions leads to severe degradation in quantization accuracy for both activations and weights, significantly impairing inference performance; (2) Under limited memory, efficient offloading and collaborative inference of expert modules struggle to balance latency and throughput. To address these issues, this paper proposes an efficient MoE edge deployment scheme based on Hessian-Aware Quantization (HAQ) and CPU-GPU collaborative inference. First, by introducing smoothed Hessian matrix quantization, we achieve joint 8-bit quantization of activations and weights, which significantly alleviates the accuracy loss caused by outliers while ensuring efficient implementation on mainstream hardware. Second, we design an expert-level collaborative offloading and inference mechanism, which, combined with expert activation path statistics, enables efficient deployment and scheduling of expert modules between CPU and GPU, greatly reducing memory footprint and inference latency. Extensive experiments validate the effectiveness of our method on mainstream large models such as the OPT series and Mixtral 8*7B: on datasets like Wikitext2 and C4, the inference accuracy of the low-bit quantized model approaches that of the full-precision model, while GPU memory usage is reduced by about 60%, and inference latency is significantly improved.
Abstract:Relational databases (RDBs) have become the industry standard for storing massive and heterogeneous data. However, despite the widespread use of RDBs across various fields, the inherent structure of relational databases hinders their ability to benefit from flourishing deep learning methods. Previous research has primarily focused on exploiting the unary dependency among multiple tables in a relational database using the primary key - foreign key relationships, either joining multiple tables into a single table or constructing a graph among them, which leaves the implicit composite relations among different tables and a substantial potential of improvement for predictive modeling unexplored. In this paper, we propose SRP, a unified predictive modeling framework that synthesizes features using the unary dependency, retrieves related information to capture the composite dependency, and propagates messages across a constructed graph to learn adjacent patterns for prediction on relation databases. By introducing a new retrieval mechanism into RDB, SRP is designed to fully capture both the unary and the composite dependencies within a relational database, thereby enhancing the receptive field of tabular data prediction. In addition, we conduct a comprehensive analysis on the components of SRP, offering a nuanced understanding of model behaviors and practical guidelines for future applications. Extensive experiments on five real-world datasets demonstrate the effectiveness of SRP and its potential applicability in industrial scenarios. The code is released at https://github.com/NingLi670/SRP.




Abstract:Dataset distillation has demonstrated remarkable effectiveness in high-compression scenarios for image datasets. While video datasets inherently contain greater redundancy, existing video dataset distillation methods primarily focus on compression in the pixel space, overlooking advances in the latent space that have been widely adopted in modern text-to-image and text-to-video models. In this work, we bridge this gap by introducing a novel video dataset distillation approach that operates in the latent space using a state-of-the-art variational encoder. Furthermore, we employ a diversity-aware data selection strategy to select both representative and diverse samples. Additionally, we introduce a simple, training-free method to further compress the distilled latent dataset. By combining these techniques, our approach achieves a new state-of-the-art performance in dataset distillation, outperforming prior methods on all datasets, e.g. on HMDB51 IPC 1, we achieve a 2.6% performance increase; on MiniUCF IPC 5, we achieve a 7.8% performance increase.
Abstract:The rapid development of large language models (LLMs) has led to the widespread deployment of LLM agents across diverse industries, including customer service, content generation, data analysis, and even healthcare. However, as more LLM agents are deployed, a major issue has emerged: there is no standard way for these agents to communicate with external tools or data sources. This lack of standardized protocols makes it difficult for agents to work together or scale effectively, and it limits their ability to tackle complex, real-world tasks. A unified communication protocol for LLM agents could change this. It would allow agents and tools to interact more smoothly, encourage collaboration, and triggering the formation of collective intelligence. In this paper, we provide a systematic overview of existing communication protocols for LLM agents. We classify them into four main categories and make an analysis to help users and developers select the most suitable protocols for specific applications. Additionally, we conduct a comparative performance analysis of these protocols across key dimensions such as security, scalability, and latency. Finally, we explore future challenges, such as how protocols can adapt and survive in fast-evolving environments, and what qualities future protocols might need to support the next generation of LLM agent ecosystems. We expect this work to serve as a practical reference for both researchers and engineers seeking to design, evaluate, or integrate robust communication infrastructures for intelligent agents.
Abstract:Retrieval-Augmented Generation (RAG) enhances Large Language Models (LLMs) by retrieving relevant document from external knowledge sources. By referencing this external knowledge, RAG effectively reduces the generation of factually incorrect content and addresses hallucination issues within LLMs. Recently, there has been growing attention to improving the performance and efficiency of RAG systems from various perspectives. While these advancements have yielded significant results, the application of RAG in domains with considerable societal implications raises a critical question about fairness: What impact does the introduction of the RAG paradigm have on the fairness of LLMs? To address this question, we conduct extensive experiments by varying the LLMs, retrievers, and retrieval sources. Our experimental analysis reveals that the scale of the LLMs plays a significant role in influencing fairness outcomes within the RAG framework. When the model scale is smaller than 8B, the integration of retrieval mechanisms often exacerbates unfairness in small-scale LLMs (e.g., LLaMA3.2-1B, Mistral-7B, and LLaMA3-8B). To mitigate the fairness issues introduced by RAG for small-scale LLMs, we propose two approaches, FairFT and FairFilter. Specifically, in FairFT, we align the retriever with the LLM in terms of fairness, enabling it to retrieve documents that facilitate fairer model outputs. In FairFilter, we propose a fairness filtering mechanism to filter out biased content after retrieval. Finally, we validate our proposed approaches on real-world datasets, demonstrating their effectiveness in improving fairness while maintaining performance.
Abstract:The rise of customized diffusion models has spurred a boom in personalized visual content creation, but also poses risks of malicious misuse, severely threatening personal privacy and copyright protection. Some studies show that the aesthetic properties of images are highly positively correlated with human perception of image quality. Inspired by this, we approach the problem from a novel and intriguing aesthetic perspective to degrade the generation quality of maliciously customized models, thereby achieving better protection of facial identity. Specifically, we propose a Hierarchical Anti-Aesthetic (HAA) framework to fully explore aesthetic cues, which consists of two key branches: 1) Global Anti-Aesthetics: By establishing a global anti-aesthetic reward mechanism and a global anti-aesthetic loss, it can degrade the overall aesthetics of the generated content; 2) Local Anti-Aesthetics: A local anti-aesthetic reward mechanism and a local anti-aesthetic loss are designed to guide adversarial perturbations to disrupt local facial identity. By seamlessly integrating both branches, our HAA effectively achieves the goal of anti-aesthetics from a global to a local level during customized generation. Extensive experiments show that HAA outperforms existing SOTA methods largely in identity removal, providing a powerful tool for protecting facial privacy and copyright.
Abstract:OpenAI's multimodal GPT-4o has demonstrated remarkable capabilities in image generation and editing, yet its ability to achieve world knowledge-informed semantic synthesis--seamlessly integrating domain knowledge, contextual reasoning, and instruction adherence--remains unproven. In this study, we systematically evaluate these capabilities across three critical dimensions: (1) Global Instruction Adherence, (2) Fine-Grained Editing Precision, and (3) Post-Generation Reasoning. While existing benchmarks highlight GPT-4o's strong capabilities in image generation and editing, our evaluation reveals GPT-4o's persistent limitations: the model frequently defaults to literal interpretations of instructions, inconsistently applies knowledge constraints, and struggles with conditional reasoning tasks. These findings challenge prevailing assumptions about GPT-4o's unified understanding and generation capabilities, exposing significant gaps in its dynamic knowledge integration. Our study calls for the development of more robust benchmarks and training strategies that go beyond surface-level alignment, emphasizing context-aware and reasoning-grounded multimodal generation.




