Universite de Montreal




Abstract:Reinforcement learning from human feedback usually models preferences using a reward model that does not distinguish between people. We argue that this is unlikely to be a good design choice in contexts with high potential for disagreement, like in the training of large language models. We propose a method to specialise a reward model to a person or group of people. Our approach builds on the observation that individual preferences can be captured as a linear combination of a set of general reward features. We show how to learn such features and subsequently use them to quickly adapt the reward model to a specific individual, even if their preferences are not reflected in the training data. We present experiments with large language models comparing the proposed architecture with a non-adaptive reward model and also adaptive counterparts, including models that do in-context personalisation. Depending on how much disagreement there is in the training data, our model either significantly outperforms the baselines or matches their performance with a simpler architecture and more stable training.




Abstract:Curvature regularization techniques like Sharpness Aware Minimization (SAM) have shown great promise in improving generalization on vision tasks. However, we find that SAM performs poorly in domains like natural language processing (NLP), often degrading performance -- even with twice the compute budget. We investigate the discrepancy across domains and find that in the NLP setting, SAM is dominated by regularization of the logit statistics -- instead of improving the geometry of the function itself. We use this observation to develop an alternative algorithm we call Functional-SAM, which regularizes curvature only through modification of the statistics of the overall function implemented by the neural network, and avoids spurious minimization through logit manipulation. Furthermore, we argue that preconditioning the SAM perturbation also prevents spurious minimization, and when combined with Functional-SAM, it gives further improvements. Our proposed algorithms show improved performance over AdamW and SAM baselines when trained for an equal number of steps, in both fixed-length and Chinchilla-style training settings, at various model scales (including billion-parameter scale). On the whole, our work highlights the importance of more precise characterizations of sharpness in broadening the applicability of curvature regularization to large language models (LLMs).




Abstract:Parameter-efficient transfer learning (PETL) aims to adapt pre-trained models to new downstream tasks while minimizing the number of fine-tuned parameters. Adapters, a popular approach in PETL, inject additional capacity into existing networks by incorporating low-rank projections, achieving performance comparable to full fine-tuning with significantly fewer parameters. This paper investigates the relationship between the placement of an adapter and its performance. We observe that adapter location within a network significantly impacts its effectiveness, and that the optimal placement is task-dependent. To exploit this observation, we introduce an extended search space of adapter connections, including long-range and recurrent adapters. We demonstrate that even randomly selected adapter placements from this expanded space yield improved results, and that high-performing placements often correlate with high gradient rank. Our findings reveal that a small number of strategically placed adapters can match or exceed the performance of the common baseline of adding adapters in every block, opening a new avenue for research into optimal adapter placement strategies.




Abstract:Learning from human feedback (LHF) -- and in particular learning from pairwise preferences -- has recently become a crucial ingredient in training large language models (LLMs), and has been the subject of much research. Most recent works frame it as a reinforcement learning problem, where a reward function is learned from pairwise preference data and the LLM is treated as a policy which is adapted to maximize the rewards, often under additional regularization constraints. We propose an alternative interpretation which centers on the generative process for pairwise preferences and treats LHF as a density estimation problem. We provide theoretical and empirical results showing that for a family of generative processes defined via preference behavior distribution equations, training a reward function on pairwise preferences effectively models an annotator's implicit preference distribution. Finally, we discuss and present findings on "annotator misspecification" -- failure cases where wrong modeling assumptions are made about annotator behavior, resulting in poorly-adapted models -- suggesting that approaches that learn from pairwise human preferences could have trouble learning from a population of annotators with diverse viewpoints.
Abstract:Data augmentation methods have played an important role in the recent advance of deep learning models, and have become an indispensable component of state-of-the-art models in semi-supervised, self-supervised, and supervised training for vision. Despite incurring no additional latency at test time, data augmentation often requires more epochs of training to be effective. For example, even the simple flips-and-crops augmentation requires training for more than 5 epochs to improve performance, whereas RandAugment requires more than 90 epochs. We propose a general framework called Tied-Augment, which improves the efficacy of data augmentation in a wide range of applications by adding a simple term to the loss that can control the similarity of representations under distortions. Tied-Augment can improve state-of-the-art methods from data augmentation (e.g. RandAugment, mixup), optimization (e.g. SAM), and semi-supervised learning (e.g. FixMatch). For example, Tied-RandAugment can outperform RandAugment by 2.0% on ImageNet. Notably, using Tied-Augment, data augmentation can be made to improve generalization even when training for a few epochs and when fine-tuning. We open source our code at https://github.com/ekurtulus/tied-augment/tree/main.



