Abstract:Capturing human learning behavior based on deep learning methods has become a major research focus in both psychology and intelligent systems. Recent approaches rely on controlled experiments or rule-based models to explore cognitive processes. However, they struggle to capture learning dynamics, track progress over time, or provide explainability. To address these challenges, we introduce LearnerAgent, a novel multi-agent framework based on Large Language Models (LLMs) to simulate a realistic teaching environment. To explore human-like learning dynamics, we construct learners with psychologically grounded profiles-such as Deep, Surface, and Lazy-as well as a persona-free General Learner to inspect the base LLM's default behavior. Through weekly knowledge acquisition, monthly strategic choices, periodic tests, and peer interaction, we can track the dynamic learning progress of individual learners over a full-year journey. Our findings are fourfold: 1) Longitudinal analysis reveals that only Deep Learner achieves sustained cognitive growth. Our specially designed "trap questions" effectively diagnose Surface Learner's shallow knowledge. 2) The behavioral and cognitive patterns of distinct learners align closely with their psychological profiles. 3) Learners' self-concept scores evolve realistically, with the General Learner developing surprisingly high self-efficacy despite its cognitive limitations. 4) Critically, the default profile of base LLM is a "diligent but brittle Surface Learner"-an agent that mimics the behaviors of a good student but lacks true, generalizable understanding. Extensive simulation experiments demonstrate that LearnerAgent aligns well with real scenarios, yielding more insightful findings about LLMs' behavior.




Abstract:Pancreatic cancer is projected to become the second-deadliest malignancy in Western countries by 2030, highlighting the urgent need for better early detection. Intraductal papillary mucinous neoplasms (IPMNs), key precursors to pancreatic cancer, are challenging to assess with current guidelines, often leading to unnecessary surgeries or missed malignancies. We present Cyst-X, an AI framework that predicts IPMN malignancy using multicenter MRI data, leveraging MRI's superior soft tissue contrast over CT. Trained on 723 T1- and 738 T2-weighted scans from 764 patients across seven institutions, our models (AUC=0.82) significantly outperform both Kyoto guidelines (AUC=0.75) and expert radiologists. The AI-derived imaging features align with known clinical markers and offer biologically meaningful insights. We also demonstrate strong performance in a federated learning setting, enabling collaborative training without sharing patient data. To promote privacy-preserving AI development and improve IPMN risk stratification, the Cyst-X dataset is released as the first large-scale, multi-center pancreatic cysts MRI dataset.
Abstract:Empirical Risk Minimization (ERM) models often rely on spurious correlations between features and labels during the learning process, leading to shortcut learning behavior that undermines robustness generalization performance. Current research mainly targets identifying or mitigating a single shortcut; however, in real-world scenarios, cues within the data are diverse and unknown. In empirical studies, we reveal that the models rely to varying extents on different shortcuts. Compared to weak shortcuts, models depend more heavily on strong shortcuts, resulting in their poor generalization ability. To address these challenges, we propose MiMu, a novel method integrated with Transformer-based ERMs designed to Mitigate Multiple shortcut learning behavior, which incorporates self-calibration strategy and self-improvement strategy. In the source model, we preliminarily propose the self-calibration strategy to prevent the model from relying on shortcuts and make overconfident predictions. Then, we further design self-improvement strategy in target model to reduce the reliance on multiple shortcuts. The random mask strategy involves randomly masking partial attention positions to diversify the focus of target model other than concentrating on a fixed region. Meanwhile, the adaptive attention alignment module facilitates the alignment of attention weights to the calibrated source model, without the need for post-hoc attention maps or supervision. Finally, extensive experiments conducted on Natural Language Processing (NLP) and Computer Vision (CV) demonstrate the effectiveness of MiMu in improving robustness generalization abilities.




Abstract:Large Language Models (LLMs) have shown remarkable capabilities in various natural language processing tasks. However, LLMs may rely on dataset biases as shortcuts for prediction, which can significantly impair their robustness and generalization capabilities. This paper presents Shortcut Suite, a comprehensive test suite designed to evaluate the impact of shortcuts on LLMs' performance, incorporating six shortcut types, five evaluation metrics, and four prompting strategies. Our extensive experiments yield several key findings: 1) LLMs demonstrate varying reliance on shortcuts for downstream tasks, significantly impairing their performance. 2) Larger LLMs are more likely to utilize shortcuts under zero-shot and few-shot in-context learning prompts. 3) Chain-of-thought prompting notably reduces shortcut reliance and outperforms other prompting strategies, while few-shot prompts generally underperform compared to zero-shot prompts. 4) LLMs often exhibit overconfidence in their predictions, especially when dealing with datasets that contain shortcuts. 5) LLMs generally have a lower explanation quality in shortcut-laden datasets, with errors falling into three types: distraction, disguised comprehension, and logical fallacy. Our findings offer new insights for evaluating robustness and generalization in LLMs and suggest potential directions for mitigating the reliance on shortcuts. The code is available at \url {https://github.com/yyhappier/ShortcutSuite.git}.




