



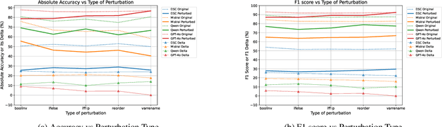
Abstract:LLMs have been extensively used for the task of automated code generation. In this work, we examine the applicability of LLMs for the related but relatively unexplored task of code-equivalence checking, i.e., given two programs, whether they are functionally equivalent or not. This is an important problem since benchmarking code equivalence can play a critical role in evaluating LLM capabilities for tasks such as code re-writing and code translation. Towards this end, we present CETBench - Code Equivalence with Transformations Benchmark, constructed via a repository of programs, where two programs in the repository may be solving the same or different tasks. Each instance in our dataset is obtained by taking a pair of programs in the repository and applying a random series of pre-defined code transformations, resulting in (non-)equivalent pairs. Our analysis on this dataset reveals a surprising finding that very simple code transformations in the underlying pair of programs can result in a significant drop in performance of SOTA LLMs for the task of code-equivalence checking. To remedy this, we present a simple fine-tuning-based approach to boost LLM performance on the transformed pairs of programs. Our approach for dataset generation is generic, and can be used with repositories with varying program difficulty levels and allows for applying varying numbers as well as kinds of transformations. In our experiments, we perform ablations over the difficulty level of original programs, as well as the kind of transformations used in generating pairs for equivalence checking. Our analysis presents deep insights into the working of LLMs for the task of code-equivalence, and points to the fact that they may still be far from what could be termed as a semantic understanding of the underlying code.




Abstract:Retrieval-Augmented Generation (RAG) has emerged as a prominent method for incorporating domain knowledge into Large Language Models (LLMs). While RAG enhances response relevance by incorporating retrieved domain knowledge in the context, retrieval errors can still lead to hallucinations and incorrect answers. To recover from retriever failures, domain knowledge is injected by fine-tuning the model to generate the correct response, even in the case of retrieval errors. However, we observe that without systematic knowledge augmentation, fine-tuned LLMs may memorize new information but still fail to extract relevant domain knowledge, leading to poor performance. In this work, we present a novel framework that significantly enhances the fine-tuning process by augmenting the training data in two ways -- context augmentation and knowledge paraphrasing. In context augmentation, we create multiple training samples for a given QA pair by varying the relevance of the retrieved information, teaching the model when to ignore and when to rely on retrieved content. In knowledge paraphrasing, we fine-tune with multiple answers to the same question, enabling LLMs to better internalize specialized knowledge. To mitigate catastrophic forgetting due to fine-tuning, we add a domain-specific identifier to a question and also utilize a replay buffer containing general QA pairs. Experimental results demonstrate the efficacy of our method over existing techniques, achieving up to 10\% relative gain in token-level recall while preserving the LLM's generalization capabilities.
Abstract:Fine-tuning Large Language Models (LLMs) on specific datasets is a common practice to improve performance on target tasks. However, this performance gain often leads to overfitting, where the model becomes too specialized in either the task or the characteristics of the training data, resulting in a loss of generalization. This paper introduces Selective Self-to-Supervised Fine-Tuning (S3FT), a fine-tuning approach that achieves better performance than the standard supervised fine-tuning (SFT) while improving generalization. S3FT leverages the existence of multiple valid responses to a query. By utilizing the model's correct responses, S3FT reduces model specialization during the fine-tuning stage. S3FT first identifies the correct model responses from the training set by deploying an appropriate judge. Then, it fine-tunes the model using the correct model responses and the gold response (or its paraphrase) for the remaining samples. The effectiveness of S3FT is demonstrated through experiments on mathematical reasoning, Python programming and reading comprehension tasks. The results show that standard SFT can lead to an average performance drop of up to $4.4$ on multiple benchmarks, such as MMLU and TruthfulQA. In contrast, S3FT reduces this drop by half, i.e. $2.5$, indicating better generalization capabilities than SFT while performing significantly better on the fine-tuning tasks.




