Abstract:Artificial intelligence (AI) and hardware (HW) are advancing at unprecedented rates, yet their trajectories have become inseparably intertwined. The global research community lacks a cohesive, long-term vision to strategically coordinate the development of AI and HW. This fragmentation constrains progress toward holistic, sustainable, and adaptive AI systems capable of learning, reasoning, and operating efficiently across cloud, edge, and physical environments. The future of AI depends not only on scaling intelligence, but on scaling efficiency, achieving exponential gains in intelligence per joule, rather than unbounded compute consumption. Addressing this grand challenge requires rethinking the entire computing stack. This vision paper lays out a 10-year roadmap for AI+HW co-design and co-development, spanning algorithms, architectures, systems, and sustainability. We articulate key insights that redefine scaling around energy efficiency, system-level integration, and cross-layer optimization. We identify key challenges and opportunities, candidly assess potential obstacles and pitfalls, and propose integrated solutions grounded in algorithmic innovation, hardware advances, and software abstraction. Looking ahead, we define what success means in 10 years: achieving a 1000x improvement in efficiency for AI training and inference; enabling energy-aware, self-optimizing systems that seamlessly span cloud, edge, and physical AI; democratizing access to advanced AI infrastructure; and embedding human-centric principles into the design of intelligent systems. Finally, we outline concrete action items for academia, industry, government, and the broader community, calling for coordinated national initiatives, shared infrastructure, workforce development, cross-agency collaboration, and sustained public-private partnerships to ensure that AI+HW co-design becomes a unifying long-term mission.
Abstract:In response to innovations in machine learning (ML) models, production workloads changed radically and rapidly. TPU v4 is the fifth Google domain specific architecture (DSA) and its third supercomputer for such ML models. Optical circuit switches (OCSes) dynamically reconfigure its interconnect topology to improve scale, availability, utilization, modularity, deployment, security, power, and performance; users can pick a twisted 3D torus topology if desired. Much cheaper, lower power, and faster than Infiniband, OCSes and underlying optical components are <5% of system cost and <3% of system power. Each TPU v4 includes SparseCores, dataflow processors that accelerate models that rely on embeddings by 5x-7x yet use only 5% of die area and power. Deployed since 2020, TPU v4 outperforms TPU v3 by 2.1x and improves performance/Watt by 2.7x. The TPU v4 supercomputer is 4x larger at 4096 chips and thus ~10x faster overall, which along with OCS flexibility helps large language models. For similar sized systems, it is ~4.3x-4.5x faster than the Graphcore IPU Bow and is 1.2x-1.7x faster and uses 1.3x-1.9x less power than the Nvidia A100. TPU v4s inside the energy-optimized warehouse scale computers of Google Cloud use ~3x less energy and produce ~20x less CO2e than contemporary DSAs in a typical on-premise data center.




Abstract:We present MegaBlocks, a system for efficient Mixture-of-Experts (MoE) training on GPUs. Our system is motivated by the limitations of current frameworks, which restrict the dynamic routing in MoE layers to satisfy the constraints of existing software and hardware. These formulations force a tradeoff between model quality and hardware efficiency, as users must choose between dropping tokens from the computation or wasting computation and memory on padding. To address these limitations, we reformulate MoE computation in terms of block-sparse operations and develop new block-sparse GPU kernels that efficiently handle the dynamism present in MoEs. Our approach never drops tokens and maps efficiently to modern hardware, enabling end-to-end training speedups of up to 40% over MoEs trained with the state-of-the-art Tutel library and 2.4x over DNNs trained with the highly-optimized Megatron-LM framework.




Abstract:Recent results in language understanding using neural networks have required training hardware of unprecedentedscale, with thousands of chips cooperating on a single training run. This paper presents techniques to scaleML models on the Google TPU Multipod, a mesh with 4096 TPU-v3 chips. We discuss model parallelism toovercome scaling limitations from the fixed batch size in data parallelism, communication/collective optimizations,distributed evaluation of training metrics, and host input processing scaling optimizations. These techniques aredemonstrated in both the TensorFlow and JAX programming frameworks. We also present performance resultsfrom the recent Google submission to the MLPerf-v0.7 benchmark contest, achieving record training times from16 to 28 seconds in four MLPerf models on the Google TPU-v3 Multipod machine.




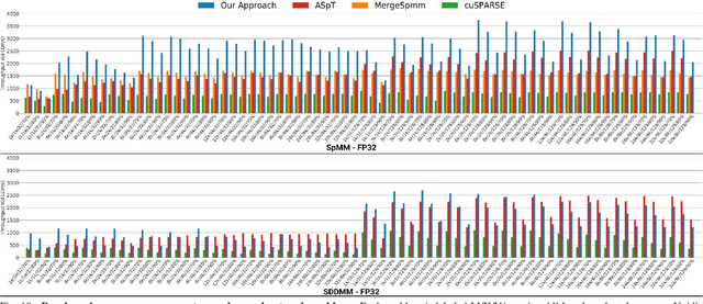
Abstract:Scientific workloads have traditionally exploited high levels of sparsity to accelerate computation and reduce memory requirements. While deep neural networks can be made sparse, achieving practical speedups on GPUs is difficult because these applications have relatively moderate levels of sparsity that are not sufficient for existing sparse kernels to outperform their dense counterparts. In this work, we study sparse matrices from deep learning applications and identify favorable properties that can be exploited to accelerate computation. Based on these insights, we develop high-performance GPU kernels for two sparse matrix operations widely applicable in neural networks: sparse matrix-dense matrix multiplication and sampled dense-dense matrix multiplication. Our kernels reach 27% of single-precision peak on Nvidia V100 GPUs. Using our kernels, we demonstrate sparse Transformer and MobileNet models that achieve 1.2-2.1x speedups and up to 12.8x memory savings without sacrificing accuracy.




