



Abstract:This article introduces a control-oriented low-altitude wireless network (LAWN) that integrates near-ground communications and remote estimation of the internal system state. This integration supports reliable networked control in dynamic aerial-ground environments. First, we introduce the network's modular architecture and key performance metrics. Then, we discuss core design trade-offs across the control, communication, and estimation layers. A case study illustrates closed-loop coordination under wireless constraints. Finally, we outline future directions for scalable, resilient LAWN deployments in real-time and resource-constrained scenarios.
Abstract:Extremely large-scale multiple-input multipleoutput (XL-MIMO) enables the formation of narrow beams, effectively mitigating path loss in high-frequency communications. This capability makes the integration of wideband high-frequency communications with XL-MIMO a key enabler for future 6G networks. Realizing the full potential of such wideband XL-MIMO systems critically depends on acquiring accurate channel state information. However, this acquisition is significantly challenged by inherent wideband XLMIMO channel characteristics, including near-field propagation effects, beam split, and spatial non-stationarity. We formulate the channel estimation as a maximum a posteriori problem and propose an unrolled proximal gradient descent network. The network integrates learnable step sizes and replaces the proximal operator with a neural network to implicitly learn channel prior knowledge without requiring explicit regularization terms. To enhance the convergence behavior, we incorporated a monotonic descent constraint on the layer-wise estimation error during training. This constrained learning problem is addressed using a primal-dual training approach. Theoretical analysis is provided to characterize the duality gap and convergence behavior of the proposed method. Furthermore, simulation results are presented to validate its effectiveness, demonstrating gains in estimation accuracy over both traditional and deep learning-based methods.




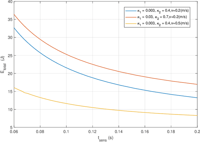
Abstract:To support future spatial machine intelligence applications, lifelong simultaneous localization and mapping (SLAM) has drawn significant attentions. SLAM is usually realized based on various types of mobile robots performing simultaneous and continuous sensing and communication. This paper focuses on analyzing the energy efficiency of robot operation for lifelong SLAM by jointly considering sensing, communication and mechanical factors. The system model is built based on a robot equipped with a 2D light detection and ranging (LiDAR) and an odometry. The cloud point raw data as well as the odometry data are wirelessly transmitted to data center where real-time map reconstruction is realized based on an unsupervised deep learning based method. The sensing duration, transmit power, transmit duration and exploration speed are jointly optimized to minimize the energy consumption. Simulations and experiments demonstrate the performance of our proposed method.




Abstract:Extremely large reconfigurable intelligent surface (XL-RIS) is emerging as a promising key technology for 6G systems. To exploit XL-RIS's full potential, accurate channel estimation is essential. This paper investigates channel estimation in XL-RIS-aided massive MIMO systems under hybrid-field scenarios where far-field and near-field channels coexist. We formulate this problem using dictionary learning, which allows for joint optimization of the dictionary and estimated channel. To handle the high-dimensional nature of XL-RIS channels, we specifically adopt a convolutional dictionary learning (CDL) formulation. The CDL formulation is cast as a bilevel optimization problem, which we solve using a gradient-based approach. To address the challenge of computing the gradient of the upper-level objective, we introduce an unrolled optimization method based on proximal gradient descent (PGD) and its special case, the iterative soft-thresholding algorithm (ISTA). We propose two neural network architectures, Convolutional ISTA-Net and its enhanced version Convolutional ISTA-Net+, for end-to-end optimization of the CDL. To overcome the limitations of linear convolutional filters in capturing complex hybrid-field channel structures, we propose the CNN-CDL approach, which enhances PGD by replacing linear convolution filters with CNN blocks in its gradient descent step, employing a learnable proximal mapping module in its proximal mapping step, and incorporating cross-layer feature integration. Simulation results demonstrate the effectiveness of the proposed methods for channel estimation in hybrid-field XL-RIS systems.




Abstract:In this paper, we study efficient channel estimation design for an extremely large-scale intelligent reflecting surface (XL-IRS) assisted multi-user communication systems, where both the base station (BS) and users are located in the near-field region of the XL-IRS. Two unique channel characteristics of XL-IRS are considered, namely, the near-field spherical wavefronts and double-sided visibility regions (VRs) at the BS and users, which render the channel estimation for XL-IRS highly challenging. To address this issue, we propose in this paper an efficient three-step XL-IRS channel estimation method. Specifically, in the first step, an anchor node is delicately deployed near the XL-IRS to estimate the cascaded BS-IRS-anchor channel. Then, an efficient VR detection method is devised to estimate the VR information between the BS and XL-IRS. In this way, only the channels from the visible XL-IRS elements to the BS are estimated, thereby reducing the dimension of the cascaded BS-IRS-users channels to be estimated. Third, by leveraging the common BS-IRS channel, the cascaded channels for all users are consecutively estimated accounting for the VRs of the IRS-user channels. Finally, numerical results are provided to demonstrate the effectiveness of our proposed channel estimation scheme as compared to various benchmark schemes.