Abstract:While forward reasoning (i.e. find the answer given the question) has been explored extensively in the recent literature, backward reasoning is relatively unexplored. We examine the backward reasoning capabilities of LLMs on Math Word Problems (MWPs): given a mathematical question and its answer, with some details omitted from the question, can LLMs effectively retrieve the missing information? In this paper, we formally define the backward reasoning task on math word problems and modify three datasets to evaluate this task: GSM8k, SVAMP and MultiArith. Our findings show a significant drop in the accuracy of models on backward reasoning compared to forward reasoning across four SOTA LLMs (GPT4, GPT3.5, PaLM-2, and LLaMa-2). Utilizing the specific format of this task, we propose three novel techniques that improve performance: Rephrase reformulates the given problem into a forward reasoning problem, PAL-Tools combines the idea of Program-Aided LLMs to produce a set of equations that can be solved by an external solver, and Check your Work exploits the availability of natural verifier of high accuracy in the forward direction, interleaving solving and verification steps. Finally, realizing that each of our base methods correctly solves a different set of problems, we propose a novel Bayesian formulation for creating an ensemble over these base methods aided by a verifier to further boost the accuracy by a significant margin. Extensive experimentation demonstrates that our techniques successively improve the performance of LLMs on the backward reasoning task, with the final ensemble-based method resulting in a substantial performance gain compared to the raw LLMs with standard prompting techniques such as chain-of-thought.




Abstract:We are interested in image manipulation via natural language text -- a task that is useful for multiple AI applications but requires complex reasoning over multi-modal spaces. We extend recently proposed Neuro Symbolic Concept Learning (NSCL), which has been quite effective for the task of Visual Question Answering (VQA), for the task of image manipulation. Our system referred to as NeuroSIM can perform complex multi-hop reasoning over multi-object scenes and only requires weak supervision in the form of annotated data for VQA. NeuroSIM parses an instruction into a symbolic program, based on a Domain Specific Language (DSL) comprising of object attributes and manipulation operations, that guides its execution. We create a new dataset for the task, and extensive experiments demonstrate that NeuroSIM is highly competitive with or beats SOTA baselines that make use of supervised data for manipulation.




Abstract:Knowledge Base Question Answering (KBQA) systems have the goal of answering complex natural language questions by reasoning over relevant facts retrieved from Knowledge Bases (KB). One of the major challenges faced by these systems is their inability to retrieve all relevant facts due to factors such as incomplete KB and entity/relation linking errors. In this paper, we address this particular challenge for systems handling a specific category of questions called temporal questions, where answer derivation involve reasoning over facts asserting point/intervals of time for various events. We propose a novel approach where a targeted temporal fact extraction technique is used to assist KBQA whenever it fails to retrieve temporal facts from the KB. We use $\lambda$-expressions of the questions to logically represent the component facts and the reasoning steps needed to derive the answer. This allows us to spot those facts that failed to get retrieved from the KB and generate textual queries to extract them from the textual resources in an open-domain question answering fashion. We evaluated our approach on a benchmark temporal question answering dataset considering Wikidata and Wikipedia respectively as the KB and textual resource. Experimental results show a significant $\sim$30\% relative improvement in answer accuracy, demonstrating the effectiveness of our approach.




Abstract:Knowledge Base Question Answering (KBQA) tasks that involve complex reasoning are emerging as an important research direction. However, most existing KBQA datasets focus primarily on generic multi-hop reasoning over explicit facts, largely ignoring other reasoning types such as temporal, spatial, and taxonomic reasoning. In this paper, we present a benchmark dataset for temporal reasoning, TempQA-WD, to encourage research in extending the present approaches to target a more challenging set of complex reasoning tasks. Specifically, our benchmark is a temporal question answering dataset with the following advantages: (a) it is based on Wikidata, which is the most frequently curated, openly available knowledge base, (b) it includes intermediate sparql queries to facilitate the evaluation of semantic parsing based approaches for KBQA, and (c) it generalizes to multiple knowledge bases: Freebase and Wikidata. The TempQA-WD dataset is available at https://github.com/IBM/tempqa-wd.




