



Abstract:The field of artificial intelligence (AI) in quantitative investment has seen significant advancements, yet it lacks a standardized benchmark aligned with industry practices. This gap hinders research progress and limits the practical application of academic innovations. We present QuantBench, an industrial-grade benchmark platform designed to address this critical need. QuantBench offers three key strengths: (1) standardization that aligns with quantitative investment industry practices, (2) flexibility to integrate various AI algorithms, and (3) full-pipeline coverage of the entire quantitative investment process. Our empirical studies using QuantBench reveal some critical research directions, including the need for continual learning to address distribution shifts, improved methods for modeling relational financial data, and more robust approaches to mitigate overfitting in low signal-to-noise environments. By providing a common ground for evaluation and fostering collaboration between researchers and practitioners, QuantBench aims to accelerate progress in AI for quantitative investment, similar to the impact of benchmark platforms in computer vision and natural language processing.




Abstract:Multi-stage decision-making is crucial in various real-world artificial intelligence applications, including recommendation systems, autonomous driving, and quantitative investment systems. In quantitative investment, for example, the process typically involves several sequential stages such as factor mining, alpha prediction, portfolio optimization, and sometimes order execution. While state-of-the-art end-to-end modeling aims to unify these stages into a single global framework, it faces significant challenges: (1) training such a unified neural network consisting of multiple stages between initial inputs and final outputs often leads to suboptimal solutions, or even collapse, and (2) many decision-making scenarios are not easily reducible to standard prediction problems. To overcome these challenges, we propose Guided Learning, a novel methodological framework designed to enhance end-to-end learning in multi-stage decision-making. We introduce the concept of a ``guide'', a function that induces the training of intermediate neural network layers towards some phased goals, directing gradients away from suboptimal collapse. For decision scenarios lacking explicit supervisory labels, we incorporate a utility function that quantifies the ``reward'' of the throughout decision. Additionally, we explore the connections between Guided Learning and classic machine learning paradigms such as supervised, unsupervised, semi-supervised, multi-task, and reinforcement learning. Experiments on quantitative investment strategy building demonstrate that guided learning significantly outperforms both traditional stage-wise approaches and existing end-to-end methods.




Abstract:The Knowledge Graph Completion~(KGC) task aims to infer the missing entity from an incomplete triple. Existing embedding-based methods rely solely on triples in the KG, which is vulnerable to specious relation patterns and long-tail entities. On the other hand, text-based methods struggle with the semantic gap between KG triples and natural language. Apart from triples, entity contexts (e.g., labels, descriptions, aliases) also play a significant role in augmenting KGs. To address these limitations, we propose KGR3, a context-enriched framework for KGC. KGR3 is composed of three modules. Firstly, the Retrieval module gathers supporting triples from the KG, collects plausible candidate answers from a base embedding model, and retrieves context for each related entity. Then, the Reasoning module employs a large language model to generate potential answers for each query triple. Finally, the Re-ranking module combines candidate answers from the two modules mentioned above, and fine-tunes an LLM to provide the best answer. Extensive experiments on widely used datasets demonstrate that KGR3 consistently improves various KGC methods. Specifically, the best variant of KGR3 achieves absolute Hits@1 improvements of 12.3% and 5.6% on the FB15k237 and WN18RR datasets.




Abstract:As large language models become increasingly prevalent in the financial sector, there is a pressing need for a standardized method to comprehensively assess their performance. However, existing finance benchmarks often suffer from limited language and task coverage, as well as challenges such as low-quality datasets and inadequate adaptability for LLM evaluation. To address these limitations, we propose "Golden Touchstone", the first comprehensive bilingual benchmark for financial LLMs, which incorporates representative datasets from both Chinese and English across eight core financial NLP tasks. Developed from extensive open source data collection and industry-specific demands, this benchmark includes a variety of financial tasks aimed at thoroughly assessing models' language understanding and generation capabilities. Through comparative analysis of major models on the benchmark, such as GPT-4o Llama3, FinGPT and FinMA, we reveal their strengths and limitations in processing complex financial information. Additionally, we open-sourced Touchstone-GPT, a financial LLM trained through continual pre-training and financial instruction tuning, which demonstrates strong performance on the bilingual benchmark but still has limitations in specific tasks.This research not only provides the financial large language models with a practical evaluation tool but also guides the development and optimization of future research. The source code for Golden Touchstone and model weight of Touchstone-GPT have been made publicly available at \url{https://github.com/IDEA-FinAI/Golden-Touchstone}, contributing to the ongoing evolution of FinLLMs and fostering further research in this critical area.




