Abstract:Improving the diversity of generated results while maintaining high visual quality remains a significant challenge in image generation tasks. Fractal Generative Models (FGMs) are efficient in generating high-quality images, but their inherent self-similarity limits the diversity of output images. To address this issue, we propose a novel approach based on the Hausdorff Dimension (HD), a widely recognized concept in fractal geometry used to quantify structural complexity, which aids in enhancing the diversity of generated outputs. To incorporate HD into FGM, we propose a learnable HD estimation method that predicts HD directly from image embeddings, addressing computational cost concerns. However, simply introducing HD into a hybrid loss is insufficient to enhance diversity in FGMs due to: 1) degradation of image quality, and 2) limited improvement in generation diversity. To this end, during training, we adopt an HD-based loss with a monotonic momentum-driven scheduling strategy to progressively optimize the hyperparameters, obtaining optimal diversity without sacrificing visual quality. Moreover, during inference, we employ HD-guided rejection sampling to select geometrically richer outputs. Extensive experiments on the ImageNet dataset demonstrate that our FGM-HD framework yields a 39\% improvement in output diversity compared to vanilla FGMs, while preserving comparable image quality. To our knowledge, this is the very first work introducing HD into FGM. Our method effectively enhances the diversity of generated outputs while offering a principled theoretical contribution to FGM development.




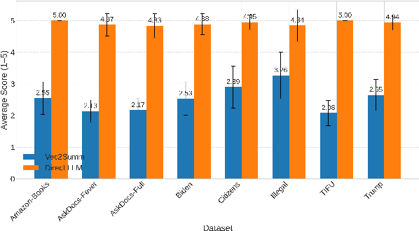
Abstract:We propose Vec2Summ, a novel method for abstractive summarization that frames the task as semantic compression. Vec2Summ represents a document collection using a single mean vector in the semantic embedding space, capturing the central meaning of the corpus. To reconstruct fluent summaries, we perform embedding inversion -- decoding this mean vector into natural language using a generative language model. To improve reconstruction quality and capture some degree of topical variability, we introduce stochasticity by sampling from a Gaussian distribution centered on the mean. This approach is loosely analogous to bagging in ensemble learning, where controlled randomness encourages more robust and varied outputs. Vec2Summ addresses key limitations of LLM-based summarization methods. It avoids context-length constraints, enables interpretable and controllable generation via semantic parameters, and scales efficiently with corpus size -- requiring only $O(d + d^2)$ parameters. Empirical results show that Vec2Summ produces coherent summaries for topically focused, order-invariant corpora, with performance comparable to direct LLM summarization in terms of thematic coverage and efficiency, albeit with less fine-grained detail. These results underscore Vec2Summ's potential in settings where scalability, semantic control, and corpus-level abstraction are prioritized.




Abstract:Online shopping is a complex multi-task, few-shot learning problem with a wide and evolving range of entities, relations, and tasks. However, existing models and benchmarks are commonly tailored to specific tasks, falling short of capturing the full complexity of online shopping. Large Language Models (LLMs), with their multi-task and few-shot learning abilities, have the potential to profoundly transform online shopping by alleviating task-specific engineering efforts and by providing users with interactive conversations. Despite the potential, LLMs face unique challenges in online shopping, such as domain-specific concepts, implicit knowledge, and heterogeneous user behaviors. Motivated by the potential and challenges, we propose Shopping MMLU, a diverse multi-task online shopping benchmark derived from real-world Amazon data. Shopping MMLU consists of 57 tasks covering 4 major shopping skills: concept understanding, knowledge reasoning, user behavior alignment, and multi-linguality, and can thus comprehensively evaluate the abilities of LLMs as general shop assistants. With Shopping MMLU, we benchmark over 20 existing LLMs and uncover valuable insights about practices and prospects of building versatile LLM-based shop assistants. Shopping MMLU can be publicly accessed at https://github.com/KL4805/ShoppingMMLU. In addition, with Shopping MMLU, we host a competition in KDD Cup 2024 with over 500 participating teams. The winning solutions and the associated workshop can be accessed at our website https://amazon-kddcup24.github.io/.




Abstract:With the rapid advances in diffusion models, generating decent images from text prompts is no longer challenging. The key to text-to-image generation is how to optimize the results of a text-to-image generation model so that they can be better aligned with human intentions or prompts. Existing optimization methods commonly treat the entire image uniformly and conduct global optimization. These methods overlook the fact that when viewing an image, the human visual system naturally prioritizes attention toward salient areas, often neglecting less or non-salient regions. That is, humans are likely to neglect optimizations in non-salient areas. Consequently, although model retaining is conducted under the guidance of additional large and multimodality models, existing methods, which perform uniform optimizations, yield sub-optimal results. To address this alignment challenge effectively and efficiently, we propose Saliency Guided Optimization Of Diffusion Latents (SGOOL). We first employ a saliency detector to mimic the human visual attention system and mark out the salient regions. To avoid retraining an additional model, our method directly optimizes the diffusion latents. Besides, SGOOL utilizes an invertible diffusion process and endows it with the merits of constant memory implementation. Hence, our method becomes a parameter-efficient and plug-and-play fine-tuning method. Extensive experiments have been done with several metrics and human evaluation. Experimental results demonstrate the superiority of SGOOL in image quality and prompt alignment.