Abstract:Facial recognition systems are vulnerable to physical (e.g., printed photos) and digital (e.g., DeepFake) face attacks. Existing methods struggle to simultaneously detect physical and digital attacks due to: 1) significant intra-class variations between these attack types, and 2) the inadequacy of spatial information alone to comprehensively capture live and fake cues. To address these issues, we propose a unified attack detection model termed Frequency-Aware and Attack-Agnostic CLIP (FA\textsuperscript{3}-CLIP), which introduces attack-agnostic prompt learning to express generic live and fake cues derived from the fusion of spatial and frequency features, enabling unified detection of live faces and all categories of attacks. Specifically, the attack-agnostic prompt module generates generic live and fake prompts within the language branch to extract corresponding generic representations from both live and fake faces, guiding the model to learn a unified feature space for unified attack detection. Meanwhile, the module adaptively generates the live/fake conditional bias from the original spatial and frequency information to optimize the generic prompts accordingly, reducing the impact of intra-class variations. We further propose a dual-stream cues fusion framework in the vision branch, which leverages frequency information to complement subtle cues that are difficult to capture in the spatial domain. In addition, a frequency compression block is utilized in the frequency stream, which reduces redundancy in frequency features while preserving the diversity of crucial cues. We also establish new challenging protocols to facilitate unified face attack detection effectiveness. Experimental results demonstrate that the proposed method significantly improves performance in detecting physical and digital face attacks, achieving state-of-the-art results.




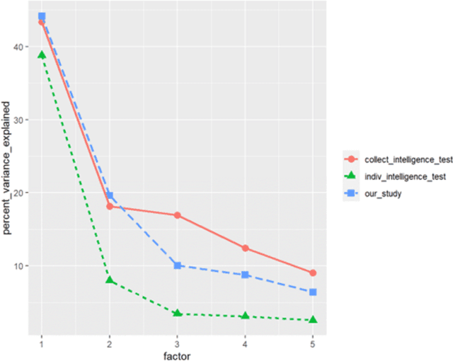
Abstract:This research addresses the growing need to measure and understand AI literacy in the context of generative AI technologies. Through three sequential studies involving a total of 517 participants, we establish AI literacy as a coherent, measurable construct with significant implications for education, workforce development, and social equity. Study 1 (N=85) revealed a dominant latent factor - termed the "A-factor" - that accounts for 44.16% of variance across diverse AI interaction tasks. Study 2 (N=286) refined the measurement tool by examining four key dimensions of AI literacy: communication effectiveness, creative idea generation, content evaluation, and step-by-step collaboration, resulting in an 18-item assessment battery. Study 3 (N=146) validated this instrument in a controlled laboratory setting, demonstrating its predictive validity for real-world task performance. Results indicate that AI literacy significantly predicts performance on complex, language-based creative tasks but shows domain specificity in its predictive power. Additionally, regression analyses identified several significant predictors of AI literacy, including cognitive abilities (IQ), educational background, prior AI experience, and training history. The multidimensional nature of AI literacy and its distinct factor structure provide evidence that effective human-AI collaboration requires a combination of general and specialized abilities. These findings contribute to theoretical frameworks of human-AI collaboration while offering practical guidance for developing targeted educational interventions to promote equitable access to the benefits of generative AI technologies.