Abstract:Conventional neural accelerators rely on isolated self-sufficient functional units that perform an atomic operation while communicating the results through an operand delivery-aggregation logic. Each single unit processes all the bits of their operands atomically and produce all the bits of the results in isolation. This paper explores a different design style, where each unit is only responsible for a slice of the bit-level operations to interleave and combine the benefits of bit-level parallelism with the abundant data-level parallelism in deep neural networks. A dynamic collection of these units cooperate at runtime to generate bits of the results, collectively. Such cooperation requires extracting new grouping between the bits, which is only possible if the operands and operations are vectorizable. The abundance of Data Level Parallelism and mostly repeated execution patterns, provides a unique opportunity to define and leverage this new dimension of Bit-Parallel Vector Composability. This design intersperses bit parallelism within data-level parallelism and dynamically interweaves the two together. As such, the building block of our neural accelerator is a Composable Vector Unit that is a collection of Narrower-Bitwidth Vector Engines, which are dynamically composed or decomposed at the bit granularity. Using six diverse CNN and LSTM deep networks, we evaluate this design style across four design points: with and without algorithmic bitwidth heterogeneity and with and without availability of a high-bandwidth off-chip memory. Across these four design points, Bit-Parallel Vector Composability brings (1.4x to 3.5x) speedup and (1.1x to 2.7x) energy reduction. We also comprehensively compare our design style to the Nvidia RTX 2080 TI GPU, which also supports INT-4 execution. The benefits range between 28.0x and 33.7x improvement in Performance-per-Watt.




Abstract:Machine learning is experiencing an explosion of software and hardware solutions, and needs industry-standard performance benchmarks to drive design and enable competitive evaluation. However, machine learning training presents a number of unique challenges to benchmarking that do not exist in other domains: (1) some optimizations that improve training throughput actually increase time to solution, (2) training is stochastic and time to solution has high variance, and (3) the software and hardware systems are so diverse that they cannot be fairly benchmarked with the same binary, code, or even hyperparameters. We present MLPerf, a machine learning benchmark that overcomes these challenges. We quantitatively evaluate the efficacy of MLPerf in driving community progress on performance and scalability across two rounds of results from multiple vendors.



Abstract:Batch-splitting (data-parallelism) is the dominant distributed Deep Neural Network (DNN) training strategy, due to its universal applicability and its amenability to Single-Program-Multiple-Data (SPMD) programming. However, batch-splitting suffers from problems including the inability to train very large models (due to memory constraints), high latency, and inefficiency at small batch sizes. All of these can be solved by more general distribution strategies (model-parallelism). Unfortunately, efficient model-parallel algorithms tend to be complicated to discover, describe, and to implement, particularly on large clusters. We introduce Mesh-TensorFlow, a language for specifying a general class of distributed tensor computations. Where data-parallelism can be viewed as splitting tensors and operations along the "batch" dimension, in Mesh-TensorFlow, the user can specify any tensor-dimensions to be split across any dimensions of a multi-dimensional mesh of processors. A Mesh-TensorFlow graph compiles into a SPMD program consisting of parallel operations coupled with collective communication primitives such as Allreduce. We use Mesh-TensorFlow to implement an efficient data-parallel, model-parallel version of the Transformer sequence-to-sequence model. Using TPU meshes of up to 512 cores, we train Transformer models with up to 5 billion parameters, surpassing state of the art results on WMT'14 English-to-French translation task and the one-billion-word language modeling benchmark. Mesh-Tensorflow is available at https://github.com/tensorflow/mesh .




Abstract:Neural Machine Translation (NMT) is an end-to-end learning approach for automated translation, with the potential to overcome many of the weaknesses of conventional phrase-based translation systems. Unfortunately, NMT systems are known to be computationally expensive both in training and in translation inference. Also, most NMT systems have difficulty with rare words. These issues have hindered NMT's use in practical deployments and services, where both accuracy and speed are essential. In this work, we present GNMT, Google's Neural Machine Translation system, which attempts to address many of these issues. Our model consists of a deep LSTM network with 8 encoder and 8 decoder layers using attention and residual connections. To improve parallelism and therefore decrease training time, our attention mechanism connects the bottom layer of the decoder to the top layer of the encoder. To accelerate the final translation speed, we employ low-precision arithmetic during inference computations. To improve handling of rare words, we divide words into a limited set of common sub-word units ("wordpieces") for both input and output. This method provides a good balance between the flexibility of "character"-delimited models and the efficiency of "word"-delimited models, naturally handles translation of rare words, and ultimately improves the overall accuracy of the system. Our beam search technique employs a length-normalization procedure and uses a coverage penalty, which encourages generation of an output sentence that is most likely to cover all the words in the source sentence. On the WMT'14 English-to-French and English-to-German benchmarks, GNMT achieves competitive results to state-of-the-art. Using a human side-by-side evaluation on a set of isolated simple sentences, it reduces translation errors by an average of 60% compared to Google's phrase-based production system.