Abstract:Probes trained on model activations can detect undesirable behaviors like deception or biases that are difficult to identify from outputs alone. This makes them useful detectors to identify misbehavior. Furthermore, they are also valuable training signals, since they not only reward outputs, but also good internal processes for arriving at that output. However, training against interpretability tools raises a fundamental concern: when a monitor becomes a training target, it may cease to be reliable (Goodhart's Law). We propose two methods for training against probes based on Supervised Fine-tuning and Direct Preference Optimization. We conduct an initial exploration of these methods in a testbed for reducing toxicity and evaluate the amount by which probe accuracy drops when training against them. To retain the accuracy of probe-detectors after training, we attempt (1) to train against an ensemble of probes, (2) retain held-out probes that aren't used for training, and (3) retrain new probes after training. First, probe-based preference optimization unexpectedly preserves probe detectability better than classifier-based methods, suggesting the preference learning objective incentivizes maintaining rather than obfuscating relevant representations. Second, probe diversity provides minimal practical benefit - simply retraining probes after optimization recovers high detection accuracy. Our findings suggest probe-based training can be viable for certain alignment methods, though probe ensembles are largely unnecessary when retraining is feasible.




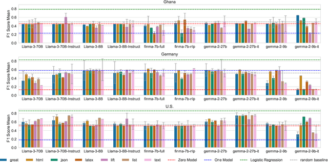
Abstract:Large Language Models (LLMs) are increasingly employed in high-stakes decision-making tasks, such as loan approvals. While their applications expand across domains, LLMs struggle to process tabular data, ensuring fairness and delivering reliable predictions. In this work, we assess the performance and fairness of LLMs on serialized loan approval datasets from three geographically distinct regions: Ghana, Germany, and the United States. Our evaluation focuses on the model's zero-shot and in-context learning (ICL) capabilities. Our results reveal that the choice of serialization (Serialization refers to the process of converting tabular data into text formats suitable for processing by LLMs.) format significantly affects both performance and fairness in LLMs, with certain formats such as GReat and LIFT yielding higher F1 scores but exacerbating fairness disparities. Notably, while ICL improved model performance by 4.9-59.6% relative to zero-shot baselines, its effect on fairness varied considerably across datasets. Our work underscores the importance of effective tabular data representation methods and fairness-aware models to improve the reliability of LLMs in financial decision-making.
Abstract:The generalization of deepfake detectors to unseen manipulation techniques remains a challenge for practical deployment. Although many approaches adapt foundation models by introducing significant architectural complexity, this work demonstrates that robust generalization is achievable through a parameter-efficient adaptation of a pre-trained CLIP vision encoder. The proposed method, LNCLIP-DF, fine-tunes only the Layer Normalization parameters (0.03% of the total) and enhances generalization by enforcing a hyperspherical feature manifold using L2 normalization and latent space augmentations. We conducted an extensive evaluation on 13 benchmark datasets spanning from 2019 to 2025. The proposed method achieves state-of-the-art performance, outperforming more complex, recent approaches in average cross-dataset AUROC. Our analysis yields two primary findings for the field: 1) training on paired real-fake data from the same source video is essential for mitigating shortcut learning and improving generalization, and 2) detection difficulty on academic datasets has not strictly increased over time, with models trained on older, diverse datasets showing strong generalization capabilities. This work delivers a computationally efficient and reproducible method, proving that state-of-the-art generalization is attainable by making targeted, minimal changes to a pre-trained CLIP model. The code will be made publicly available upon acceptance.
Abstract:Post-hoc attribution methods aim to explain deep learning predictions by highlighting influential input pixels. However, these explanations are highly non-robust: small, imperceptible input perturbations can drastically alter the attribution map while maintaining the same prediction. This vulnerability undermines their trustworthiness and calls for rigorous robustness guarantees of pixel-level attribution scores. We introduce the first certification framework that guarantees pixel-level robustness for any black-box attribution method using randomized smoothing. By sparsifying and smoothing attribution maps, we reformulate the task as a segmentation problem and certify each pixel's importance against $\ell_2$-bounded perturbations. We further propose three evaluation metrics to assess certified robustness, localization, and faithfulness. An extensive evaluation of 12 attribution methods across 5 ImageNet models shows that our certified attributions are robust, interpretable, and faithful, enabling reliable use in downstream tasks. Our code is at https://github.com/AlaaAnani/certified-attributions.
Abstract:Recent advances in Large Language Models (LLMs) have shown promising capabilities in generating code for general-purpose programming languages. In contrast, their applicability for hardware description languages, particularly for generating synthesizable and functionally correct designs, remains significantly underexplored. HDLs such as SystemVerilog are logic-oriented and demand strict adherence to timing semantics, concurrency, and synthesizability constraints. Moreover, HDL-based design flows encompass a broad set of tasks beyond structural code generation, including testbench development, assertion-based verification, timing closure, and protocol-level integration for on-chip communication. The objective of our paper is to analyze the capabilities of state-of-the-art LLMs in generating SystemVerilog implementations of standard communication protocols, a core component of embedded and System-on-Chip (SoC) architectures. This paper introduces the first benchmark suite targeting four widely used protocols: SPI, I2C, UART, and AXI. We define code generation tasks that capture varying levels of design abstraction and prompt specificity. The generated designs are assessed for syntactic correctness, synthesizability, and functional fidelity via waveform simulation and test benches.
Abstract:Model stealing poses a significant security risk in machine learning by enabling attackers to replicate a black-box model without access to its training data, thus jeopardizing intellectual property and exposing sensitive information. Recent methods that use pre-trained diffusion models for data synthesis improve efficiency and performance but rely heavily on manually crafted prompts, limiting automation and scalability, especially for attackers with little expertise. To assess the risks posed by open-source pre-trained models, we propose a more realistic threat model that eliminates the need for prompt design skills or knowledge of class names. In this context, we introduce Stealix, the first approach to perform model stealing without predefined prompts. Stealix uses two open-source pre-trained models to infer the victim model's data distribution, and iteratively refines prompts through a genetic algorithm, progressively improving the precision and diversity of synthetic images. Our experimental results demonstrate that Stealix significantly outperforms other methods, even those with access to class names or fine-grained prompts, while operating under the same query budget. These findings highlight the scalability of our approach and suggest that the risks posed by pre-trained generative models in model stealing may be greater than previously recognized.
Abstract:Ensuring trustworthiness in machine learning (ML) systems is crucial as they become increasingly embedded in high-stakes domains. This paper advocates for the integration of causal methods into machine learning to navigate the trade-offs among key principles of trustworthy ML, including fairness, privacy, robustness, accuracy, and explainability. While these objectives should ideally be satisfied simultaneously, they are often addressed in isolation, leading to conflicts and suboptimal solutions. Drawing on existing applications of causality in ML that successfully align goals such as fairness and accuracy or privacy and robustness, this paper argues that a causal approach is essential for balancing multiple competing objectives in both trustworthy ML and foundation models. Beyond highlighting these trade-offs, we examine how causality can be practically integrated into ML and foundation models, offering solutions to enhance their reliability and interpretability. Finally, we discuss the challenges, limitations, and opportunities in adopting causal frameworks, paving the way for more accountable and ethically sound AI systems.
Abstract:Representation Engineering (RepE) is a novel paradigm for controlling the behavior of LLMs. Unlike traditional approaches that modify inputs or fine-tune the model, RepE directly manipulates the model's internal representations. As a result, it may offer more effective, interpretable, data-efficient, and flexible control over models' behavior. We present the first comprehensive survey of RepE for LLMs, reviewing the rapidly growing literature to address key questions: What RepE methods exist and how do they differ? For what concepts and problems has RepE been applied? What are the strengths and weaknesses of RepE compared to other methods? To answer these, we propose a unified framework describing RepE as a pipeline comprising representation identification, operationalization, and control. We posit that while RepE methods offer significant potential, challenges remain, including managing multiple concepts, ensuring reliability, and preserving models' performance. Towards improving RepE, we identify opportunities for experimental and methodological improvements and construct a guide for best practices.