Abstract:We present FastLexRank\footnote{https://github.com/LiMaoUM/FastLexRank}, an efficient and scalable implementation of the LexRank algorithm for text ranking. Designed to address the computational and memory complexities of the original LexRank method, FastLexRank significantly reduces time and memory requirements from $\mathcal{O}(n^2)$ to $\mathcal{O}(n)$ without compromising the quality or accuracy of the results. By employing an optimized approach to calculating the stationary distribution of sentence graphs, FastLexRank maintains an identical results with the original LexRank scores while enhancing computational efficiency. This paper details the algorithmic improvements that enable the processing of large datasets, such as social media corpora, in real-time. Empirical results demonstrate its effectiveness, and we propose its use in identifying central tweets, which can be further analyzed using advanced NLP techniques. FastLexRank offers a scalable solution for text centrality calculation, addressing the growing need for efficient processing of digital content.
Abstract:In the rapidly evolving landscape of Natural Language Processing (NLP), the use of Large Language Models (LLMs) for automated text annotation in social media posts has garnered significant interest. Despite the impressive innovations in developing LLMs like ChatGPT, their efficacy, and accuracy as annotation tools are not well understood. In this paper, we analyze the performance of eight open-source and proprietary LLMs for annotating the stance expressed in social media posts, benchmarking their performance against human annotators' (i.e., crowd-sourced) judgments. Additionally, we investigate the conditions under which LLMs are likely to disagree with human judgment. A significant finding of our study is that the explicitness of text expressing a stance plays a critical role in how faithfully LLMs' stance judgments match humans'. We argue that LLMs perform well when human annotators do, and when LLMs fail, it often corresponds to situations in which human annotators struggle to reach an agreement. We conclude with recommendations for a comprehensive approach that combines the precision of human expertise with the scalability of LLM predictions. This study highlights the importance of improving the accuracy and comprehensiveness of automated stance detection, aiming to advance these technologies for more efficient and unbiased analysis of social media.




Abstract:Fairness-aware classification models have gained increasing attention in recent years as concerns grow on discrimination against some demographic groups. Most existing models require full knowledge of the sensitive features, which can be impractical due to privacy, legal issues, and an individual's fear of discrimination. The key challenge we will address is the group dependency of the unavailability, e.g., people of some age range may be more reluctant to reveal their age. Our solution augments general fairness risks with probabilistic imputations of the sensitive features, while jointly learning the group-conditionally missing probabilities in a variational auto-encoder. Our model is demonstrated effective on both image and tabular datasets, achieving an improved balance between accuracy and fairness.




Abstract:The current practice in land cover/land use change analysis relies heavily on the individually classified maps of the multitemporal data set. Due to varying acquisition conditions (e.g., illumination, sensors, seasonal differences), the classification maps yielded are often inconsistent through time for robust statistical analysis. 3D geometric features have been shown to be stable for assessing differences across the temporal data set. Therefore, in this article we investigate he use of a multitemporal orthophoto and digital surface model derived from satellite data for spatiotemporal classification. Our approach consists of two major steps: generating per-class probability distribution maps using the random-forest classifier with limited training samples, and making spatiotemporal inferences using an iterative 3D spatiotemporal filter operating on per-class probability maps. Our experimental results demonstrate that the proposed methods can consistently improve the individual classification results by 2%-6% and thus can be an important postclassification refinement approach.


Abstract:Speech emotion recognition (SER) is a key technology to enable more natural human-machine communication. However, SER has long suffered from a lack of public large-scale labeled datasets. To circumvent this problem, we investigate how unsupervised representation learning on unlabeled datasets can benefit SER. We show that the contrastive predictive coding (CPC) method can learn salient representations from unlabeled datasets, which improves emotion recognition performance. In our experiments, this method achieved state-of-the-art concordance correlation coefficient (CCC) performance for all emotion primitives (activation, valence, and dominance) on IEMOCAP. Additionally, on the MSP- Podcast dataset, our method obtained considerable performance improvements compared to baselines.




Abstract:Underpinning the success of deep learning is effective regularizations that allow a variety of priors in data to be modeled. For example, robustness to adversarial perturbations, and correlations between multiple modalities. However, most regularizers are specified in terms of hidden layer outputs, which are not themselves optimization variables. In contrast to prevalent methods that optimize them indirectly through model weights, we propose inserting proximal mapping as a new layer to the deep network, which directly and explicitly produces well regularized hidden layer outputs. The resulting technique is shown well connected to kernel warping and dropout, and novel algorithms were developed for robust temporal learning and multiview modeling, both outperforming state-of-the-art methods.