Abstract:This paper introduces JaxPruner, an open-source JAX-based pruning and sparse training library for machine learning research. JaxPruner aims to accelerate research on sparse neural networks by providing concise implementations of popular pruning and sparse training algorithms with minimal memory and latency overhead. Algorithms implemented in JaxPruner use a common API and work seamlessly with the popular optimization library Optax, which, in turn, enables easy integration with existing JAX based libraries. We demonstrate this ease of integration by providing examples in four different codebases: Scenic, t5x, Dopamine and FedJAX and provide baseline experiments on popular benchmarks.
Abstract:Deep networks have achieved impressive results on a range of well-curated benchmark datasets. Surprisingly, their performance remains sensitive to perturbations that have little effect on human performance. In this work, we propose a novel extension of Mixup called Robustmix that regularizes networks to classify based on lower-frequency spatial features. We show that this type of regularization improves robustness on a range of benchmarks such as Imagenet-C and Stylized Imagenet. It adds little computational overhead and, furthermore, does not require a priori knowledge of a large set of image transformations. We find that this approach further complements recent advances in model architecture and data augmentation, attaining a state-of-the-art mCE of 44.8 with an EfficientNet-B8 model and RandAugment, which is a reduction of 16 mCE compared to the baseline.




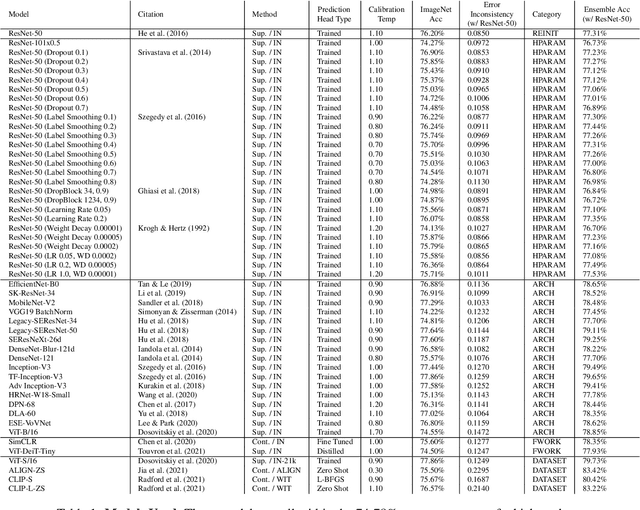
Abstract:Despite being able to capture a range of features of the data, high accuracy models trained with supervision tend to make similar predictions. This seemingly implies that high-performing models share similar biases regardless of training methodology, which would limit ensembling benefits and render low-accuracy models as having little practical use. Against this backdrop, recent work has made very different training techniques, such as large-scale contrastive learning, yield competitively-high accuracy on generalization and robustness benchmarks. This motivates us to revisit the assumption that models necessarily learn similar functions. We conduct a large-scale empirical study of models across hyper-parameters, architectures, frameworks, and datasets. We find that model pairs that diverge more in training methodology display categorically different generalization behavior, producing increasingly uncorrelated errors. We show these models specialize in subdomains of the data, leading to higher ensemble performance: with just 2 models (each with ImageNet accuracy ~76.5%), we can create ensembles with 83.4% (+7% boost). Surprisingly, we find that even significantly low-accuracy models can be used to improve high-accuracy models. Finally, we show diverging training methodology yield representations that capture overlapping (but not supersetting) feature sets which, when combined, lead to increased downstream performance.




Abstract:While deep learning has been very beneficial in data-rich settings, tasks with smaller training set often resort to pre-training or multitask learning to leverage data from other tasks. In this case, careful consideration is needed to select tasks and model parameterizations such that updates from the auxiliary tasks actually help the primary task. We seek to alleviate this burden by formulating a model-agnostic framework that performs fine-grained manipulation of the auxiliary task gradients. We propose to decompose auxiliary updates into directions which help, damage or leave the primary task loss unchanged. This allows weighting the update directions differently depending on their impact on the problem of interest. We present a novel and efficient algorithm for that purpose and show its advantage in practice. Our method leverages efficient automatic differentiation procedures and randomized singular value decomposition for scalability. We show that our framework is generic and encompasses some prior work as particular cases. Our approach consistently outperforms strong and widely used baselines when leveraging out-of-distribution data for Text and Image classification tasks.




Abstract:Identifying the locations and footprints of buildings is vital for many practical and scientific purposes. Such information can be particularly useful in developing regions where alternative data sources may be scarce. In this work, we describe a model training pipeline for detecting buildings across the entire continent of Africa, using 50 cm satellite imagery. Starting with the U-Net model, widely used in satellite image analysis, we study variations in architecture, loss functions, regularization, pre-training, self-training and post-processing that increase instance segmentation performance. Experiments were carried out using a dataset of 100k satellite images across Africa containing 1.75M manually labelled building instances, and further datasets for pre-training and self-training. We report novel methods for improving performance of building detection with this type of model, including the use of mixup (mAP +0.12) and self-training with soft KL loss (mAP +0.06). The resulting pipeline obtains good results even on a wide variety of challenging rural and urban contexts, and was used to create the Open Buildings dataset of 516M Africa-wide detected footprints.