Abstract:We present TranslateGemma, a suite of open machine translation models based on the Gemma 3 foundation models. To enhance the inherent multilingual capabilities of Gemma 3 for the translation task, we employ a two-stage fine-tuning process. First, supervised fine-tuning is performed using a rich mixture of high-quality large-scale synthetic parallel data generated via state-of-the-art models and human-translated parallel data. This is followed by a reinforcement learning phase, where we optimize translation quality using an ensemble of reward models, including MetricX-QE and AutoMQM, targeting translation quality. We demonstrate the effectiveness of TranslateGemma with human evaluation on the WMT25 test set across 10 language pairs and with automatic evaluation on the WMT24++ benchmark across 55 language pairs. Automatic metrics show consistent and substantial gains over the baseline Gemma 3 models across all sizes. Notably, smaller TranslateGemma models often achieve performance comparable to larger baseline models, offering improved efficiency. We also show that TranslateGemma models retain strong multimodal capabilities, with enhanced performance on the Vistra image translation benchmark. The release of the open TranslateGemma models aims to provide the research community with powerful and adaptable tools for machine translation.
Abstract:Machine translation benchmarks sourced from the real world are quickly obsoleted, due to most examples being easy for state-of-the-art translation models. This limits the benchmark's ability to distinguish which model is better or to reveal models' weaknesses. Current methods for creating difficult test cases, such as subsampling or from-scratch synthesis, either fall short of identifying difficult examples or suffer from a lack of diversity and naturalness. Inspired by the iterative process of human experts probing for model failures, we propose MT-breaker, a method where a large language model iteratively refines a source text to increase its translation difficulty. The LLM iteratively queries a target machine translation model to guide its generation of difficult examples. Our approach generates examples that are more challenging for the target MT model while preserving the diversity of natural texts. While the examples are tailored to a particular machine translation model during the generation, the difficulty also transfers to other models and languages.




Abstract:As large language models (LLM) become more and more capable in languages other than English, it is important to collect benchmark datasets in order to evaluate their multilingual performance, including on tasks like machine translation (MT). In this work, we extend the WMT24 dataset to cover 55 languages by collecting new human-written references and post-edits for 46 new languages and dialects in addition to post-edits of the references in 8 out of 9 languages in the original WMT24 dataset. The dataset covers four domains: literary, news, social, and speech. We benchmark a variety of MT providers and LLMs on the collected dataset using automatic metrics and find that LLMs are the best-performing MT systems in all 55 languages. These results should be confirmed using a human-based evaluation, which we leave for future work.




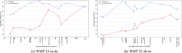
Abstract:As LLMs continue to become more powerful and versatile, human evaluation has quickly become intractable at scale and reliance on automatic metrics has become the norm. Recently, it has been shown that LLMs are themselves state-of-the-art evaluators for many tasks. These Autoraters are typically designed so that they generalize to new systems and test sets. In practice, however, evaluation is performed on a small set of fixed, canonical test sets, which are carefully curated to measure certain capabilities of interest and are not changed frequently. In this work, we design a method which specializes a prompted Autorater to a given test set, by leveraging historical ratings on the test set to construct in-context learning (ICL) examples. We evaluate our Specialist method on the task of fine-grained machine translation evaluation, and show that it dramatically outperforms the state-of-the-art XCOMET metric by 54% and 119% on the WMT'23 and WMT'24 test sets, respectively. We perform extensive analyses to understand the representations learned by our Specialist metrics, and how variability in rater behavior affects their performance. We also verify the generalizability and robustness of our Specialist method for designing automatic metrics across different numbers of ICL examples, LLM backbones, systems to evaluate, and evaluation tasks.
Abstract:In this paper, we present the MetricX-24 submissions to the WMT24 Metrics Shared Task and provide details on the improvements we made over the previous version of MetricX. Our primary submission is a hybrid reference-based/-free metric, which can score a translation irrespective of whether it is given the source segment, the reference, or both. The metric is trained on previous WMT data in a two-stage fashion, first on the DA ratings only, then on a mixture of MQM and DA ratings. The training set in both stages is augmented with synthetic examples that we created to make the metric more robust to several common failure modes, such as fluent but unrelated translation, or undertranslation. We demonstrate the benefits of the individual modifications via an ablation study, and show a significant performance increase over MetricX-23 on the WMT23 MQM ratings, as well as our new synthetic challenge set.