Abstract:In this paper, we study efficient multi-beam training design for near-field communications to reduce the beam training overhead of conventional single-beam training methods. In particular, the array-division based multi-beam training method, which is widely used in far-field communications, cannot be directly applied to the near-field scenario, since different sub-arrays may observe different user angles and there exist coverage holes in the angular domain. To address these issues, we first devise a new near-field multi-beam codebook by sparsely activating a portion of antennas to form a sparse linear array (SLA), hence generating multiple beams simultaneously by effective exploiting the near-field grating-lobs. Next, a two-stage near-field beam training method is proposed, for which several candidate user locations are identified firstly based on multi-beam sweeping over time, followed by the second stage to further determine the true user location with a small number of single-beam sweeping. Finally, numerical results show that our proposed multi-beam training method significantly reduces the beam training overhead of conventional single-beam training methods, yet achieving comparable rate performance in data transmission.




Abstract:6G mobile networks aim to realize ubiquitous intelligence at the network edge via distributed learning, sensing, and data analytics. Their common operation is to aggregate high-dimensional data, which causes a communication bottleneck that cannot be resolved using traditional orthogonal multi-access schemes. A promising solution, called over-the-air computation (AirComp), exploits channels' waveform superposition property to enable simultaneous access, thereby overcoming the bottleneck. Nevertheless, its reliance on uncoded linear analog modulation exposes data to perturbation by noise and interference. Hence, the traditional analog AirComp falls short of meeting the high-reliability requirement for 6G. Overcoming the limitation of analog AirComp motivates this work, which focuses on developing a framework for digital AirComp. The proposed framework features digital modulation of each data value, integrated with the bit-slicing technique to allocate its bits to multiple symbols, thereby increasing the AirComp reliability. To optimally detect the aggregated digital symbols, we derive the optimal maximum a posteriori detector that is shown to outperform the traditional maximum likelihood detector. Furthermore, a comparative performance analysis of digital AirComp with respect to its analog counterpart with repetition coding is conducted to quantify the practical signal-to-noise ratio (SNR) regime favoring the proposed scheme. On the other hand, digital AirComp is enhanced by further development to feature awareness of heterogeneous bit importance levels and its exploitation in channel adaptation. Lastly, simulation results demonstrate the achivability of substantial reliability improvement of digital AirComp over its analog counterpart given the same channel uses.
Abstract:In mobile edge computing (MEC) systems, the wireless channel condition is a critical factor affecting both the communication power consumption and computation rate of the offloading tasks. This paper exploits the idea of cooperative transmission and employing reconfigurable intelligent surface (RIS) in MEC to improve the channel condition and maximize computation efficiency (CE). The resulting problem couples various wireless resources in both uplink and downlink, which calls for the joint design of the user association, receive/downlink beamforming vectors, transmit power of users, task partition strategies for local computing and offloading, and uplink/downlink phase shifts at the RIS. To tackle the challenges brought by the combinatorial optimization problem, the group sparsity structure of the beamforming vectors determined by user association is exploited. Furthermore, while the CE does not explicitly depend on the downlink phase shifts, instead of simply finding a feasible solution, we exploit the hidden relationship between them and convert this relationship into an explicit form for optimization. Then the resulting problem is solved via the alternating maximization framework, and the nonconvexity of each subproblem is handled individually. Simulation results show that cooperative transmission and RIS deployment can significantly improve the CE and demonstrate the importance of optimizing the downlink phase shifts with an explicit form.




Abstract:The next-generation (6G) wireless networks are expected to provide not only seamless and high data-rate communications, but also ubiquitous sensing services. By providing vast spatial degrees of freedom (DoFs), ultra-massive multiple-input multiple-output (UM-MIMO) technology is a key enabler for both sensing and communications in 6G. However, the adoption of UM-MIMO leads to a shift from the far field to the near field in terms of the electromagnetic propagation, which poses novel challenges in system design. Specifically, near-field effects introduce highly non-linear spherical wave models that render existing designs based on plane wave assumptions ineffective. In this paper, we focus on two crucial tasks in sensing and communications, respectively, i.e., localization and channel estimation, and investigate their joint design by exploring the near-field propagation characteristics, achieving mutual benefits between two tasks. In addition, multiple base stations (BSs) are leveraged to collaboratively facilitate a cooperative localization framework. To address the joint channel estimation and cooperative localization problem for near-field UM-MIMO systems, we propose a variational Newtonized near-field channel estimation (VNNCE) algorithm and a Gaussian fusion cooperative localization (GFCL) algorithm. The VNNCE algorithm exploits the spatial DoFs provided by the near-field channel to obtain position-related soft information, while the GFCL algorithm fuses this soft information to achieve more accurate localization. Additionally, we introduce a joint architecture that seamlessly integrates channel estimation and cooperative localization.




Abstract:In continual learning, networks confront a trade-off between stability and plasticity when trained on a sequence of tasks. To bolster plasticity without sacrificing stability, we propose a novel training algorithm called LRFR. This approach optimizes network parameters in the null space of the past tasks' feature representation matrix to guarantee the stability. Concurrently, we judiciously select only a subset of neurons in each layer of the network while training individual tasks to learn the past tasks' feature representation matrix in low-rank. This increases the null space dimension when designing network parameters for subsequent tasks, thereby enhancing the plasticity. Using CIFAR-100 and TinyImageNet as benchmark datasets for continual learning, the proposed approach consistently outperforms state-of-the-art methods.