Abstract:Recent progress in medical vision-language models (VLMs) has achieved strong performance on image-level text-centric tasks such as report generation and visual question answering (VQA). However, achieving fine-grained visual grounding and volumetric spatial reasoning in 3D medical VLMs remains challenging, particularly when aiming to unify these capabilities within a single, generalizable framework. To address this challenge, we proposed MedVL-SAM2, a unified 3D medical multimodal model that concurrently supports report generation, VQA, and multi-paradigm segmentation, including semantic, referring, and interactive segmentation. MedVL-SAM2 integrates image-level reasoning and pixel-level perception through a cohesive architecture tailored for 3D medical imaging, and incorporates a SAM2-based volumetric segmentation module to enable precise multi-granular spatial reasoning. The model is trained in a multi-stage pipeline: it is first pre-trained on a large-scale corpus of 3D CT image-text pairs to align volumetric visual features with radiology-language embeddings. It is then jointly optimized with both language-understanding and segmentation objectives using a comprehensive 3D CT segmentation dataset. This joint training enables flexible interaction via language, point, or box prompts, thereby unifying high-level visual reasoning with spatially precise localization. Our unified architecture delivers state-of-the-art performance across report generation, VQA, and multiple 3D segmentation tasks. Extensive analyses further show that the model provides reliable 3D visual grounding, controllable interactive segmentation, and robust cross-modal reasoning, demonstrating that high-level semantic reasoning and precise 3D localization can be jointly achieved within a unified 3D medical VLM.




Abstract:Although new vision foundation models such as Segment Anything Model 2 (SAM2) have significantly enhanced zero-shot image segmentation capabilities, reliance on human-provided prompts poses significant challenges in adapting SAM2 to medical image segmentation tasks. Moreover, SAM2's performance in medical image segmentation was limited by the domain shift issue, since it was originally trained on natural images and videos. To address these challenges, we proposed SAM2 with support-set guided prompting (SAM2-SGP), a framework that eliminated the need for manual prompts. The proposed model leveraged the memory mechanism of SAM2 to generate pseudo-masks using image-mask pairs from a support set via a Pseudo-mask Generation (PMG) module. We further introduced a novel Pseudo-mask Attention (PMA) module, which used these pseudo-masks to automatically generate bounding boxes and enhance localized feature extraction by guiding attention to relevant areas. Furthermore, a low-rank adaptation (LoRA) strategy was adopted to mitigate the domain shift issue. The proposed framework was evaluated on both 2D and 3D datasets across multiple medical imaging modalities, including fundus photography, X-ray, computed tomography (CT), magnetic resonance imaging (MRI), positron emission tomography (PET), and ultrasound. The results demonstrated a significant performance improvement over state-of-the-art models, such as nnUNet and SwinUNet, as well as foundation models, such as SAM2 and MedSAM2, underscoring the effectiveness of the proposed approach. Our code is publicly available at https://github.com/astlian9/SAM_Support.




Abstract:Most publicly available medical segmentation datasets are only partially labeled, with annotations provided for a subset of anatomical structures. When multiple datasets are combined for training, this incomplete annotation poses challenges, as it limits the model's ability to learn shared anatomical representations among datasets. Furthermore, vision-only frameworks often fail to capture complex anatomical relationships and task-specific distinctions, leading to reduced segmentation accuracy and poor generalizability to unseen datasets. In this study, we proposed a novel CLIP-DINO Prompt-Driven Segmentation Network (CDPDNet), which combined a self-supervised vision transformer with CLIP-based text embedding and introduced task-specific text prompts to tackle these challenges. Specifically, the framework was constructed upon a convolutional neural network (CNN) and incorporated DINOv2 to extract both fine-grained and global visual features, which were then fused using a multi-head cross-attention module to overcome the limited long-range modeling capability of CNNs. In addition, CLIP-derived text embeddings were projected into the visual space to help model complex relationships among organs and tumors. To further address the partial label challenge and enhance inter-task discriminative capability, a Text-based Task Prompt Generation (TTPG) module that generated task-specific prompts was designed to guide the segmentation. Extensive experiments on multiple medical imaging datasets demonstrated that CDPDNet consistently outperformed existing state-of-the-art segmentation methods. Code and pretrained model are available at: https://github.com/wujiong-hub/CDPDNet.git.