Abstract:With the development of legal intelligence, Criminal Court View Generation has attracted much attention as a crucial task of legal intelligence, which aims to generate concise and coherent texts that summarize case facts and provide explanations for verdicts. Existing researches explore the key information in case facts to yield the court views. Most of them employ a coarse-grained approach that partitions the facts into broad segments (e.g., verdict-related sentences) to make predictions. However, this approach fails to capture the complex details present in the case facts, such as various criminal elements and legal events. To this end, in this paper, we propose an Event Grounded Generation (EGG) method for criminal court view generation with cooperative (Large) Language Models, which introduces the fine-grained event information into the generation. Specifically, we first design a LLMs-based extraction method that can extract events in case facts without massive annotated events. Then, we incorporate the extracted events into court view generation by merging case facts and events. Besides, considering the computational burden posed by the use of LLMs in the extraction phase of EGG, we propose a LLMs-free EGG method that can eliminate the requirement for event extraction using LLMs in the inference phase. Extensive experimental results on a real-world dataset clearly validate the effectiveness of our proposed method.




Abstract:Objective: Bleeding from gastroesophageal varices (GEV) is a medical emergency associated with high mortality. We aim to construct an artificial intelligence-based model of two-dimensional shear wave elastography (2D-SWE) of the liver and spleen to precisely assess the risk of GEV and high-risk gastroesophageal varices (HRV). Design: A prospective multicenter study was conducted in patients with compensated advanced chronic liver disease. 305 patients were enrolled from 12 hospitals, and finally 265 patients were included, with 1136 liver stiffness measurement (LSM) images and 1042 spleen stiffness measurement (SSM) images generated by 2D-SWE. We leveraged deep learning methods to uncover associations between image features and patient risk, and thus conducted models to predict GEV and HRV. Results: A multi-modality Deep Learning Risk Prediction model (DLRP) was constructed to assess GEV and HRV, based on LSM and SSM images, and clinical information. Validation analysis revealed that the AUCs of DLRP were 0.91 for GEV (95% CI 0.90 to 0.93, p < 0.05) and 0.88 for HRV (95% CI 0.86 to 0.89, p < 0.01), which were significantly and robustly better than canonical risk indicators, including the value of LSM and SSM. Moreover, DLPR was better than the model using individual parameters, including LSM and SSM images. In HRV prediction, the 2D-SWE images of SSM outperform LSM (p < 0.01). Conclusion: DLRP shows excellent performance in predicting GEV and HRV over canonical risk indicators LSM and SSM. Additionally, the 2D-SWE images of SSM provided more information for better accuracy in predicting HRV than the LSM.




Abstract:The sparse LiDAR point clouds become more and more popular in various applications, e.g., the autonomous driving. However, for this type of data, there exists much under-explored space in the corresponding compression framework proposed by MPEG, i.e., geometry-based point cloud compression (G-PCC). In G-PCC, only the distance-based similarity is considered in the intra prediction for the attribute compression. In this paper, we propose a normal-based intra prediction scheme, which provides a more efficient lossless attribute compression by introducing the normals of point clouds. The angle between normals is used to further explore accurate local similarity, which optimizes the selection of predictors. We implement our method into the G-PCC reference software. Experimental results over LiDAR acquired datasets demonstrate that our proposed method is able to deliver better compression performance than the G-PCC anchor, with $2.1\%$ gains on average for lossless attribute coding.




Abstract:LiDAR point cloud frame interpolation, which synthesizes the intermediate frame between the captured frames, has emerged as an important issue for many applications. Especially for reducing the amounts of point cloud transmission, it is by predicting the intermediate frame based on the reference frames to upsample data to high frame rate ones. However, due to high-dimensional and sparse characteristics of point clouds, it is more difficult to predict the intermediate frame for LiDAR point clouds than videos. In this paper, we propose a novel LiDAR point cloud frame interpolation method, which exploits range images (RIs) as an intermediate representation with CNNs to conduct the frame interpolation process. Considering the inherited characteristics of RIs differ from that of color images, we introduce spatially adaptive convolutions to extract range features adaptively, while a high-efficient flow estimation method is presented to generate optical flows. The proposed model then warps the input frames and range features, based on the optical flows to synthesize the interpolated frame. Extensive experiments on the KITTI dataset have clearly demonstrated that our method consistently achieves superior frame interpolation results with better perceptual quality to that of using state-of-the-art video frame interpolation methods. The proposed method could be integrated into any LiDAR point cloud compression systems for inter prediction.




Abstract:In recent years, the LiDAR images, as a 2D compact representation of 3D LiDAR point clouds, are widely applied in various tasks, e.g., 3D semantic segmentation, LiDAR point cloud compression (PCC). Among these works, the optical flow estimation for LiDAR image sequences has become a key issue, especially for the motion estimation of the inter prediction in PCC. However, the existing optical flow estimation models are likely to be unreliable for LiDAR images. In this work, we first propose a light-weight flow estimation model for LiDAR image sequences. The key novelty of our method lies in two aspects. One is that for the different characteristics (with the spatial-variation feature distribution) of the LiDAR images w.r.t. the normal color images, we introduce the attention mechanism into our model to improve the quality of the estimated flow. The other one is that to tackle the lack of large-scale LiDAR-image annotations, we present an unsupervised method, which directly minimizes the inconsistency between the reference image and the reconstructed image based on the estimated optical flow. Extensive experimental results have shown that our proposed model outperforms other mainstream models on the KITTI dataset, with much fewer parameters.




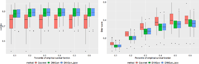
Abstract:There has been increasing interest in modeling survival data using deep learning methods in medical research. In this paper, we proposed a Bayesian hierarchical deep neural networks model for modeling and prediction of survival data. Compared with previously studied methods, the new proposal can provide not only point estimate of survival probability but also quantification of the corresponding uncertainty, which can be of crucial importance in predictive modeling and subsequent decision making. The favorable statistical properties of point and uncertainty estimates were demonstrated by simulation studies and real data analysis. The Python code implementing the proposed approach was provided.