



Abstract:Quantifying the uncertainty in the factual parametric knowledge of Large Language Models (LLMs), especially in a black-box setting, poses a significant challenge. Existing methods, which gauge a model's uncertainty through evaluating self-consistency in responses to the original query, do not always capture true uncertainty. Models might respond consistently to the origin query with a wrong answer, yet respond correctly to varied questions from different perspectives about the same query, and vice versa. In this paper, we propose a novel method, DiverseAgentEntropy, for evaluating a model's uncertainty using multi-agent interaction under the assumption that if a model is certain, it should consistently recall the answer to the original query across a diverse collection of questions about the same original query. We further implement an abstention policy to withhold responses when uncertainty is high. Our method offers a more accurate prediction of the model's reliability and further detects hallucinations, outperforming other self-consistency-based methods. Additionally, it demonstrates that existing models often fail to consistently retrieve the correct answer to the same query under diverse varied questions even when knowing the correct answer.




Abstract:Aligning Large Language Models (LLM) to address subjectivity and nuanced preference levels requires adequate flexibility and control, which can be a resource-intensive and time-consuming procedure. Existing training-time alignment methods require full re-training when a change is needed and inference-time ones typically require access to the reward model at each inference step. To address these limitations, we introduce inference-time model alignment method that learns encoded representations of preference dimensions, called \textit{Alignment Vectors} (AV). These representations are computed by subtraction of the base model from the aligned model as in model editing enabling dynamically adjusting the model behavior during inference through simple linear operations. Even though the preference dimensions can span various granularity levels, here we focus on three gradual response levels across three specialized domains: medical, legal, and financial, exemplifying its practical potential. This new alignment paradigm introduces adjustable preference knobs during inference, allowing users to tailor their LLM outputs while reducing the inference cost by half compared to the prompt engineering approach. Additionally, we find that AVs are transferable across different fine-tuning stages of the same model, demonstrating their flexibility. AVs also facilitate multidomain, diverse preference alignment, making the process 12x faster than the retraining approach.
Abstract:Neural models have drastically advanced state of the art for machine translation (MT) between high-resource languages. Traditionally, these models rely on large amounts of training data, but many language pairs lack these resources. However, an important part of the languages in the world do not have this amount of data. Most languages from the Americas are among them, having a limited amount of parallel and monolingual data, if any. Here, we present an introduction to the interested reader to the basic challenges, concepts, and techniques that involve the creation of MT systems for these languages. Finally, we discuss the recent advances and findings and open questions, product of an increased interest of the NLP community in these languages.



Abstract:In recent years machine translation has become very successful for high-resource language pairs. This has also sparked new interest in research on the automatic translation of low-resource languages, including Indigenous languages. However, the latter are deeply related to the ethnic and cultural groups that speak (or used to speak) them. The data collection, modeling and deploying machine translation systems thus result in new ethical questions that must be addressed. Motivated by this, we first survey the existing literature on ethical considerations for the documentation, translation, and general natural language processing for Indigenous languages. Afterward, we conduct and analyze an interview study to shed light on the positions of community leaders, teachers, and language activists regarding ethical concerns for the automatic translation of their languages. Our results show that the inclusion, at different degrees, of native speakers and community members is vital to performing better and more ethical research on Indigenous languages.




Abstract:Data sparsity is one of the main challenges posed by Code-switching (CS), which is further exacerbated in the case of morphologically rich languages. For the task of Machine Translation (MT), morphological segmentation has proven successful in alleviating data sparsity in monolingual contexts; however, it has not been investigated for CS settings. In this paper, we study the effectiveness of different segmentation approaches on MT performance, covering morphology-based and frequency-based segmentation techniques. We experiment on MT from code-switched Arabic-English to English. We provide detailed analysis, examining a variety of conditions, such as data size and sentences with different degrees in CS. Empirical results show that morphology-aware segmenters perform the best in segmentation tasks but under-perform in MT. Nevertheless, we find that the choice of the segmentation setup to use for MT is highly dependent on the data size. For extreme low-resource scenarios, a combination of frequency and morphology-based segmentations is shown to perform the best. For more resourced settings, such a combination does not bring significant improvements over the use of frequency-based segmentation.