Abstract:Recent improvements in text generation have leveraged human feedback to improve the quality of the generated output. However, human feedback is not always available, especially during inference. In this work, we propose an inference time optimization method FITO to use fine-grained actionable feedback in the form of error type, error location and severity level that are predicted by a learned error pinpoint model for iterative refinement. FITO starts with an initial output, then iteratively incorporates the feedback via a refinement model that generates an improved output conditioned on the feedback. Given the uncertainty of consistent refined samples at iterative steps, we formulate iterative refinement into a local search problem and develop a simulated annealing based algorithm that balances exploration of the search space and optimization for output quality. We conduct experiments on three text generation tasks, including machine translation, long-form question answering (QA) and topical summarization. We observe 0.8 and 0.7 MetricX gain on Chinese-English and English-German translation, 4.5 and 1.8 ROUGE-L gain at long form QA and topic summarization respectively, with a single iteration of refinement. With our simulated annealing algorithm, we see further quality improvements, including up to 1.7 MetricX improvements over the baseline approach.




Abstract:Quality Estimation (QE), the evaluation of machine translation output without the need of explicit references, has seen big improvements in the last years with the use of neural metrics. In this paper we analyze the viability of using QE metrics for filtering out bad quality sentence pairs in the training data of neural machine translation systems~(NMT). While most corpus filtering methods are focused on detecting noisy examples in collections of texts, usually huge amounts of web crawled data, QE models are trained to discriminate more fine-grained quality differences. We show that by selecting the highest quality sentence pairs in the training data, we can improve translation quality while reducing the training size by half. We also provide a detailed analysis of the filtering results, which highlights the differences between both approaches.




Abstract:As research on machine translation moves to translating text beyond the sentence level, it remains unclear how effective automatic evaluation metrics are at scoring longer translations. In this work, we first propose a method for creating paragraph-level data for training and meta-evaluating metrics from existing sentence-level data. Then, we use these new datasets to benchmark existing sentence-level metrics as well as train learned metrics at the paragraph level. Interestingly, our experimental results demonstrate that using sentence-level metrics to score entire paragraphs is equally as effective as using a metric designed to work at the paragraph level. We speculate this result can be attributed to properties of the task of reference-based evaluation as well as limitations of our datasets with respect to capturing all types of phenomena that occur in paragraph-level translations.




Abstract:Conversational agents are consistently growing in popularity and many people interact with them every day. While many conversational agents act as personal assistants, they can have many different goals. Some are task-oriented, such as providing customer support for a bank or making a reservation. Others are designed to be empathetic and to form emotional connections with the user. The Alexa Prize Challenge aims to create a socialbot, which allows the user to engage in coherent conversations, on a range of popular topics that will interest the user. Here we describe Athena 2.0, UCSC's conversational agent for Amazon's Socialbot Grand Challenge 4. Athena 2.0 utilizes a novel knowledge-grounded discourse model that tracks the entity links that Athena introduces into the dialogue, and uses them to constrain named-entity recognition and linking, and coreference resolution. Athena 2.0 also relies on a user model to personalize topic selection and other aspects of the conversation to individual users.
Abstract:Dialogue systems need to produce responses that realize multiple types of dialogue acts (DAs) with high semantic fidelity. In the past, natural language generators (NLGs) for dialogue were trained on large parallel corpora that map from a domain-specific DA and its semantic attributes to an output utterance. Recent work shows that pretrained language models (LLMs) offer new possibilities for controllable NLG using prompt-based learning. Here we develop a novel few-shot overgenerate-and-rank approach that achieves the controlled generation of DAs. We compare eight few-shot prompt styles that include a novel method of generating from textual pseudo-references using a textual style transfer approach. We develop six automatic ranking functions that identify outputs with both the correct DA and high semantic accuracy at generation time. We test our approach on three domains and four LLMs. To our knowledge, this is the first work on NLG for dialogue that automatically ranks outputs using both DA and attribute accuracy. For completeness, we compare our results to fine-tuned few-shot models trained with 5 to 100 instances per DA. Our results show that several prompt settings achieve perfect DA accuracy, and near perfect semantic accuracy (99.81%) and perform better than few-shot fine-tuning.