Abstract:Neural rendering, particularly 3D Gaussian Splatting (3DGS), has evolved rapidly and become a key component for building world models. However, existing viewer solutions remain fragmented, heavy, or constrained by legacy pipelines, resulting in high deployment friction and limited support for dynamic content and generative models. In this work, we present Visionary, an open, web-native platform for real-time various Gaussian Splatting and meshes rendering. Built on an efficient WebGPU renderer with per-frame ONNX inference, Visionary enables dynamic neural processing while maintaining a lightweight, "click-to-run" browser experience. It introduces a standardized Gaussian Generator contract, which not only supports standard 3DGS rendering but also allows plug-and-play algorithms to generate or update Gaussians each frame. Such inference also enables us to apply feedforward generative post-processing. The platform further offers a plug in three.js library with a concise TypeScript API for seamless integration into existing web applications. Experiments show that, under identical 3DGS assets, Visionary achieves superior rendering efficiency compared to current Web viewers due to GPU-based primitive sorting. It already supports multiple variants, including MLP-based 3DGS, 4DGS, neural avatars, and style transformation or enhancement networks. By unifying inference and rendering directly in the browser, Visionary significantly lowers the barrier to reproduction, comparison, and deployment of 3DGS-family methods, serving as a unified World Model Carrier for both reconstructive and generative paradigms.
Abstract:The proliferation of large models has intensified the need for efficient data valuation methods to quantify the contribution of individual data providers. Traditional approaches, such as game-theory-based Shapley value and influence-function-based techniques, face prohibitive computational costs or require access to full data and model training details, making them hardly achieve partial data valuation. To address this, we propose Unlearning Shapley, a novel framework that leverages machine unlearning to estimate data values efficiently. By unlearning target data from a pretrained model and measuring performance shifts on a reachable test set, our method computes Shapley values via Monte Carlo sampling, avoiding retraining and eliminating dependence on full data. Crucially, Unlearning Shapley supports both full and partial data valuation, making it scalable for large models (e.g., LLMs) and practical for data markets. Experiments on benchmark datasets and large-scale text corpora demonstrate that our approach matches the accuracy of state-of-the-art methods while reducing computational overhead by orders of magnitude. Further analysis confirms a strong correlation between estimated values and the true impact of data subsets, validating its reliability in real-world scenarios. This work bridges the gap between data valuation theory and practical deployment, offering a scalable, privacy-compliant solution for modern AI ecosystems.




Abstract:Humanoid robots are anticipated to acquire a wide range of locomotion capabilities while ensuring natural movement across varying speeds and terrains. Existing methods encounter a fundamental dilemma in learning humanoid locomotion: reinforcement learning with handcrafted rewards can achieve agile locomotion but produces unnatural gaits, while Generative Adversarial Imitation Learning (GAIL) with motion capture data yields natural movements but suffers from unstable training processes and restricted agility. Integrating these approaches proves challenging due to the inherent heterogeneity between expert policies and human motion datasets. To address this, we introduce StyleLoco, a novel two-stage framework that bridges this gap through a Generative Adversarial Distillation (GAD) process. Our framework begins by training a teacher policy using reinforcement learning to achieve agile and dynamic locomotion. It then employs a multi-discriminator architecture, where distinct discriminators concurrently extract skills from both the teacher policy and motion capture data. This approach effectively combines the agility of reinforcement learning with the natural fluidity of human-like movements while mitigating the instability issues commonly associated with adversarial training. Through extensive simulation and real-world experiments, we demonstrate that StyleLoco enables humanoid robots to perform diverse locomotion tasks with the precision of expertly trained policies and the natural aesthetics of human motion, successfully transferring styles across different movement types while maintaining stable locomotion across a broad spectrum of command inputs.




Abstract:Lyric-to-melody generation aims to automatically create melodies based on given lyrics, requiring the capture of complex and subtle correlations between them. However, previous works usually suffer from two main challenges: 1) lyric-melody alignment modeling, which is often simplified to one-syllable/word-to-one-note alignment, while others have the problem of low alignment accuracy; 2) lyric-melody harmony modeling, which usually relies heavily on intermediates or strict rules, limiting model's capabilities and generative diversity. In this paper, we propose SongGLM, a lyric-to-melody generation system that leverages 2D alignment encoding and multi-task pre-training based on the General Language Model (GLM) to guarantee the alignment and harmony between lyrics and melodies. Specifically, 1) we introduce a unified symbolic song representation for lyrics and melodies with word-level and phrase-level (2D) alignment encoding to capture the lyric-melody alignment; 2) we design a multi-task pre-training framework with hierarchical blank infilling objectives (n-gram, phrase, and long span), and incorporate lyric-melody relationships into the extraction of harmonized n-grams to ensure the lyric-melody harmony. We also construct a large-scale lyric-melody paired dataset comprising over 200,000 English song pieces for pre-training and fine-tuning. The objective and subjective results indicate that SongGLM can generate melodies from lyrics with significant improvements in both alignment and harmony, outperforming all the previous baseline methods.