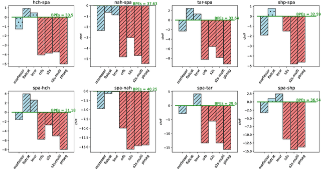
Abstract:Morphologically-rich polysynthetic languages present a challenge for NLP systems due to data sparsity, and a common strategy to handle this issue is to apply subword segmentation. We investigate a wide variety of supervised and unsupervised morphological segmentation methods for four polysynthetic languages: Nahuatl, Raramuri, Shipibo-Konibo, and Wixarika. Then, we compare the morphologically inspired segmentation methods against Byte-Pair Encodings (BPEs) as inputs for machine translation (MT) when translating to and from Spanish. We show that for all language pairs except for Nahuatl, an unsupervised morphological segmentation algorithm outperforms BPEs consistently and that, although supervised methods achieve better segmentation scores, they under-perform in MT challenges. Finally, we contribute two new morphological segmentation datasets for Raramuri and Shipibo-Konibo, and a parallel corpus for Raramuri--Spanish.




Abstract:This paper describes the submission to the IWSLT 2021 Low-Resource Speech Translation Shared Task by IMS team. We utilize state-of-the-art models combined with several data augmentation, multi-task and transfer learning approaches for the automatic speech recognition (ASR) and machine translation (MT) steps of our cascaded system. Moreover, we also explore the feasibility of a full end-to-end speech translation (ST) model in the case of very constrained amount of ground truth labeled data. Our best system achieves the best performance among all submitted systems for Congolese Swahili to English and French with BLEU scores 7.7 and 13.7 respectively, and the second best result for Coastal Swahili to English with BLEU score 14.9.




Abstract:Pretrained multilingual models are able to perform cross-lingual transfer in a zero-shot setting, even for languages unseen during pretraining. However, prior work evaluating performance on unseen languages has largely been limited to low-level, syntactic tasks, and it remains unclear if zero-shot learning of high-level, semantic tasks is possible for unseen languages. To explore this question, we present AmericasNLI, an extension of XNLI (Conneau et al., 2018) to 10 indigenous languages of the Americas. We conduct experiments with XLM-R, testing multiple zero-shot and translation-based approaches. Additionally, we explore model adaptation via continued pretraining and provide an analysis of the dataset by considering hypothesis-only models. We find that XLM-R's zero-shot performance is poor for all 10 languages, with an average performance of 38.62%. Continued pretraining offers improvements, with an average accuracy of 44.05%. Surprisingly, training on poorly translated data by far outperforms all other methods with an accuracy of 48.72%.




Abstract:Canonical morphological segmentation consists of dividing words into their standardized morphemes. Here, we are interested in approaches for the task when training data is limited. We compare model performance in a simulated low-resource setting for the high-resource languages German, English, and Indonesian to experiments on new datasets for the truly low-resource languages Popoluca and Tepehua. We explore two new models for the task, borrowing from the closely related area of morphological generation: an LSTM pointer-generator and a sequence-to-sequence model with hard monotonic attention trained with imitation learning. We find that, in the low-resource setting, the novel approaches outperform existing ones on all languages by up to 11.4% accuracy. However, while accuracy in emulated low-resource scenarios is over 50% for all languages, for the truly low-resource languages Popoluca and Tepehua, our best model only obtains 37.4% and 28.4% accuracy, respectively. Thus, we conclude that canonical segmentation is still a challenging task for low-resource languages.




Abstract:Meaning Representations (AMRs) are broad-coverage sentence-level semantic graphs. Existing approaches to generating text from AMR have focused on training sequence-to-sequence or graph-to-sequence models on AMR annotated data only. In this paper, we propose an alternative approach that combines a strong pre-trained language model with cycle consistency-based re-scoring. Despite the simplicity of the approach, our experimental results show these models outperform all previous techniques on the English LDC2017T10dataset, including the recent use of transformer architectures. In addition to the standard evaluation metrics, we provide human evaluation experiments that further substantiate the strength of our approach.