Abstract:Automatic chart understanding is crucial for content comprehension and document parsing. Multimodal large language models (MLLMs) have demonstrated remarkable capabilities in chart understanding through domain-specific alignment and fine-tuning. However, the application of alignment training within the chart domain is still underexplored. To address this, we propose ChartMoE, which employs the mixture of expert (MoE) architecture to replace the traditional linear projector to bridge the modality gap. Specifically, we train multiple linear connectors through distinct alignment tasks, which are utilized as the foundational initialization parameters for different experts. Additionally, we introduce ChartMoE-Align, a dataset with over 900K chart-table-JSON-code quadruples to conduct three alignment tasks (chart-table/JSON/code). Combined with the vanilla connector, we initialize different experts in four distinct ways and adopt high-quality knowledge learning to further refine the MoE connector and LLM parameters. Extensive experiments demonstrate the effectiveness of the MoE connector and our initialization strategy, e.g., ChartMoE improves the accuracy of the previous state-of-the-art from 80.48% to 84.64% on the ChartQA benchmark.




Abstract:Multimodal Large Language Models (MLLMs) have demonstrated remarkable capabilities in processing and generating content across multiple data modalities, including text, images, audio, and video. However, a significant drawback of MLLMs is their reliance on static training data, leading to outdated information and limited contextual awareness. This static nature hampers their ability to provide accurate, up-to-date responses, particularly in dynamic or rapidly evolving contexts. Integrating Multimodal Retrieval-augmented Generation (Multimodal RAG) offers a promising solution, but the system would inevitably encounter the multi-granularity noisy correspondence (MNC) problem, which involves two types of noise: coarse-grained (query-caption) and fine-grained (query-image). This noise hinders accurate retrieval and generation. In this work, we propose \textbf{RagLLaVA}, a novel framework with knowledge-enhanced reranking and noise-injected training, to address these limitations. We instruction-tune the MLLM with a simple yet effective instruction template to induce its ranking ability and serve it as a reranker to precisely filter the top-k retrieved images. For generation, we inject visual noise during training at the data and token levels to enhance the generator's robustness. Extensive experiments are conducted on the subsets of two datasets that require retrieving and reasoning over images to answer a given query. Our results demonstrate the superiority of RagLLaVA in retrieving accurately and generating robustly. Code and models are available at https://github.com/IDEA-FinAI/RagLLaVA.




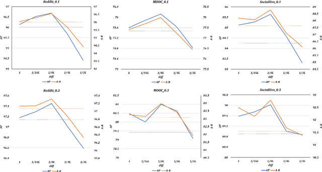
Abstract:Continuous-Time Dynamic Graph (CTDG) precisely models evolving real-world relationships, drawing heightened interest in dynamic graph learning across academia and industry. However, existing CTDG models encounter challenges stemming from noise and limited historical data. Graph Data Augmentation (GDA) emerges as a critical solution, yet current approaches primarily focus on static graphs and struggle to effectively address the dynamics inherent in CTDGs. Moreover, these methods often demand substantial domain expertise for parameter tuning and lack theoretical guarantees for augmentation efficacy. To address these issues, we propose Conda, a novel latent diffusion-based GDA method tailored for CTDGs. Conda features a sandwich-like architecture, incorporating a Variational Auto-Encoder (VAE) and a conditional diffusion model, aimed at generating enhanced historical neighbor embeddings for target nodes. Unlike conventional diffusion models trained on entire graphs via pre-training, Conda requires historical neighbor sequence embeddings of target nodes for training, thus facilitating more targeted augmentation. We integrate Conda into the CTDG model and adopt an alternating training strategy to optimize performance. Extensive experimentation across six widely used real-world datasets showcases the consistent performance improvement of our approach, particularly in scenarios with limited historical data.