Abstract:Knowledge Base Question Answering (KBQA) tasks that in-volve complex reasoning are emerging as an important re-search direction. However, most KBQA systems struggle withgeneralizability, particularly on two dimensions: (a) acrossmultiple reasoning types where both datasets and systems haveprimarily focused on multi-hop reasoning, and (b) across mul-tiple knowledge bases, where KBQA approaches are specif-ically tuned to a single knowledge base. In this paper, wepresent SYGMA, a modular approach facilitating general-izability across multiple knowledge bases and multiple rea-soning types. Specifically, SYGMA contains three high levelmodules: 1) KB-agnostic question understanding module thatis common across KBs 2) Rules to support additional reason-ing types and 3) KB-specific question mapping and answeringmodule to address the KB-specific aspects of the answer ex-traction. We demonstrate effectiveness of our system by evalu-ating on datasets belonging to two distinct knowledge bases,DBpedia and Wikidata. In addition, to demonstrate extensi-bility to additional reasoning types we evaluate on multi-hopreasoning datasets and a new Temporal KBQA benchmarkdataset on Wikidata, namedTempQA-WD1, introduced in thispaper. We show that our generalizable approach has bettercompetetive performance on multiple datasets on DBpediaand Wikidata that requires both multi-hop and temporal rea-soning




Abstract:Knowledge Graph Question Answering (KGQA) has become a prominent area in natural language processing due to the emergence of large-scale Knowledge Graphs (KGs). Recently Neural Machine Translation based approaches are gaining momentum that translates natural language queries to structured query languages thereby solving the KGQA task. However, most of these methods struggle with out-of-vocabulary words where test entities and relations are not seen during training time. In this work, we propose a modular two-stage neural architecture to solve the KGQA task. The first stage generates a sketch of the target SPARQL called SPARQL silhouette for the input question. This comprises of (1) Noise simulator to facilitate out-of-vocabulary words and to reduce vocabulary size (2) seq2seq model for text to SPARQL silhouette generation. The second stage is a Neural Graph Search Module. SPARQL silhouette generated in the first stage is distilled in the second stage by substituting precise relation in the predicted structure. We simulate ideal and realistic scenarios by designing a noise simulator. Experimental results show that the quality of generated SPARQL silhouette in the first stage is outstanding for the ideal scenarios but for realistic scenarios (i.e. noisy linker), the quality of the resulting SPARQL silhouette drops drastically. However, our neural graph search module recovers it considerably. We show that our method can achieve reasonable performance improving the state-of-art by a margin of 3.72% F1 for the LC-QuAD-1 dataset. We believe, our proposed approach is novel and will lead to dynamic KGQA solutions that are suited for practical applications.




Abstract:Knowledge base question answering (KBQA) is an important task in Natural Language Processing. Existing approaches face significant challenges including complex question understanding, necessity for reasoning, and lack of large training datasets. In this work, we propose a semantic parsing and reasoning-based Neuro-Symbolic Question Answering(NSQA) system, that leverages (1) Abstract Meaning Representation (AMR) parses for task-independent question under-standing; (2) a novel path-based approach to transform AMR parses into candidate logical queries that are aligned to the KB; (3) a neuro-symbolic reasoner called Logical Neural Net-work (LNN) that executes logical queries and reasons over KB facts to provide an answer; (4) system of systems approach,which integrates multiple, reusable modules that are trained specifically for their individual tasks (e.g. semantic parsing,entity linking, and relationship linking) and do not require end-to-end training data. NSQA achieves state-of-the-art performance on QALD-9 and LC-QuAD 1.0. NSQA's novelty lies in its modular neuro-symbolic architecture and its task-general approach to interpreting natural language questions.