Abstract:Automatic search for Multi-Agent Systems has recently emerged as a key focus in agentic AI research. Several prior approaches have relied on LLM-based free-form search over the code space. In this work, we propose a more structured framework that explores the same space through a fixed set of simple, composable components. We show that, despite lacking the generative flexibility of LLMs during the candidate generation stage, our method outperforms prior approaches on four out of five benchmarks across two domains: mathematics and question answering. Furthermore, our method offers additional advantages, including a more cost-efficient search process and the generation of modular, interpretable multi-agent systems with simpler logic.




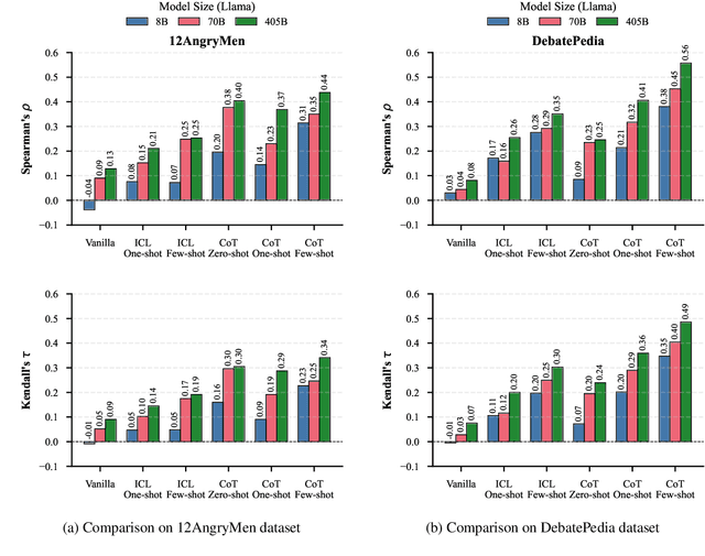
Abstract:Large Language Models (LLMs) excel at linear reasoning tasks but remain underexplored on non-linear structures such as those found in natural debates, which are best expressed as argument graphs. We evaluate whether LLMs can approximate structured reasoning from Computational Argumentation Theory (CAT). Specifically, we use Quantitative Argumentation Debate (QuAD) semantics, which assigns acceptability scores to arguments based on their attack and support relations. Given only dialogue-formatted debates from two NoDE datasets, models are prompted to rank arguments without access to the underlying graph. We test several LLMs under advanced instruction strategies, including Chain-of-Thought and In-Context Learning. While models show moderate alignment with QuAD rankings, performance degrades with longer inputs or disrupted discourse flow. Advanced prompting helps mitigate these effects by reducing biases related to argument length and position. Our findings highlight both the promise and limitations of LLMs in modeling formal argumentation semantics and motivate future work on graph-aware reasoning.




Abstract:People often ask questions with false assumptions, a type of question that does not have regular answers. Answering such questions require first identifying the false assumptions. Large Language Models (LLMs) often generate misleading answers because of hallucinations. In this paper, we focus on identifying and answering questions with false assumptions in several domains. We first investigate to reduce the problem to fact verification. Then, we present an approach leveraging external evidence to mitigate hallucinations. Experiments with five LLMs demonstrate that (1) incorporating retrieved evidence is beneficial and (2) generating and validating atomic assumptions yields more improvements and provides an interpretable answer by specifying the false assumptions.
Abstract:Understanding how news narratives frame entities is crucial for studying media's impact on societal perceptions of events. In this paper, we evaluate the zero-shot capabilities of large language models (LLMs) in classifying framing roles. Through systematic experimentation, we assess the effects of input context, prompting strategies, and task decomposition. Our findings show that a hierarchical approach of first identifying broad roles and then fine-grained roles, outperforms single-step classification. We also demonstrate that optimal input contexts and prompts vary across task levels, highlighting the need for subtask-specific strategies. We achieve a Main Role Accuracy of 89.4% and an Exact Match Ratio of 34.5%, demonstrating the effectiveness of our approach. Our findings emphasize the importance of tailored prompt design and input context optimization for improving LLM performance in entity framing.




Abstract:Negation has been a long-standing challenge for language models. Previous studies have shown that they struggle with negation in many natural language understanding tasks. In this work, we propose a self-supervised method to make language models more robust against negation. We introduce a novel task, Next Sentence Polarity Prediction (NSPP), and a variation of the Next Sentence Prediction (NSP) task. We show that BERT and RoBERTa further pre-trained on our tasks outperform the off-the-shelf versions on nine negation-related benchmarks. Most notably, our pre-training tasks yield between 1.8% and 9.1% improvement on CondaQA, a large question-answering corpus requiring reasoning over negation.




