Abstract:In this work, we present a novel technique for GPU-accelerated Boolean satisfiability (SAT) sampling. Unlike conventional sampling algorithms that directly operate on conjunctive normal form (CNF), our method transforms the logical constraints of SAT problems by factoring their CNF representations into simplified multi-level, multi-output Boolean functions. It then leverages gradient-based optimization to guide the search for a diverse set of valid solutions. Our method operates directly on the circuit structure of refactored SAT instances, reinterpreting the SAT problem as a supervised multi-output regression task. This differentiable technique enables independent bit-wise operations on each tensor element, allowing parallel execution of learning processes. As a result, we achieve GPU-accelerated sampling with significant runtime improvements ranging from $33.6\times$ to $523.6\times$ over state-of-the-art heuristic samplers. We demonstrate the superior performance of our sampling method through an extensive evaluation on $60$ instances from a public domain benchmark suite utilized in previous studies.
Abstract:Recent advances in state-of-the-art DNN architecture design have been moving toward Transformer models. These models achieve superior accuracy across a wide range of applications. This trend has been consistent over the past several years since Transformer models were originally introduced. However, the amount of compute and bandwidth required for inference of recent Transformer models is growing at a significant rate, and this has made their deployment in latency-sensitive applications challenging. As such, there has been an increased focus on making Transformer models more efficient, with methods that range from changing the architecture design, all the way to developing dedicated domain-specific accelerators. In this work, we survey different approaches for efficient Transformer inference, including: (i) analysis and profiling of the bottlenecks in existing Transformer architectures and their similarities and differences with previous convolutional models; (ii) implications of Transformer architecture on hardware, including the impact of non-linear operations such as Layer Normalization, Softmax, and GELU, as well as linear operations, on hardware design; (iii) approaches for optimizing a fixed Transformer architecture; (iv) challenges in finding the right mapping and scheduling of operations for Transformer models; and (v) approaches for optimizing Transformer models by adapting the architecture using neural architecture search. Finally, we perform a case study by applying the surveyed optimizations on Gemmini, the open-source, full-stack DNN accelerator generator, and we show how each of these approaches can yield improvements, compared to previous benchmark results on Gemmini. Among other things, we find that a full-stack co-design approach with the aforementioned methods can result in up to 88.7x speedup with a minimal performance degradation for Transformer inference.




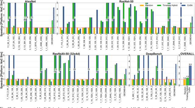
Abstract:Recent advances in Deep Neural Networks (DNNs) have led to active development of specialized DNN accelerators, many of which feature a large number of processing elements laid out spatially, together with a multi-level memory hierarchy and flexible interconnect. While DNN accelerators can take advantage of data reuse and achieve high peak throughput, they also expose a large number of runtime parameters to the programmers who need to explicitly manage how computation is scheduled both spatially and temporally. In fact, different scheduling choices can lead to wide variations in performance and efficiency, motivating the need for a fast and efficient search strategy to navigate the vast scheduling space. To address this challenge, we present CoSA, a constrained-optimization-based approach for scheduling DNN accelerators. As opposed to existing approaches that either rely on designers' heuristics or iterative methods to navigate the search space, CoSA expresses scheduling decisions as a constrained-optimization problem that can be deterministically solved using mathematical optimization techniques. Specifically, CoSA leverages the regularities in DNN operators and hardware to formulate the DNN scheduling space into a mixed-integer programming (MIP) problem with algorithmic and architectural constraints, which can be solved to automatically generate a highly efficient schedule in one shot. We demonstrate that CoSA-generated schedules significantly outperform state-of-the-art approaches by a geometric mean of up to 2.5x across a wide range of DNN networks while improving the time-to-solution by 90x.




