Abstract:Recent work on large language models (LLMs) has increasingly focused on post-training and alignment with datasets curated to enhance instruction following, world knowledge, and specialized skills. However, most post-training datasets used in leading open- and closed-source LLMs remain inaccessible to the public, with limited information about their construction process. This lack of transparency has motivated the recent development of open-source post-training corpora. While training on these open alternatives can yield performance comparable to that of leading models, systematic comparisons remain challenging due to the significant computational cost of conducting them rigorously at scale, and are therefore largely absent. As a result, it remains unclear how specific samples, task types, or curation strategies influence downstream performance when assessing data quality. In this work, we conduct the first comprehensive side-by-side analysis of two prominent open post-training datasets: Tulu-3-SFT-Mix and SmolTalk. Using the Magpie framework, we annotate each sample with detailed quality metrics, including turn structure (single-turn vs. multi-turn), task category, input quality, and response quality, and we derive statistics that reveal structural and qualitative similarities and differences between the two datasets. Based on these insights, we design a principled curation recipe that produces a new data mixture, TuluTalk, which contains 14% fewer samples than either source dataset while matching or exceeding their performance on key benchmarks. Our findings offer actionable insights for constructing more effective post-training datasets that improve model performance within practical resource limits. To support future research, we publicly release both the annotated source datasets and our curated TuluTalk mixture.




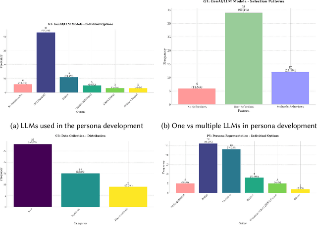
Abstract:Although Generative AI (GenAI) has the potential for persona development, many challenges must be addressed. This research systematically reviews 52 articles from 2022-2024, with important findings. First, closed commercial models are frequently used in persona development, creating a monoculture Second, GenAI is used in various stages of persona development (data collection, segmentation, enrichment, and evaluation). Third, similar to other quantitative persona development techniques, there are major gaps in persona evaluation for AI generated personas. Fourth, human-AI collaboration models are underdeveloped, despite human oversight being crucial for maintaining ethical standards. These findings imply that realizing the full potential of AI-generated personas will require substantial efforts across academia and industry. To that end, we provide a list of research avenues to inspire future work.




Abstract:Fine-tuning large language models (LLMs) on downstream tasks can inadvertently erode their safety alignment, even for benign fine-tuning datasets. We address this challenge by proposing SafeMERGE, a post-fine-tuning framework that preserves safety while maintaining task utility. It achieves this by selectively merging fine-tuned and safety-aligned model layers only when those deviate from safe behavior, measured by a cosine similarity criterion. We evaluate SafeMERGE against other fine-tuning- and post-fine-tuning-stage approaches for Llama-2-7B-Chat and Qwen-2-7B-Instruct models on GSM8K and PubMedQA tasks while exploring different merging strategies. We find that SafeMERGE consistently reduces harmful outputs compared to other baselines without significantly sacrificing performance, sometimes even enhancing it. The results suggest that our selective, subspace-guided, and per-layer merging method provides an effective safeguard against the inadvertent loss of safety in fine-tuned LLMs while outperforming simpler post-fine-tuning-stage defenses.




Abstract:Data quantity and quality play a vital role in determining the performance of Large Language Models (LLMs). High-quality data, in particular, can significantly boost the LLM's ability to generalize on a wide range of downstream tasks. Large pre-training datasets for leading LLMs remain inaccessible to the public, whereas many open datasets are small in size (less than 5 trillion tokens), limiting their suitability for training large models. In this paper, we introduce GneissWeb, a large dataset yielding around 10 trillion tokens that caters to the data quality and quantity requirements of training LLMs. Our GneissWeb recipe that produced the dataset consists of sharded exact sub-string deduplication and a judiciously constructed ensemble of quality filters. GneissWeb achieves a favorable trade-off between data quality and quantity, producing models that outperform models trained on state-of-the-art open large datasets (5+ trillion tokens). We show that models trained using GneissWeb dataset outperform those trained on FineWeb-V1.1.0 by 2.73 percentage points in terms of average score computed on a set of 11 commonly used benchmarks (both zero-shot and few-shot) for pre-training dataset evaluation. When the evaluation set is extended to 20 benchmarks (both zero-shot and few-shot), models trained using GneissWeb still achieve a 1.75 percentage points advantage over those trained on FineWeb-V1.1.0.




Abstract:The vulnerability of machine learning models in adversarial scenarios has garnered significant interest in the academic community over the past decade, resulting in a myriad of attacks and defenses. However, while the community appears to be overtly successful in devising new attacks across new contexts, the development of defenses has stalled. After a decade of research, we appear no closer to securing AI applications beyond additional training. Despite a lack of effective mitigations, AI development and its incorporation into existing systems charge full speed ahead with the rise of generative AI and large language models. Will our ineffectiveness in developing solutions to adversarial threats further extend to these new technologies? In this paper, we argue that overly permissive attack and overly restrictive defensive threat models have hampered defense development in the ML domain. Through the lens of adversarial evasion attacks against neural networks, we critically examine common attack assumptions, such as the ability to bypass any defense not explicitly built into the model. We argue that these flawed assumptions, seen as reasonable by the community based on paper acceptance, have encouraged the development of adversarial attacks that map poorly to real-world scenarios. In turn, new defenses evaluated against these very attacks are inadvertently required to be almost perfect and incorporated as part of the model. But do they need to? In practice, machine learning models are deployed as a small component of a larger system. We analyze adversarial machine learning from a system security perspective rather than an AI perspective and its implications for emerging AI paradigms.