Abstract:Hate speech (HS) erodes the inclusiveness of online users and propagates negativity and division. Counterspeech has been recognized as a way to mitigate the harmful consequences. While some research has investigated the impact of user-generated counterspeech on social media platforms, few have examined and modeled haters' reactions toward counterspeech, despite the immediate alteration of haters' attitudes being an important aspect of counterspeech. This study fills the gap by analyzing the impact of counterspeech from the hater's perspective, focusing on whether the counterspeech leads the hater to reenter the conversation and if the reentry is hateful. We compile the Reddit Echoes of Hate dataset (ReEco), which consists of triple-turn conversations featuring haters' reactions, to assess the impact of counterspeech. The linguistic analysis sheds insights on the language of counterspeech to hate eliciting different haters' reactions. Experimental results demonstrate that the 3-way classification model outperforms the two-stage reaction predictor, which first predicts reentry and then determines the reentry type. We conclude the study with an assessment showing the most common errors identified by the best-performing model.




Abstract:Counterspeech is a targeted response to counteract and challenge abusive or hateful content. It can effectively curb the spread of hatred and foster constructive online communication. Previous studies have proposed different strategies for automatically generated counterspeech. Evaluations, however, focus on the relevance, surface form, and other shallow linguistic characteristics. In this paper, we investigate the human likeness of AI-generated counterspeech, a critical factor influencing effectiveness. We implement and evaluate several LLM-based generation strategies, and discover that AI-generated and human-written counterspeech can be easily distinguished by both simple classifiers and humans. Further, we reveal differences in linguistic characteristics, politeness, and specificity.




Abstract:In-context learning (ICL) has proven to be an effective strategy for improving the performance of large language models (LLMs) with no additional training. However, the exact mechanism behind these performance improvements remains unclear. This study is the first to show how ICL surfaces memorized training data and to explore the correlation between this memorization and performance across various ICL regimes: zero-shot, few-shot, and many-shot. Our most notable findings include: (1) ICL significantly surfaces memorization compared to zero-shot learning in most cases; (2) demonstrations, without their labels, are the most effective element in surfacing memorization; (3) ICL improves performance when the surfaced memorization in few-shot regimes reaches a high level (about 40%); and (4) there is a very strong correlation between performance and memorization in ICL when it outperforms zero-shot learning. Overall, our study uncovers a hidden phenomenon -- memorization -- at the core of ICL, raising an important question: to what extent do LLMs truly generalize from demonstrations in ICL, and how much of their success is due to memorization?




Abstract:This paper introduces UnSeenTimeQA, a novel time-sensitive question-answering (TSQA) benchmark that diverges from traditional TSQA benchmarks by avoiding factual and web-searchable queries. We present a series of time-sensitive event scenarios decoupled from real-world factual information. It requires large language models (LLMs) to engage in genuine temporal reasoning, disassociating from the knowledge acquired during the pre-training phase. Our evaluation of six open-source LLMs (ranging from 2B to 70B in size) and three closed-source LLMs reveal that the questions from the UnSeenTimeQA present substantial challenges. This indicates the models' difficulties in handling complex temporal reasoning scenarios. Additionally, we present several analyses shedding light on the models' performance in answering time-sensitive questions.




Abstract:This work is motivated by two key trends. On one hand, large language models (LLMs) have shown remarkable versatility in various generative tasks such as writing, drawing, and question answering, significantly reducing the time required for many routine tasks. On the other hand, researchers, whose work is not only time-consuming but also highly expertise-demanding, face increasing challenges as they have to spend more time reading, writing, and reviewing papers. This raises the question: how can LLMs potentially assist researchers in alleviating their heavy workload? This study focuses on the topic of LLMs assist NLP Researchers, particularly examining the effectiveness of LLM in assisting paper (meta-)reviewing and its recognizability. To address this, we constructed the ReviewCritique dataset, which includes two types of information: (i) NLP papers (initial submissions rather than camera-ready) with both human-written and LLM-generated reviews, and (ii) each review comes with "deficiency" labels and corresponding explanations for individual segments, annotated by experts. Using ReviewCritique, this study explores two threads of research questions: (i) "LLMs as Reviewers", how do reviews generated by LLMs compare with those written by humans in terms of quality and distinguishability? (ii) "LLMs as Metareviewers", how effectively can LLMs identify potential issues, such as Deficient or unprofessional review segments, within individual paper reviews? To our knowledge, this is the first work to provide such a comprehensive analysis.