Abstract:Automatic algorithm-hardware co-design for DNN has shown great success in improving the performance of DNNs on FPGAs. However, this process remains challenging due to the intractable search space of neural network architectures and hardware accelerator implementation. Differing from existing hardware-aware neural architecture search (NAS) algorithms that rely solely on the expensive learning-based approaches, our work incorporates integer programming into the search algorithm to prune the design space. Given a set of hardware resource constraints, our integer programming formulation directly outputs the optimal accelerator configuration for mapping a DNN subgraph that minimizes latency. We use an accuracy predictor for different DNN subgraphs with different quantization schemes and generate accuracy-latency pareto frontiers. With low computational cost, our algorithm can generate quantized networks that achieve state-of-the-art accuracy and hardware performance on Xilinx Zynq (ZU3EG) FPGA for image classification on ImageNet dataset. The solution searched by our algorithm achieves 72.5% top-1 accuracy on ImageNet at framerate 50, which is 60% faster than MnasNet and 135% faster than FBNet with comparable accuracy.




Abstract:Quantization is one of the key techniques used to make Neural Networks (NNs) faster and more energy efficient. However, current low precision quantization algorithms often have the hidden cost of conversion back and forth from floating point to quantized integer values. This hidden cost limits the latency improvement realized by quantizing NNs. To address this, we present HAWQV3, a novel dyadic quantization framework. The contributions of HAWQV3 are the following. (i) The entire inference process consists of only integer multiplication, addition, and bit shifting in INT4/8 mixed precision, without any floating point operations/casting or even integer division. (ii) We pose the mixed-precision quantization as an integer linear programming problem, where the bit precision setting is computed to minimize model perturbation, while observing application specific constraints on memory footprint, latency, and BOPS. (iii) To verify our approach, we develop the first open source 4-bit mixed-precision quantization in TVM, and we directly deploy the quantized models to T4 GPUs using only the Turing Tensor Cores. We observe an average speed up of $1.45\times$ for uniform 4-bit, as compared to uniform 8-bit, precision for ResNet50. (iv) We extensively test the proposed dyadic quantization approach on multiple different NNs, including ResNet18/50 and InceptionV3, for various model compression levels with/without mixed precision. For instance, we achieve an accuracy of $78.50\%$ with dyadic INT8 quantization, which is more than $4\%$ higher than prior integer-only work for InceptionV3. Furthermore, we show that mixed-precision INT4/8 quantization can be used to achieve higher speed ups, as compared to INT8 inference, with minimal impact on accuracy. For example, for ResNet50 we can reduce INT8 latency by $23\%$ with mixed precision and still achieve $76.73\%$ accuracy.




Abstract:Deploying deep learning models on embedded systems for computer vision tasks has been challenging due to limited compute resources and strict energy budgets. The majority of existing work focuses on accelerating image classification, while other fundamental vision problems, such as object detection, have not been adequately addressed. Compared with image classification, detection problems are more sensitive to the spatial variance of objects, and therefore, require specialized convolutions to aggregate spatial information. To address this, recent work proposes dynamic deformable convolution to augment regular convolutions. Regular convolutions process a fixed grid of pixels across all the spatial locations in an image, while dynamic deformable convolution may access arbitrary pixels in the image and the access pattern is input-dependent and varies per spatial location. These properties lead to inefficient memory accesses of inputs with existing hardware. In this work, we first investigate the overhead of the deformable convolution on embedded FPGA SoCs, and introduce a depthwise deformable convolution to reduce the total number of operations required. We then show the speed-accuracy tradeoffs for a set of algorithm modifications including irregular-access versus limited-range and fixed-shape. We evaluate these algorithmic changes with corresponding hardware optimizations. Results show a 1.36x and 9.76x speedup respectively for the full and depthwise deformable convolution on the embedded FPGA accelerator with minor accuracy loss on the object detection task. We then co-design an efficient network CoDeNet with the modified deformable convolution for object detection and quantize the network to 4-bit weights and 8-bit activations. Results show that our designs lie on the pareto-optimal front of the latency-accuracy tradeoff for the object detection task on embedded FPGAs




Abstract:We explore applying the Monte Carlo Tree Search (MCTS) algorithm in a notoriously difficult task: tuning programs for high-performance deep learning and image processing. We build our framework on top of Halide and show that MCTS can outperform the state-of-the-art beam-search algorithm. Unlike beam search, which is guided by greedy intermediate performance comparisons between partial and less meaningful schedules, MCTS compares complete schedules and looks ahead before making any intermediate scheduling decision. We further explore modifications to the standard MCTS algorithm as well as combining real execution time measurements with the cost model. Our results show that MCTS can outperform beam search on a suite of 16 real benchmarks.




