Abstract:Despite the success of contrastive learning (CL) in vision and language, its theoretical foundations and mechanisms for building representations remain poorly understood. In this work, we build connections between noise contrastive estimation losses widely used in CL and distribution alignment with entropic optimal transport (OT). This connection allows us to develop a family of different losses and multistep iterative variants for existing CL methods. Intuitively, by using more information from the distribution of latents, our approach allows a more distribution-aware manipulation of the relationships within augmented sample sets. We provide theoretical insights and experimental evidence demonstrating the benefits of our approach for {\em generalized contrastive alignment}. Through this framework, it is possible to leverage tools in OT to build unbalanced losses to handle noisy views and customize the representation space by changing the constraints on alignment. By reframing contrastive learning as an alignment problem and leveraging existing optimization tools for OT, our work provides new insights and connections between different self-supervised learning models in addition to new tools that can be more easily adapted to incorporate domain knowledge into learning.
Abstract:Large Language Models (LLMs) have demonstrated remarkable abilities in tackling a wide range of complex tasks. However, their huge computational and memory costs raise significant challenges in deploying these models on resource-constrained devices or efficiently serving them. Prior approaches have attempted to alleviate these problems by permanently removing less important model structures, yet these methods often result in substantial performance degradation due to the permanent deletion of model parameters. In this work, we tried to mitigate this issue by reducing the number of active parameters without permanently removing them. Specifically, we introduce a differentiable dynamic pruning method that pushes dense models to maintain a fixed number of active parameters by converting their MLP layers into a Mixture of Experts (MoE) architecture. Our method, even without fine-tuning, consistently outperforms previous structural pruning techniques across diverse model families, including Phi-2, LLaMA-2, LLaMA-3, and Qwen-2.5.




Abstract:The rapid proliferation of large language models (LLMs) in natural language processing (NLP) has created a critical need for techniques that enable efficient deployment on memory-constrained devices without compromising performance. We present a method to prune LLMs that selectively prunes model blocks based on an importance score and replaces them with a low-parameter replacement strategy. Specifically, we propose a principled metric to replace each pruned block using a weight-sharing mechanism that leverages unpruned counterparts from the model and block-specific low-rank adapters. Furthermore, we facilitate the learning of these replacement blocks with output feature normalization and an adapter initialization scheme built on low-rank SVD reconstructions. Empirical evaluations demonstrate substantial performance gains over existing methods, achieving state-of-the-art performance on 5/6 benchmarks for a compression rate of 30% and 6/6 benchmarks for a compression rate of 40%. We also demonstrate that our approach can extend smaller models, boosting performance on 6/6 benchmarks using only ~0.3% tokens of extended training with minimal additional parameter costs.
Abstract:Large Language Models (LLMs) have achieved remarkable success in various natural language processing tasks, including language modeling, understanding, and generation. However, the increased memory and computational costs associated with these models pose significant challenges for deployment on resource-limited devices. Structural pruning has emerged as a promising solution to reduce the costs of LLMs without requiring post-processing steps. Prior structural pruning methods either follow the dependence of structures at the cost of limiting flexibility, or introduce non-trivial additional parameters by incorporating different projection matrices. In this work, we propose a novel approach that relaxes the constraint imposed by regular structural pruning methods and eliminates the structural dependence along the embedding dimension. Our dimension-independent structural pruning method offers several benefits. Firstly, our method enables different blocks to utilize different subsets of the feature maps. Secondly, by removing structural dependence, we facilitate each block to possess varying widths along its input and output dimensions, thereby significantly enhancing the flexibility of structural pruning. We evaluate our method on various LLMs, including OPT, LLaMA, LLaMA-2, Phi-1.5, and Phi-2. Experimental results demonstrate that our approach outperforms other state-of-the-art methods, showing for the first time that structural pruning can achieve an accuracy similar to semi-structural pruning.
Abstract:Large Language Models (LLMs) have reshaped the landscape of artificial intelligence by demonstrating exceptional performance across various tasks. However, substantial computational requirements make their deployment challenging on devices with limited resources. Recently, compression methods using low-rank matrix techniques have shown promise, yet these often lead to degraded accuracy or introduce significant overhead in parameters and inference latency. This paper introduces \textbf{Mo}dular \textbf{De}composition (MoDeGPT), a novel structured compression framework that does not need recovery fine-tuning while resolving the above drawbacks. MoDeGPT partitions the Transformer block into modules comprised of matrix pairs and reduces the hidden dimensions via reconstructing the module-level outputs. MoDeGPT is developed based on a theoretical framework that utilizes three well-established matrix decomposition algorithms -- Nystr\"om approximation, CR decomposition, and SVD -- and applies them to our redefined transformer modules. Our comprehensive experiments show MoDeGPT, without backward propagation, matches or surpasses previous structured compression methods that rely on gradient information, and saves 98% of compute costs on compressing a 13B model. On \textsc{Llama}-2/3 and OPT models, MoDeGPT maintains 90-95% zero-shot performance with 25-30% compression rates. Moreover, the compression can be done on a single GPU within a few hours and increases the inference throughput by up to 46%.