Abstract:Singing voice conversion (SVC) aims to convert a singer's voice in a given music piece to another singer while keeping the original content. We propose an end-to-end feature disentanglement-based model, which we named SaMoye, to enable zero-shot many-to-many singing voice conversion. SaMoye disentangles the features of the singing voice into content features, timbre features, and pitch features respectively. The content features are enhanced using a GPT-based model to perform cross-prediction with the phoneme of the lyrics. SaMoye can generate the music with converted voice by replacing the timbre features with the target singer. We also establish an unparalleled large-scale dataset to guarantee zero-shot performance. The dataset consists of 1500k pure singing vocal clips containing at least 10,000 singers.
Abstract:Real-time emotion-based music arrangement, which aims to transform a given music piece into another one that evokes specific emotional resonance with the user in real-time, holds significant application value in various scenarios, e.g., music therapy, video game soundtracks, and movie scores. However, balancing emotion real-time fit with soft emotion transition is a challenge due to the fine-grained and mutable nature of the target emotion. Existing studies mainly focus on achieving emotion real-time fit, while the issue of soft transition remains understudied, affecting the overall emotional coherence of the music. In this paper, we propose SongDriver2 to address this balance. Specifically, we first recognize the last timestep's music emotion and then fuse it with the current timestep's target input emotion. The fused emotion then serves as the guidance for SongDriver2 to generate the upcoming music based on the input melody data. To adjust music similarity and emotion real-time fit flexibly, we downsample the original melody and feed it into the generation model. Furthermore, we design four music theory features to leverage domain knowledge to enhance emotion information and employ semi-supervised learning to mitigate the subjective bias introduced by manual dataset annotation. According to the evaluation results, SongDriver2 surpasses the state-of-the-art methods in both objective and subjective metrics. These results demonstrate that SongDriver2 achieves real-time fit and soft transitions simultaneously, enhancing the coherence of the generated music.




Abstract:To address the problem of online automatic inspection of drug liquid bottles in production line, an implantable visual inspection system is designed and the ensemble learning algorithm for detection is proposed based on multi-features fusion. A tunnel structure is designed for visual inspection system, which allows bottles inspection to be automated without changing original




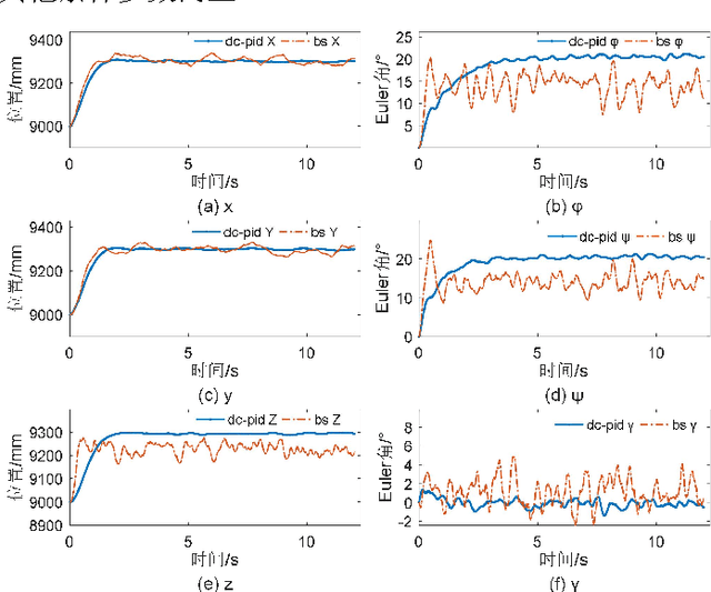
Abstract:This paper addresses design, modeling and dynamic-compensation PID (dc-PID) control of a novel type of fully-actuated aerial manipulation (AM) system. Firstly, design of novel mechanical structure of the AM is presented. Secondly, kinematics and dynamics of AM are modeled using Craig parameters and recursion Newton-Euler equations respectively, which give rise to a more accurate dynamic relationship between aerial platform and manipulator. Then, the dynamic-compensation PID control is proposed to solve the problem of fully-actuated control of AM. Finally, uniform coupled matrix equations between driving forces/moments and rotor speeds are derived, which can support design and analysis of parameters and decoupling theoretically. It is taken into account practical problems including noise and perturbation, parameter uncertainty, and power limitation in simulations, and results from simulations shows that the AM system presented can be fully-actued controlled with advanced control performances, which can not achieved theoretically in traditional AM. And with compared to backstepping control dc-PID has better control accuracy and capability to disturbance rejection in two simulations of aerial operation tasks with motion of joint. The experiment of dc-pid proves the availability and effectiveness of the method proposed.