Abstract:Effective processing, interpretation, and management of sensor data have emerged as a critical component of cyber-physical systems. Traditionally, processing sensor data requires profound theoretical knowledge and proficiency in signal-processing tools. However, recent works show that Large Language Models (LLMs) have promising capabilities in processing sensory data, suggesting their potential as copilots for developing sensing systems. To explore this potential, we construct a comprehensive benchmark, SensorBench, to establish a quantifiable objective. The benchmark incorporates diverse real-world sensor datasets for various tasks. The results show that while LLMs exhibit considerable proficiency in simpler tasks, they face inherent challenges in processing compositional tasks with parameter selections compared to engineering experts. Additionally, we investigate four prompting strategies for sensor processing and show that self-verification can outperform all other baselines in 48% of tasks. Our study provides a comprehensive benchmark and prompting analysis for future developments, paving the way toward an LLM-based sensor processing copilot.




Abstract:Nowadays, large-scale foundation models are being increasingly integrated into numerous safety-critical applications, including human-autonomy teaming (HAT) within transportation, medical, and defence domains. Consequently, the inherent 'black-box' nature of these sophisticated deep neural networks heightens the significance of fostering mutual understanding and trust between humans and autonomous systems. To tackle the transparency challenges in HAT, this paper conducts a thoughtful study on the underexplored domain of Explainable Interface (EI) in HAT systems from a human-centric perspective, thereby enriching the existing body of research in Explainable Artificial Intelligence (XAI). We explore the design, development, and evaluation of EI within XAI-enhanced HAT systems. To do so, we first clarify the distinctions between these concepts: EI, explanations and model explainability, aiming to provide researchers and practitioners with a structured understanding. Second, we contribute to a novel framework for EI, addressing the unique challenges in HAT. Last, our summarized evaluation framework for ongoing EI offers a holistic perspective, encompassing model performance, human-centered factors, and group task objectives. Based on extensive surveys across XAI, HAT, psychology, and Human-Computer Interaction (HCI), this review offers multiple novel insights into incorporating XAI into HAT systems and outlines future directions.




Abstract:This study introduces an innovative violence detection framework tailored to the unique requirements of smart airports, where prompt responses to violent situations are crucial. The proposed framework harnesses the power of ViTPose for human pose estimation. It employs a CNN - BiLSTM network to analyse spatial and temporal information within keypoints sequences, enabling the accurate classification of violent behaviour in real time. Seamlessly integrated within the SAFE (Situational Awareness for Enhanced Security framework of SAAB, the solution underwent integrated testing to ensure robust performance in real world scenarios. The AIRTLab dataset, characterized by its high video quality and relevance to surveillance scenarios, is utilized in this study to enhance the model's accuracy and mitigate false positives. As airports face increased foot traffic in the post pandemic era, implementing AI driven violence detection systems, such as the one proposed, is paramount for improving security, expediting response times, and promoting data informed decision making. The implementation of this framework not only diminishes the probability of violent events but also assists surveillance teams in effectively addressing potential threats, ultimately fostering a more secure and protected aviation sector. Codes are available at: https://github.com/Asami-1/GDP.




Abstract:Interest in autonomous driving (AD) and intelligent vehicles (IVs) is growing at a rapid pace due to the convenience, safety, and economic benefits. Although a number of surveys have reviewed research achievements in this field, they are still limited in specific tasks and lack systematic summaries and research directions in the future. Our work is divided into 3 independent articles and the first part is a Survey of Surveys (SoS) for total technologies of AD and IVs that involves the history, summarizes the milestones, and provides the perspectives, ethics, and future research directions. This is the second part (Part \uppercase\expandafter{\romannumeral1} for this technical survey) to review the development of control, computing system design, communication, High Definition map (HD map), testing, and human behaviors in IVs. In addition, the third part (Part \uppercase\expandafter{\romannumeral2} for this technical survey) is to review the perception and planning sections. The objective of this paper is to involve all the sections of AD, summarize the latest technical milestones, and guide abecedarians to quickly understand the development of AD and IVs. Combining the SoS and Part \uppercase\expandafter{\romannumeral2}, we anticipate that this work will bring novel and diverse insights to researchers and abecedarians, and serve as a bridge between past and future.