Abstract:Traditional language models operate autoregressively, i.e., they predict one token at a time. Rapid explosion in model sizes has resulted in high inference times. In this work, we propose DynaMo, a suite of multi-token prediction language models that reduce net inference times. Our models $\textit{dynamically}$ predict multiple tokens based on their confidence in the predicted joint probability distribution. We propose a lightweight technique to train these models, leveraging the weights of traditional autoregressive counterparts. Moreover, we propose novel ways to enhance the estimated joint probability to improve text generation quality, namely co-occurrence weighted masking and adaptive thresholding. We also propose systematic qualitative and quantitative methods to rigorously test the quality of generated text for non-autoregressive generation. One of the models in our suite, DynaMo-7.3B-T3, achieves same-quality generated text as the baseline (Pythia-6.9B) while achieving 2.57$\times$ speed-up with only 5.87% and 2.67% parameter and training time overheads, respectively.




Abstract:Classification models are expected to perform equally well for different classes, yet in practice, there are often large gaps in their performance. This issue of class bias is widely studied in cases of datasets with sample imbalance, but is relatively overlooked in balanced datasets. In this work, we introduce the concept of spectral imbalance in features as a potential source for class disparities and study the connections between spectral imbalance and class bias in both theory and practice. To build the connection between spectral imbalance and class gap, we develop a theoretical framework for studying class disparities and derive exact expressions for the per-class error in a high-dimensional mixture model setting. We then study this phenomenon in 11 different state-of-the-art pretrained encoders and show how our proposed framework can be used to compare the quality of encoders, as well as evaluate and combine data augmentation strategies to mitigate the issue. Our work sheds light on the class-dependent effects of learning, and provides new insights into how state-of-the-art pretrained features may have unknown biases that can be diagnosed through their spectra.




Abstract:Message passing neural networks have shown a lot of success on graph-structured data. However, there are many instances where message passing can lead to over-smoothing or fail when neighboring nodes belong to different classes. In this work, we introduce a simple yet general framework for improving learning in message passing neural networks. Our approach essentially upsamples edges in the original graph by adding "slow nodes" at each edge that can mediate communication between a source and a target node. Our method only modifies the input graph, making it plug-and-play and easy to use with existing models. To understand the benefits of slowing down message passing, we provide theoretical and empirical analyses. We report results on several supervised and self-supervised benchmarks, and show improvements across the board, notably in heterophilic conditions where adjacent nodes are more likely to have different labels. Finally, we show how our approach can be used to generate augmentations for self-supervised learning, where slow nodes are randomly introduced into different edges in the graph to generate multi-scale views with variable path lengths.




Abstract:Data augmentation (DA) is a powerful workhorse for bolstering performance in modern machine learning. Specific augmentations like translations and scaling in computer vision are traditionally believed to improve generalization by generating new (artificial) data from the same distribution. However, this traditional viewpoint does not explain the success of prevalent augmentations in modern machine learning (e.g. randomized masking, cutout, mixup), that greatly alter the training data distribution. In this work, we develop a new theoretical framework to characterize the impact of a general class of DA on underparameterized and overparameterized linear model generalization. Our framework reveals that DA induces implicit spectral regularization through a combination of two distinct effects: a) manipulating the relative proportion of eigenvalues of the data covariance matrix in a training-data-dependent manner, and b) uniformly boosting the entire spectrum of the data covariance matrix through ridge regression. These effects, when applied to popular augmentations, give rise to a wide variety of phenomena, including discrepancies in generalization between over-parameterized and under-parameterized regimes and differences between regression and classification tasks. Our framework highlights the nuanced and sometimes surprising impacts of DA on generalization, and serves as a testbed for novel augmentation design.



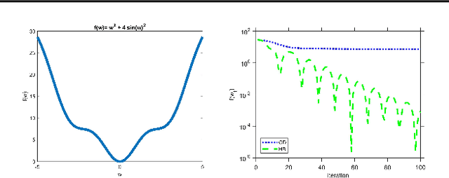
Abstract:Heavy Ball (HB) nowadays is one of the most popular momentum methods in non-convex optimization. It has been widely observed that incorporating the Heavy Ball dynamic in gradient-based methods accelerates the training process of modern machine learning models. However, the progress on establishing its theoretical foundation of acceleration is apparently far behind its empirical success. Existing provable acceleration results are of the quadratic or close-to-quadratic functions, as the current techniques of showing HB's acceleration are limited to the case when the Hessian is fixed. In this work, we develop some new techniques that help show acceleration beyond quadratics, which is achieved by analyzing how the change of the Hessian at two consecutive time points affects the convergence speed. Based on our technical results, a class of Polyak-\L{}ojasiewicz (PL) optimization problems for which provable acceleration can be achieved via HB is identified. Moreover, our analysis demonstrates a benefit of adaptively setting the momentum parameter.