Abstract:As large language models (LLMs) are applied to increasingly longer and more complex tasks, there is a growing need for realistic long-context benchmarks that require selective reading and integration of heterogeneous, multi-modal information sources. This need is especially acute for geospatial planning problems, such as those found in planning for large-scale military operations, which demand fast and accurate reasoning over maps, orders, intelligence reports, and other distributed data. To address this gap, we present MilSCORE (Military Scenario Contextual Reasoning), to our knowledge the first scenario-level dataset of expert-authored, multi-hop questions grounded in a complex, simulated military planning scenario used for training. MilSCORE is designed to evaluate high-stakes decision-making and planning, probing LLMs' ability to combine tactical and spatial reasoning across multiple sources and to reason over long-horizon, geospatially rich context. The benchmark includes a diverse set of question types across seven categories targeting both factual recall and multi-step reasoning about constraints, strategy, and spatial analysis. We provide an evaluation protocol and report baseline results for a range of contemporary vision-language models. Our findings highlight substantial headroom on MilSCORE, indicating that current systems struggle with realistic, scenario-level long-context planning, and positioning MilSCORE as a challenging testbed for future work.
Abstract:To effectively engage in human society, the ability to adapt, filter information, and make informed decisions in ever-changing situations is critical. As robots and intelligent agents become more integrated into human life, there is a growing opportunity-and need-to offload the cognitive burden on humans to these systems, particularly in dynamic, information-rich scenarios. To fill this critical need, we present Multi-RAG, a multimodal retrieval-augmented generation system designed to provide adaptive assistance to humans in information-intensive circumstances. Our system aims to improve situational understanding and reduce cognitive load by integrating and reasoning over multi-source information streams, including video, audio, and text. As an enabling step toward long-term human-robot partnerships, Multi-RAG explores how multimodal information understanding can serve as a foundation for adaptive robotic assistance in dynamic, human-centered situations. To evaluate its capability in a realistic human-assistance proxy task, we benchmarked Multi-RAG on the MMBench-Video dataset, a challenging multimodal video understanding benchmark. Our system achieves superior performance compared to existing open-source video large language models (Video-LLMs) and large vision-language models (LVLMs), while utilizing fewer resources and less input data. The results demonstrate Multi- RAG's potential as a practical and efficient foundation for future human-robot adaptive assistance systems in dynamic, real-world contexts.
Abstract:Image segmentation is a powerful computer vision technique for scene understanding. However, real-world deployment is stymied by the need for high-quality, meticulously labeled datasets. Synthetic data provides high-quality labels while reducing the need for manual data collection and annotation. However, deep neural networks trained on synthetic data often face the Syn2Real problem, leading to poor performance in real-world deployments. To mitigate the aforementioned gap in image segmentation, we propose RAFT, a novel framework for adapting image segmentation models using minimal labeled real-world data through data and feature augmentations, as well as active learning. To validate RAFT, we perform experiments on the synthetic-to-real "SYNTHIA->Cityscapes" and "GTAV->Cityscapes" benchmarks. We managed to surpass the previous state of the art, HALO. SYNTHIA->Cityscapes experiences an improvement in mIoU* upon domain adaptation of 2.1%/79.9%, and GTAV->Cityscapes experiences a 0.4%/78.2% improvement in mIoU. Furthermore, we test our approach on the real-to-real benchmark of "Cityscapes->ACDC", and again surpass HALO, with a gain in mIoU upon adaptation of 1.3%/73.2%. Finally, we examine the effect of the allocated annotation budget and various components of RAFT upon the final transfer mIoU.
Abstract:Oysters are ecologically and commercially important species that require frequent monitoring to track population demographics (e.g. abundance, growth, mortality). Current methods of monitoring oyster reefs often require destructive sampling methods and extensive manual effort. Therefore, they are suboptimal for small-scale or sensitive environments. A recent alternative, the ODYSSEE model, was developed to use deep learning techniques to identify live oysters using video or images taken in the field of oyster reefs to assess abundance. The validity of this model in identifying live oysters on a reef was compared to expert and non-expert annotators. In addition, we identified potential sources of prediction error. Although the model can make inferences significantly faster than expert and non-expert annotators (39.6 s, $2.34 \pm 0.61$ h, $4.50 \pm 1.46$ h, respectively), the model overpredicted the number of live oysters, achieving lower accuracy (63\%) in identifying live oysters compared to experts (74\%) and non-experts (75\%) alike. Image quality was an important factor in determining the accuracy of the model and the annotators. Better quality images improved human accuracy and worsened model accuracy. Although ODYSSEE was not sufficiently accurate, we anticipate that future training on higher-quality images, utilizing additional live imagery, and incorporating additional annotation training classes will greatly improve the model's predictive power based on the results of this analysis. Future research should address methods that improve the detection of living vs. dead oysters.




