



Abstract:We introduce LlamaPIE, the first real-time proactive assistant designed to enhance human conversations through discreet, concise guidance delivered via hearable devices. Unlike traditional language models that require explicit user invocation, this assistant operates in the background, anticipating user needs without interrupting conversations. We address several challenges, including determining when to respond, crafting concise responses that enhance conversations, leveraging knowledge of the user for context-aware assistance, and real-time, on-device processing. To achieve this, we construct a semi-synthetic dialogue dataset and propose a two-model pipeline: a small model that decides when to respond and a larger model that generates the response. We evaluate our approach on real-world datasets, demonstrating its effectiveness in providing helpful, unobtrusive assistance. User studies with our assistant, implemented on Apple Silicon M2 hardware, show a strong preference for the proactive assistant over both a baseline with no assistance and a reactive model, highlighting the potential of LlamaPie to enhance live conversations.
Abstract:Measuring progress is fundamental to the advancement of any scientific field. As benchmarks play an increasingly central role, they also grow more susceptible to distortion. Chatbot Arena has emerged as the go-to leaderboard for ranking the most capable AI systems. Yet, in this work we identify systematic issues that have resulted in a distorted playing field. We find that undisclosed private testing practices benefit a handful of providers who are able to test multiple variants before public release and retract scores if desired. We establish that the ability of these providers to choose the best score leads to biased Arena scores due to selective disclosure of performance results. At an extreme, we identify 27 private LLM variants tested by Meta in the lead-up to the Llama-4 release. We also establish that proprietary closed models are sampled at higher rates (number of battles) and have fewer models removed from the arena than open-weight and open-source alternatives. Both these policies lead to large data access asymmetries over time. Providers like Google and OpenAI have received an estimated 19.2% and 20.4% of all data on the arena, respectively. In contrast, a combined 83 open-weight models have only received an estimated 29.7% of the total data. We show that access to Chatbot Arena data yields substantial benefits; even limited additional data can result in relative performance gains of up to 112% on the arena distribution, based on our conservative estimates. Together, these dynamics result in overfitting to Arena-specific dynamics rather than general model quality. The Arena builds on the substantial efforts of both the organizers and an open community that maintains this valuable evaluation platform. We offer actionable recommendations to reform the Chatbot Arena's evaluation framework and promote fairer, more transparent benchmarking for the field




Abstract:Aligning language models (LMs) to human preferences has emerged as a critical pursuit, enabling these models to better serve diverse user needs. Existing methods primarily focus on optimizing LMs for a single reward function, limiting their adaptability to varied objectives. Here, we propose $\textbf{multi-objective decoding (MOD)}$, a decoding-time algorithm that outputs the next token from a linear combination of predictions of all base models, for any given weightings over different objectives. We exploit a common form among a family of $f$-divergence regularized alignment approaches (such as PPO, DPO, and their variants) to identify a closed-form solution by Legendre transform, and derive an efficient decoding strategy. Theoretically, we show why existing approaches can be sub-optimal even in natural settings and obtain optimality guarantees for our method. Empirical results demonstrate the effectiveness of the algorithm. For example, compared to a parameter-merging baseline, MOD achieves 12.8% overall reward improvement when equally optimizing towards $3$ objectives. Moreover, we experiment with MOD on combining three fully-finetuned LLMs of different model sizes, each aimed at different objectives such as safety, coding, and general user preference. Unlike traditional methods that require careful curation of a mixture of datasets to achieve comprehensive improvement, we can quickly experiment with preference weightings using MOD to find the best combination of models. Our best combination reduces toxicity on Toxigen to nearly 0% and achieves 7.9--33.3% improvement across other three metrics ($\textit{i.e.}$, Codex@1, GSM-COT, BBH-COT).




Abstract:Much recent work in NLP has documented dataset artifacts, bias, and spurious correlations between input features and output labels. However, how to tell which features have "spurious" instead of legitimate correlations is typically left unspecified. In this work we argue that for complex language understanding tasks, all simple feature correlations are spurious, and we formalize this notion into a class of problems which we call competency problems. For example, the word "amazing" on its own should not give information about a sentiment label independent of the context in which it appears, which could include negation, metaphor, sarcasm, etc. We theoretically analyze the difficulty of creating data for competency problems when human bias is taken into account, showing that realistic datasets will increasingly deviate from competency problems as dataset size increases. This analysis gives us a simple statistical test for dataset artifacts, which we use to show more subtle biases than were described in prior work, including demonstrating that models are inappropriately affected by these less extreme biases. Our theoretical treatment of this problem also allows us to analyze proposed solutions, such as making local edits to dataset instances, and to give recommendations for future data collection and model design efforts that target competency problems.