Abstract:Artificial intelligence is making significant strides in the finance industry, revolutionizing how data is processed and interpreted. Among these technologies, large language models (LLMs) have demonstrated substantial potential to transform financial services by automating complex tasks, enhancing customer service, and providing detailed financial analysis. Firstly, we introduce IDEA-FinBench, an evaluation benchmark specifically tailored for assessing financial knowledge in large language models (LLMs). This benchmark utilizes questions from two globally respected and authoritative financial professional exams, aimimg to comprehensively evaluate the capability of LLMs to directly address exam questions pertinent to the finance sector. Secondly, we propose IDEA-FinKER, a Financial Knowledge Enhancement framework designed to facilitate the rapid adaptation of general LLMs to the financial domain, introducing a retrieval-based few-shot learning method for real-time context-level knowledge injection, and a set of high-quality financial knowledge instructions for fine-tuning any general LLM. Finally, we present IDEA-FinQA, a financial question-answering system powered by LLMs. This system is structured around a scheme of real-time knowledge injection and factual enhancement using external knowledge. IDEA-FinQA is comprised of three main modules: the data collector, the data querying module, and LLM-based agents tasked with specific functions.




Abstract:Knowledge Graphs (KGs) are foundational structures in many AI applications, representing entities and their interrelations through triples. However, triple-based KGs lack the contextual information of relational knowledge, like temporal dynamics and provenance details, which are crucial for comprehensive knowledge representation and effective reasoning. Instead, \textbf{Context Graphs} (CGs) expand upon the conventional structure by incorporating additional information such as time validity, geographic location, and source provenance. This integration provides a more nuanced and accurate understanding of knowledge, enabling KGs to offer richer insights and support more sophisticated reasoning processes. In this work, we first discuss the inherent limitations of triple-based KGs and introduce the concept of CGs, highlighting their advantages in knowledge representation and reasoning. We then present a context graph reasoning \textbf{CGR$^3$} paradigm that leverages large language models (LLMs) to retrieve candidate entities and related contexts, rank them based on the retrieved information, and reason whether sufficient information has been obtained to answer a query. Our experimental results demonstrate that CGR$^3$ significantly improves performance on KG completion (KGC) and KG question answering (KGQA) tasks, validating the effectiveness of incorporating contextual information on KG representation and reasoning.




Abstract:Knowledge Graphs (KGs) are foundational structures in many AI applications, representing entities and their interrelations through triples. However, triple-based KGs lack the contextual information of relational knowledge, like temporal dynamics and provenance details, which are crucial for comprehensive knowledge representation and effective reasoning. Instead, \textbf{Contextual Knowledge Graphs} (CKGs) expand upon the conventional structure by incorporating additional information such as time validity, geographic location, and source provenance. This integration provides a more nuanced and accurate understanding of knowledge, enabling KGs to offer richer insights and support more sophisticated reasoning processes. In this work, we first discuss the inherent limitations of triple-based KGs and introduce the concept of contextual KGs, highlighting their advantages in knowledge representation and reasoning. We then present \textbf{KGR$^3$, a context-enriched KG reasoning paradigm} that leverages large language models (LLMs) to retrieve candidate entities and related contexts, rank them based on the retrieved information, and reason whether sufficient information has been obtained to answer a query. Our experimental results demonstrate that KGR$^3$ significantly improves performance on KG completion (KGC) and KG question answering (KGQA) tasks, validating the effectiveness of incorporating contextual information on KG representation and reasoning.