



Abstract:We present Movie Gen, a cast of foundation models that generates high-quality, 1080p HD videos with different aspect ratios and synchronized audio. We also show additional capabilities such as precise instruction-based video editing and generation of personalized videos based on a user's image. Our models set a new state-of-the-art on multiple tasks: text-to-video synthesis, video personalization, video editing, video-to-audio generation, and text-to-audio generation. Our largest video generation model is a 30B parameter transformer trained with a maximum context length of 73K video tokens, corresponding to a generated video of 16 seconds at 16 frames-per-second. We show multiple technical innovations and simplifications on the architecture, latent spaces, training objectives and recipes, data curation, evaluation protocols, parallelization techniques, and inference optimizations that allow us to reap the benefits of scaling pre-training data, model size, and training compute for training large scale media generation models. We hope this paper helps the research community to accelerate progress and innovation in media generation models. All videos from this paper are available at https://go.fb.me/MovieGenResearchVideos.




Abstract:In this paper, we introduce Fairy, a minimalist yet robust adaptation of image-editing diffusion models, enhancing them for video editing applications. Our approach centers on the concept of anchor-based cross-frame attention, a mechanism that implicitly propagates diffusion features across frames, ensuring superior temporal coherence and high-fidelity synthesis. Fairy not only addresses limitations of previous models, including memory and processing speed. It also improves temporal consistency through a unique data augmentation strategy. This strategy renders the model equivariant to affine transformations in both source and target images. Remarkably efficient, Fairy generates 120-frame 512x384 videos (4-second duration at 30 FPS) in just 14 seconds, outpacing prior works by at least 44x. A comprehensive user study, involving 1000 generated samples, confirms that our approach delivers superior quality, decisively outperforming established methods.




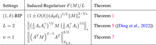
Abstract:Recent works on over-parameterized neural networks have shown that the stochasticity in optimizers has the implicit regularization effect of minimizing the sharpness of the loss function (in particular, the trace of its Hessian) over the family zero-loss solutions. More explicit forms of flatness regularization also empirically improve the generalization performance. However, it remains unclear why and when flatness regularization leads to better generalization. This work takes the first step toward understanding the inductive bias of the minimum trace of the Hessian solutions in an important setting: learning deep linear networks from linear measurements, also known as \emph{deep matrix factorization}. We show that for all depth greater than one, with the standard Restricted Isometry Property (RIP) on the measurements, minimizing the trace of Hessian is approximately equivalent to minimizing the Schatten 1-norm of the corresponding end-to-end matrix parameters (i.e., the product of all layer matrices), which in turn leads to better generalization. We empirically verify our theoretical findings on synthetic datasets.




Abstract:Machine learning models have been shown to inherit biases from their training datasets, which can be particularly problematic for vision-language foundation models trained on uncurated datasets scraped from the internet. The biases can be amplified and propagated to downstream applications like zero-shot classifiers and text-to-image generative models. In this study, we propose a general approach for debiasing vision-language foundation models by projecting out biased directions in the text embedding. In particular, we show that debiasing only the text embedding with a calibrated projection matrix suffices to yield robust classifiers and fair generative models. The closed-form solution enables easy integration into large-scale pipelines, and empirical results demonstrate that our approach effectively reduces social bias and spurious correlation in both discriminative and generative vision-language models without the need for additional data or training.




Abstract:Optimal transport aligns samples across distributions by minimizing the transportation cost between them, e.g., the geometric distances. Yet, it ignores coherence structure in the data such as clusters, does not handle outliers well, and cannot integrate new data points. To address these drawbacks, we propose InfoOT, an information-theoretic extension of optimal transport that maximizes the mutual information between domains while minimizing geometric distances. The resulting objective can still be formulated as a (generalized) optimal transport problem, and can be efficiently solved by projected gradient descent. This formulation yields a new projection method that is robust to outliers and generalizes to unseen samples. Empirically, InfoOT improves the quality of alignments across benchmarks in domain adaptation, cross-domain retrieval, and single-cell alignment.




Abstract:Understanding generalization and robustness of machine learning models fundamentally relies on assuming an appropriate metric on the data space. Identifying such a metric is particularly challenging for non-Euclidean data such as graphs. Here, we propose a pseudometric for attributed graphs, the Tree Mover's Distance (TMD), and study its relation to generalization. Via a hierarchical optimal transport problem, TMD reflects the local distribution of node attributes as well as the distribution of local computation trees, which are known to be decisive for the learning behavior of graph neural networks (GNNs). First, we show that TMD captures properties relevant to graph classification: a simple TMD-SVM performs competitively with standard GNNs. Second, we relate TMD to generalization of GNNs under distribution shifts, and show that it correlates well with performance drop under such shifts.




Abstract:Contrastive learning relies on an assumption that positive pairs contain related views, e.g., patches of an image or co-occurring multimodal signals of a video, that share certain underlying information about an instance. But what if this assumption is violated? The literature suggests that contrastive learning produces suboptimal representations in the presence of noisy views, e.g., false positive pairs with no apparent shared information. In this work, we propose a new contrastive loss function that is robust against noisy views. We provide rigorous theoretical justifications by showing connections to robust symmetric losses for noisy binary classification and by establishing a new contrastive bound for mutual information maximization based on the Wasserstein distance measure. The proposed loss is completely modality-agnostic and a simple drop-in replacement for the InfoNCE loss, which makes it easy to apply to existing contrastive frameworks. We show that our approach provides consistent improvements over the state-of-the-art on image, video, and graph contrastive learning benchmarks that exhibit a variety of real-world noise patterns.




Abstract:Understanding the generalization of deep neural networks is one of the most important tasks in deep learning. Although much progress has been made, theoretical error bounds still often behave disparately from empirical observations. In this work, we develop margin-based generalization bounds, where the margins are normalized with optimal transport costs between independent random subsets sampled from the training distribution. In particular, the optimal transport cost can be interpreted as a generalization of variance which captures the structural properties of the learned feature space. Our bounds robustly predict the generalization error, given training data and network parameters, on large scale datasets. Theoretically, we demonstrate that the concentration and separation of features play crucial roles in generalization, supporting empirical results in the literature. The code is available at \url{https://github.com/chingyaoc/kV-Margin}.




Abstract:Training classifiers under fairness constraints such as group fairness, regularizes the disparities of predictions between the groups. Nevertheless, even though the constraints are satisfied during training, they might not generalize at evaluation time. To improve the generalizability of fair classifiers, we propose fair mixup, a new data augmentation strategy for imposing the fairness constraint. In particular, we show that fairness can be achieved by regularizing the models on paths of interpolated samples between the groups. We use mixup, a powerful data augmentation strategy to generate these interpolates. We analyze fair mixup and empirically show that it ensures a better generalization for both accuracy and fairness measurement in tabular, vision, and language benchmarks.




Abstract:We consider the question: how can you sample good negative examples for contrastive learning? We argue that, as with metric learning, learning contrastive representations benefits from hard negative samples (i.e., points that are difficult to distinguish from an anchor point). The key challenge toward using hard negatives is that contrastive methods must remain unsupervised, making it infeasible to adopt existing negative sampling strategies that use label information. In response, we develop a new class of unsupervised methods for selecting hard negative samples where the user can control the amount of hardness. A limiting case of this sampling results in a representation that tightly clusters each class, and pushes different classes as far apart as possible. The proposed method improves downstream performance across multiple modalities, requires only few additional lines of code to implement, and introduces no computational overhead.