Abstract:Generating text from structured inputs, such as meaning representations or RDF triples, has often involved the use of specialized graph-encoding neural networks. However, recent applications of pretrained transformers to linearizations of graph inputs have yielded state-of-the-art generation results on graph-to-text tasks. Here, we explore the ability of these linearized models to encode local graph structures, in particular their invariance to the graph linearization strategy and their ability to reconstruct corrupted inputs. Our findings motivate solutions to enrich the quality of models' implicit graph encodings via scaffolding. Namely, we use graph-denoising objectives implemented in a multi-task text-to-text framework. We find that these denoising scaffolds lead to substantial improvements in downstream generation in low-resource settings.




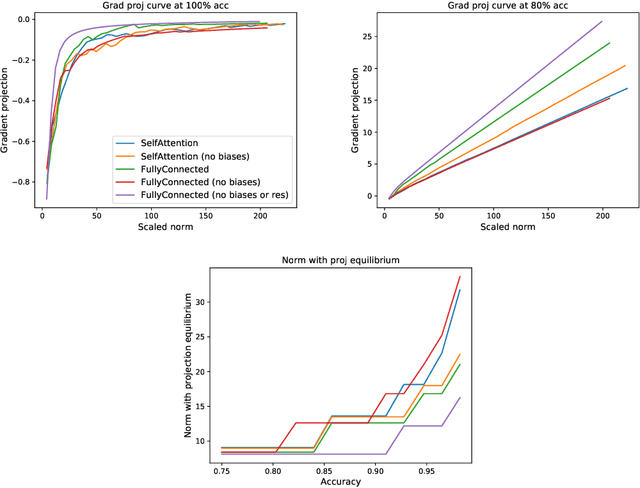
Abstract:The capacity of neural networks like the widely adopted transformer is known to be very high. Evidence is emerging that they learn successfully due to inductive bias in the training routine, typically some variant of gradient descent (GD). To better understand this bias, we study the tendency of transformer parameters to grow in magnitude during training. We find, both theoretically and empirically, that, in certain contexts, GD increases the parameter $L_2$ norm up to a threshold that itself increases with training-set accuracy. This means increasing training accuracy over time enables the norm to increase. Empirically, we show that the norm grows continuously over pretraining for T5 (Raffel et al., 2019). We show that pretrained T5 approximates a semi-discretized network with saturated activation functions. Such "saturated" networks are known to have a reduced capacity compared to the original network family that can be described in automata-theoretic terms. This suggests saturation is a new characterization of an inductive bias implicit in GD that is of particular interest for NLP. While our experiments focus on transformers, our theoretical analysis extends to other architectures with similar formal properties, such as feedforward ReLU networks.




Abstract:Fine-tuning pretrained contextual word embedding models to supervised downstream tasks has become commonplace in natural language processing. This process, however, is often brittle: even with the same hyperparameter values, distinct random seeds can lead to substantially different results. To better understand this phenomenon, we experiment with four datasets from the GLUE benchmark, fine-tuning BERT hundreds of times on each while varying only the random seeds. We find substantial performance increases compared to previously reported results, and we quantify how the performance of the best-found model varies as a function of the number of fine-tuning trials. Further, we examine two factors influenced by the choice of random seed: weight initialization and training data order. We find that both contribute comparably to the variance of out-of-sample performance, and that some weight initializations perform well across all tasks explored. On small datasets, we observe that many fine-tuning trials diverge part of the way through training, and we offer best practices for practitioners to stop training less promising runs early. We publicly release all of our experimental data, including training and validation scores for 2,100 trials, to encourage further analysis of training dynamics during fine-tuning.




Abstract:Core to the vision-and-language navigation (VLN) challenge is building robust instruction representations and action decoding schemes, which can generalize well to previously unseen instructions and environments. In this paper, we report two simple but highly effective methods to address these challenges and lead to a new state-of-the-art performance. First, we adapt large-scale pretrained language models to learn text representations that generalize better to previously unseen instructions. Second, we propose a stochastic sampling scheme to reduce the considerable gap between the expert actions in training and sampled actions in test, so that the agent can learn to correct its own mistakes during long sequential action decoding. Combining the two techniques, we achieve a new state of the art on the Room-to-Room benchmark with 6% absolute gain over the previous best result (47% -> 53%) on the Success Rate weighted by Path Length metric.




Abstract:Previous approaches to multilingual semantic dependency parsing treat languages independently, without exploiting the similarities between semantic structures across languages. We experiment with a new approach where we combine resources from a pair of languages in the CoNLL 2009 shared task to build a polyglot semantic role labeler. Notwithstanding the absence of parallel data, and the dissimilarity in annotations between languages, our approach results in an improvement in SRL performance on multiple languages over a monolingual baseline. Analysis of the polyglot model shows it to be advantageous in lower-resource settings.




Abstract:We show that discourse structure, as defined by Rhetorical Structure Theory and provided by an existing discourse parser, benefits text categorization. Our approach uses a recursive neural network and a newly proposed attention mechanism to compute a representation of the text that focuses on salient content, from the perspective of both RST and the task. Experiments consider variants of the approach and illustrate its strengths and weaknesses.