Abstract:The performance of the code a compiler generates depends on the order in which it applies the optimization passes. Choosing a good order--often referred to as the phase-ordering problem, is an NP-hard problem. As a result, existing solutions rely on a variety of heuristics. In this paper, we evaluate a new technique to address the phase-ordering problem: deep reinforcement learning. To this end, we implement AutoPhase: a framework that takes a program and uses deep reinforcement learning to find a sequence of compilation passes that minimizes its execution time. Without loss of generality, we construct this framework in the context of the LLVM compiler toolchain and target high-level synthesis programs. We use random forests to quantify the correlation between the effectiveness of a given pass and the program's features. This helps us reduce the search space by avoiding phase orderings that are unlikely to improve the performance of a given program. We compare the performance of AutoPhase to state-of-the-art algorithms that address the phase-ordering problem. In our evaluation, we show that AutoPhase improves circuit performance by 28% when compared to using the -O3 compiler flag, and achieves competitive results compared to the state-of-the-art solutions, while requiring fewer samples. Furthermore, unlike existing state-of-the-art solutions, our deep reinforcement learning solution shows promising result in generalizing to real benchmarks and 12,874 different randomly generated programs, after training on a hundred randomly generated programs.


Abstract:FPGAs provide a flexible and efficient platform to accelerate rapidly-changing algorithms for computer vision. The majority of existing work focuses on accelerating image classification, while other fundamental vision problems, including object detection and instance segmentation, have not been adequately addressed. Compared with image classification, detection problems are more sensitive to the spatial variance of objects, and therefore, require specialized convolutions to aggregate spatial information. To address this, recent work proposes dynamic deformable convolution to augment regular convolutions. Regular convolutions process a fixed grid of pixels across all the spatial locations in an image, while dynamic deformable convolutions may access arbitrary pixels in the image and the access pattern is input-dependent and varies per spatial location. These properties lead to inefficient memory accesses of inputs with existing hardware. In this work, we first investigate the overhead of the deformable convolution on embedded FPGA SoCs, and then show the accuracy-latency tradeoffs for a set of algorithm modifications including full versus depthwise, fixed-shape, and limited-range. These modifications benefit the energy efficiency for embedded devices in general as they reduce the compute complexity. We then build an efficient object detection network with modified deformable convolutions and quantize the network using state-of-the-art quantization methods. We implement a unified hardware engine on FPGA to support all the operations in the network. Preliminary experiments show that little accuracy is compromised and speedup can be achieved with our co-design optimization for the deformable convolution.




Abstract:NVDLA is an open-source deep neural network (DNN) accelerator which has received a lot of attention by the community since its introduction by Nvidia. It is a full-featured hardware IP and can serve as a good reference for conducting research and development of SoCs with integrated accelerators. However, an expensive FPGA board is required to do experiments with this IP in a real SoC. Moreover, since NVDLA is clocked at a lower frequency on an FPGA, it would be hard to do accurate performance analysis with such a setup. To overcome these limitations, we integrate NVDLA into a real RISC-V SoC on the Amazon could FPGA using FireSim, a cycle-exact FPGA-accelerated simulator. We then evaluate the performance of NVDLA by running YOLOv3 object-detection algorithm. Our results show that NVDLA can sustain 7.5 fps when running YOLOv3. We further analyze the performance by showing that sharing the last-level cache with NVDLA can result in up to 1.56x speedup. We then identify that sharing the memory system with the accelerator can result in unpredictable execution time for the real-time tasks running on this platform. We believe this is an important issue that must be addressed in order for on-chip DNN accelerators to be incorporated in real-time embedded systems.