Abstract:Current simulators lack the ability to accurately model integrated environments that encompass sea, air, and land. To address this gap, we introduce Aerial-Aquatic Manipulators (AAMs) in SEa, Air, and Land Simulator (SEALS), a comprehensive and photorealistic simulator designed for AAMs to operate and learn in these diverse environments. The development of AAM-SEALS tackles several significant challenges, including the creation of integrated controllers for flying, swimming, and manipulation, and the high-fidelity simulation of aerial dynamics and hydrodynamics leveraging particle physics. Our evaluation demonstrates smooth operation and photorealistic transitions across air, water, and their interfaces. We quantitatively validate the fidelity of particle-based hydrodynamics by comparing position-tracking errors across real-world and simulated systems. AAM-SEALS promises to benefit a broad range of robotics communities, including robot learning, aerial robotics, underwater robotics, mobile manipulation, and robotic simulators. We will open-source our code and data to foster the advancement of research in these fields. Please access our project website at: https: //aam-seals.github.io/aam-seals-v1/
Abstract:Water quality mapping for critical parameters such as temperature, salinity, and turbidity is crucial for assessing an aquaculture farm's health and yield capacity. Traditional approaches involve using boats or human divers, which are time-constrained and lack depth variability. This work presents an innovative approach to 3D water quality mapping in shallow water environments using a BlueROV2 equipped with GPS and a water quality sensor. This system allows for accurate location correction by resurfacing when errors occur. This study is being conducted at an oyster farm in the Chesapeake Bay, USA, providing a more comprehensive and precise water quality analysis in aquaculture settings.




Abstract:When observing objects, humans benefit from their spatial visualization and mental rotation ability to envision potential optimal viewpoints based on the current observation. This capability is crucial for enabling robots to achieve efficient and robust scene perception during operation, as optimal viewpoints provide essential and informative features for accurately representing scenes in 2D images, thereby enhancing downstream tasks. To endow robots with this human-like active viewpoint optimization capability, we propose ViewActive, a modernized machine learning approach drawing inspiration from aspect graph, which provides viewpoint optimization guidance based solely on the current 2D image input. Specifically, we introduce the 3D Viewpoint Quality Field (VQF), a compact and consistent representation for viewpoint quality distribution similar to an aspect graph, composed of three general-purpose viewpoint quality metrics: self-occlusion ratio, occupancy-aware surface normal entropy, and visual entropy. We utilize pre-trained image encoders to extract robust visual and semantic features, which are then decoded into the 3D VQF, allowing our model to generalize effectively across diverse objects, including unseen categories.The lightweight ViewActive network (72 FPS on a single GPU) significantly enhances the performance of state-of-the-art object recognition pipelines and can be integrated into real-time motion planning for robotic applications. Our code and dataset are available here: https://github.com/jiayi-wu-umd/ViewActive




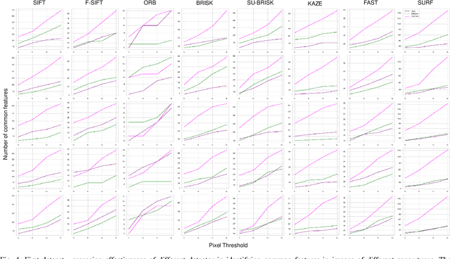
Abstract:Underwater robot perception is crucial in scientific subsea exploration and commercial operations. The key challenges include non-uniform lighting and poor visibility in turbid environments. High-frequency forward-look sonar cameras address these issues, by providing high-resolution imagery at maximum range of tens of meters, despite complexities posed by high degree of speckle noise, and lack of color and texture. In particular, robust feature detection is an essential initial step for automated object recognition, localization, navigation, and 3-D mapping. Various local feature detectors developed for RGB images are not well-suited for sonar data. To assess their performances, we evaluate a number of feature detectors using real sonar images from five different sonar devices. Performance metrics such as detection accuracy, false positives, and robustness to variations in target characteristics and sonar devices are applied to analyze the experimental results. The study would provide a deeper insight into the bottlenecks of feature detection for sonar data, and developing more effective methods




Abstract:Oysters are a keystone species in coastal ecosystems, offering significant economic, environmental, and cultural benefits. However, current monitoring systems are often destructive, typically involving dredging to physically collect and count oysters. A nondestructive alternative is manual identification from video footage collected by divers, which is time-consuming and labor-intensive with expert input. An alternative to human monitoring is the deployment of a system with trained object detection models that performs real-time, on edge oyster detection in the field. One such platform is the Aqua2 robot. Effective training of these models requires extensive high-quality data, which is difficult to obtain in marine settings. To address these complications, we introduce a novel method that leverages stable diffusion to generate high-quality synthetic data for the marine domain. We exploit diffusion models to create photorealistic marine imagery, using ControlNet inputs to ensure consistency with the segmentation ground-truth mask, the geometry of the scene, and the target domain of real underwater images for oysters. The resulting dataset is used to train a YOLOv10-based vision model, achieving a state-of-the-art 0.657 mAP@50 for oyster detection on the Aqua2 platform. The system we introduce not only improves oyster habitat monitoring, but also paves the way to autonomous surveillance for various tasks in marine contexts, improving aquaculture and conservation efforts.
Abstract:In recent years, numerous Transformer-based models have been applied to long-term time-series forecasting (LTSF) tasks. However, recent studies with linear models have questioned their effectiveness, demonstrating that simple linear layers can outperform sophisticated Transformer-based models. In this work, we review and categorize existing Transformer-based models into two main types: (1) modifications to the model structure and (2) modifications to the input data. The former offers scalability but falls short in capturing inter-sequential information, while the latter preprocesses time-series data but is challenging to use as a scalable module. We propose $\textbf{sTransformer}$, which introduces the Sequence and Temporal Convolutional Network (STCN) to fully capture both sequential and temporal information. Additionally, we introduce a Sequence-guided Mask Attention mechanism to capture global feature information. Our approach ensures the capture of inter-sequential information while maintaining module scalability. We compare our model with linear models and existing forecasting models on long-term time-series forecasting, achieving new state-of-the-art results. We also conducted experiments on other time-series tasks, achieving strong performance. These demonstrate that Transformer-based structures remain effective and our model can serve as a viable baseline for time-series tasks.