Abstract:The increasing use of large language models (LLMs) trained by third parties raises significant security concerns. In particular, malicious actors can introduce backdoors through poisoning attacks to generate undesirable outputs. While such attacks have been extensively studied in image domains and classification tasks, they remain underexplored for natural language generation (NLG) tasks. To address this gap, we conduct an investigation of various poisoning techniques targeting the LLM's fine-tuning phase via prefix-tuning, a Parameter Efficient Fine-Tuning (PEFT) method. We assess their effectiveness across two generative tasks: text summarization and text completion; and we also introduce new metrics to quantify the success and stealthiness of such NLG poisoning attacks. Through our experiments, we find that the prefix-tuning hyperparameters and trigger designs are the most crucial factors to influence attack success and stealthiness. Moreover, we demonstrate that existing popular defenses are ineffective against our poisoning attacks. Our study presents the first systematic approach to understanding poisoning attacks targeting NLG tasks during fine-tuning via PEFT across a wide range of triggers and attack settings. We hope our findings will aid the AI security community in developing effective defenses against such threats.




Abstract:Large language models (LLMs) have shown to pose social and ethical risks such as generating toxic language or facilitating malicious use of hazardous knowledge. Machine unlearning is a promising approach to improve LLM safety by directly removing harmful behaviors and knowledge. In this paper, we propose "SPlit, UNlearn, MerGE" (SPUNGE), a framework that can be used with any unlearning method to amplify its effectiveness. SPUNGE leverages data attributes during unlearning by splitting unlearning data into subsets based on specific attribute values, unlearning each subset separately, and merging the unlearned models. We empirically demonstrate that SPUNGE significantly improves the performance of two recent unlearning methods on state-of-the-art LLMs while maintaining their general capabilities on standard academic benchmarks.




Abstract:We present metrics for evaluating dialog systems through a psychologically-grounded "human" lens: conversational agents express a diversity of both states (short-term factors like emotions) and traits (longer-term factors like personality) just as people do. These interpretable metrics consist of five measures from established psychology constructs that can be applied both across dialogs and on turns within dialogs: emotional entropy, linguistic style and emotion matching, as well as agreeableness and empathy. We compare these human metrics against 6 state-of-the-art automatic metrics (e.g. BARTScore and BLEURT) on 7 standard dialog system data sets. We also introduce a novel data set, the Three Bot Dialog Evaluation Corpus, which consists of annotated conversations from ChatGPT, GPT-3, and BlenderBot. We demonstrate the proposed human metrics offer novel information, are uncorrelated with automatic metrics, and lead to increased accuracy beyond existing automatic metrics for predicting crowd-sourced dialog judgements. The interpretability and unique signal of our proposed human-centered framework make it a valuable tool for evaluating and improving dialog systems.
Abstract:Compared to physical health, population mental health measurement in the U.S. is very coarse-grained. Currently, in the largest population surveys, such as those carried out by the Centers for Disease Control or Gallup, mental health is only broadly captured through "mentally unhealthy days" or "sadness", and limited to relatively infrequent state or metropolitan estimates. Through the large scale analysis of social media data, robust estimation of population mental health is feasible at much higher resolutions, up to weekly estimates for counties. In the present work, we validate a pipeline that uses a sample of 1.2 billion Tweets from 2 million geo-located users to estimate mental health changes for the two leading mental health conditions, depression and anxiety. We find moderate to large associations between the language-based mental health assessments and survey scores from Gallup for multiple levels of granularity, down to the county-week (fixed effects $\beta = .25$ to $1.58$; $p<.001$). Language-based assessment allows for the cost-effective and scalable monitoring of population mental health at weekly time scales. Such spatially fine-grained time series are well suited to monitor effects of societal events and policies as well as enable quasi-experimental study designs in population health and other disciplines. Beyond mental health in the U.S., this method generalizes to a broad set of psychological outcomes and allows for community measurement in under-resourced settings where no traditional survey measures - but social media data - are available.
Abstract:Since the discovery of adversarial attacks against machine learning models nearly a decade ago, research on adversarial machine learning has rapidly evolved into an eternal war between defenders, who seek to increase the robustness of ML models against adversarial attacks, and adversaries, who seek to develop better attacks capable of weakening or defeating these defenses. This domain, however, has found little buy-in from ML practitioners, who are neither overtly concerned about these attacks affecting their systems in the real world nor are willing to trade off the accuracy of their models in pursuit of robustness against these attacks. In this paper, we motivate the design and implementation of Ares, an evaluation framework for adversarial ML that allows researchers to explore attacks and defenses in a realistic wargame-like environment. Ares frames the conflict between the attacker and defender as two agents in a reinforcement learning environment with opposing objectives. This allows the introduction of system-level evaluation metrics such as time to failure and evaluation of complex strategies such as moving target defenses. We provide the results of our initial exploration involving a white-box attacker against an adversarially trained defender.