Abstract:Interest in autonomous driving (AD) and intelligent vehicles (IVs) is growing at a rapid pace due to the convenience, safety, and economic benefits. Although a number of surveys have reviewed research achievements in this field, they are still limited in specific tasks, lack of systematic summary and research directions in the future. Here we propose a Survey of Surveys (SoS) for total technologies of AD and IVs that reviews the history, summarizes the milestones, and provides the perspectives, ethics, and future research directions. To our knowledge, this article is the first SoS with milestones in AD and IVs, which constitutes our complete research work together with two other technical surveys. We anticipate that this article will bring novel and diverse insights to researchers and abecedarians, and serve as a bridge between past and future.




Abstract:Future airports are becoming more complex and congested with the increasing number of travellers. While the airports are more likely to become hotspots for potential conflicts to break out which can cause serious delays to flights and several safety issues. An intelligent algorithm which renders security surveillance more effective in detecting conflicts would bring many benefits to the passengers in terms of their safety, finance, and travelling efficiency. This paper details the development of a machine learning model to classify conflicting behaviour in a crowd. HRNet is used to segment the images and then two approaches are taken to classify the poses of people in the frame via multiple classifiers. Among them, it was found that the support vector machine (SVM) achieved the most performant achieving precision of 94.37%. Where the model falls short is against ambiguous behaviour such as a hug or losing track of a subject in the frame. The resulting model has potential for deployment within an airport if improvements are made to cope with the vast number of potential passengers in view as well as training against further ambiguous behaviours which will arise in an airport setting. In turn, will provide the capability to enhance security surveillance and improve airport safety.




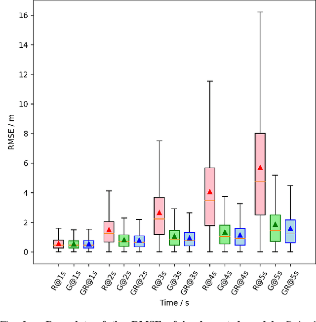
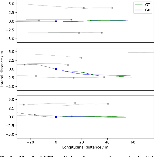
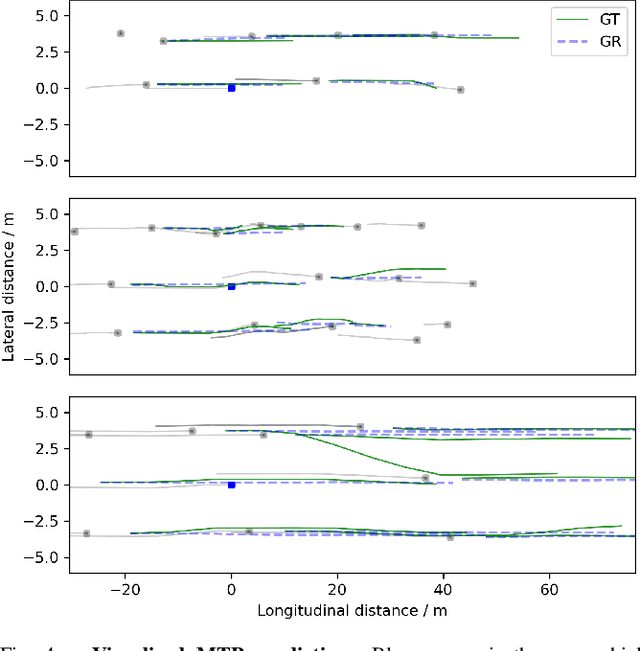
Abstract:Integrating trajectory prediction to the decision-making and planning modules of modular autonomous driving systems is expected to improve the safety and efficiency of self-driving vehicles. However, a vehicle's future trajectory prediction is a challenging task since it is affected by the social interactive behaviors of neighboring vehicles, and the number of neighboring vehicles can vary in different situations. This work proposes a GNN-RNN based Encoder-Decoder network for interaction-aware trajectory prediction, where vehicles' dynamics features are extracted from their historical tracks using RNN, and the inter-vehicular interaction is represented by a directed graph and encoded using a GNN. The parallelism of GNN implies the proposed method's potential to predict multi-vehicular trajectories simultaneously. Evaluation on the dataset extracted from the NGSIM US-101 dataset shows that the proposed model is able to predict a target vehicle's trajectory in situations with a variable number of surrounding vehicles.