Abstract:Label Smoothing (LS) is widely adopted to curb overconfidence in neural network predictions and enhance generalization. However, previous research shows that LS can force feature representations into excessively tight clusters, eroding intra-class distinctions. More recent findings suggest that LS also induces overconfidence in misclassifications, yet the precise mechanism remained unclear. In this work, we decompose the loss term introduced by LS, revealing two key components: (i) a regularization term that functions only when the prediction is correct, and (ii) an error-enhancement term that emerges under misclassifications. This latter term compels the model to reinforce incorrect predictions with exaggerated certainty, further collapsing the feature space. To address these issues, we propose Max Suppression (MaxSup), which uniformly applies the intended regularization to both correct and incorrect predictions by penalizing the top-1 logit instead of the ground-truth logit. Through feature analyses, we show that MaxSup restores intra-class variation and sharpens inter-class boundaries. Extensive experiments on image classification and downstream tasks confirm that MaxSup is a more robust alternative to LS. Code is available at: https://github.com/ZhouYuxuanYX/Maximum-Suppression-Regularization.




Abstract:Document Visual Question Answering (DocVQA) has introduced a new paradigm for end-to-end document understanding, and quickly became one of the standard benchmarks for multimodal LLMs. Automating document processing workflows, driven by DocVQA models, presents significant potential for many business sectors. However, documents tend to contain highly sensitive information, raising concerns about privacy risks associated with training such DocVQA models. One significant privacy vulnerability, exploited by the membership inference attack, is the possibility for an adversary to determine if a particular record was part of the model's training data. In this paper, we introduce two novel membership inference attacks tailored specifically to DocVQA models. These attacks are designed for two different adversarial scenarios: a white-box setting, where the attacker has full access to the model architecture and parameters, and a black-box setting, where only the model's outputs are available. Notably, our attacks assume the adversary lacks access to auxiliary datasets, which is more realistic in practice but also more challenging. Our unsupervised methods outperform existing state-of-the-art membership inference attacks across a variety of DocVQA models and datasets, demonstrating their effectiveness and highlighting the privacy risks in this domain.