Abstract:A suitable scalar metric can help measure multi-calibration, defined as follows. When the expected values of observed responses are equal to corresponding predicted probabilities, the probabilistic predictions are known as "perfectly calibrated." When the predicted probabilities are perfectly calibrated simultaneously across several subpopulations, the probabilistic predictions are known as "perfectly multi-calibrated." In practice, predicted probabilities are seldom perfectly multi-calibrated, so a statistic measuring the distance from perfect multi-calibration is informative. A recently proposed metric for calibration, based on the classical Kuiper statistic, is a natural basis for a new metric of multi-calibration and avoids well-known problems of metrics based on binning or kernel density estimation. The newly proposed metric weights the contributions of different subpopulations in proportion to their signal-to-noise ratios; data analyses' ablations demonstrate that the metric becomes noisy when omitting the signal-to-noise ratios from the metric. Numerical examples on benchmark data sets illustrate the new metric.
Abstract:In online learning, a decision maker repeatedly selects one of a set of actions, with the goal of minimizing the overall loss incurred. Following the recent line of research on algorithms endowed with additional predictive features, we revisit this problem by allowing the decision maker to acquire additional information on the actions to be selected. In particular, we study the power of \emph{best-action queries}, which reveal beforehand the identity of the best action at a given time step. In practice, predictive features may be expensive, so we allow the decision maker to issue at most $k$ such queries. We establish tight bounds on the performance any algorithm can achieve when given access to $k$ best-action queries for different types of feedback models. In particular, we prove that in the full feedback model, $k$ queries are enough to achieve an optimal regret of $\Theta\left(\min\left\{\sqrt T, \frac Tk\right\}\right)$. This finding highlights the significant multiplicative advantage in the regret rate achievable with even a modest (sublinear) number $k \in \Omega(\sqrt{T})$ of queries. Additionally, we study the challenging setting in which the only available feedback is obtained during the time steps corresponding to the $k$ best-action queries. There, we provide a tight regret rate of $\Theta\left(\min\left\{\frac{T}{\sqrt k},\frac{T^2}{k^2}\right\}\right)$, which improves over the standard $\Theta\left(\frac{T}{\sqrt k}\right)$ regret rate for label efficient prediction for $k \in \Omega(T^{2/3})$.
Abstract:We study convergence rates of loss and uncertainty-based active learning algorithms under various assumptions. First, we provide a set of conditions under which a convergence rate guarantee holds, and use this for linear classifiers and linearly separable datasets to show convergence rate guarantees for loss-based sampling and different loss functions. Second, we provide a framework that allows us to derive convergence rate bounds for loss-based sampling by deploying known convergence rate bounds for stochastic gradient descent algorithms. Third, and last, we propose an active learning algorithm that combines sampling of points and stochastic Polyak's step size. We show a condition on the sampling that ensures a convergence rate guarantee for this algorithm for smooth convex loss functions. Our numerical results demonstrate efficiency of our proposed algorithm.
Abstract:Active learning can improve the efficiency of training prediction models by identifying the most informative new labels to acquire. However, non-response to label requests can impact active learning's effectiveness in real-world contexts. We conceptualise this degradation by considering the type of non-response present in the data, demonstrating that biased non-response is particularly detrimental to model performance. We argue that this sort of non-response is particularly likely in contexts where the labelling process, by nature, relies on user interactions. To mitigate the impact of biased non-response, we propose a cost-based correction to the sampling strategy--the Upper Confidence Bound of the Expected Utility (UCB-EU)--that can, plausibly, be applied to any active learning algorithm. Through experiments, we demonstrate that our method successfully reduces the harm from labelling non-response in many settings. However, we also characterise settings where the non-response bias in the annotations remains detrimental under UCB-EU for particular sampling methods and data generating processes. Finally, we evaluate our method on a real-world dataset from e-commerce platform Taobao. We show that UCB-EU yields substantial performance improvements to conversion models that are trained on clicked impressions. Most generally, this research serves to both better conceptualise the interplay between types of non-response and model improvements via active learning, and to provide a practical, easy to implement correction that helps mitigate model degradation.




Abstract:This paper proposes a new metric to measure the calibration error of probabilistic binary classifiers, called test-based calibration error (TCE). TCE incorporates a novel loss function based on a statistical test to examine the extent to which model predictions differ from probabilities estimated from data. It offers (i) a clear interpretation, (ii) a consistent scale that is unaffected by class imbalance, and (iii) an enhanced visual representation with repect to the standard reliability diagram. In addition, we introduce an optimality criterion for the binning procedure of calibration error metrics based on a minimal estimation error of the empirical probabilities. We provide a novel computational algorithm for optimal bins under bin-size constraints. We demonstrate properties of TCE through a range of experiments, including multiple real-world imbalanced datasets and ImageNet 1000.
Abstract:Researchers in explainable artificial intelligence have developed numerous methods for helping users understand the predictions of complex supervised learning models. By contrast, explaining the $\textit{uncertainty}$ of model outputs has received relatively little attention. We adapt the popular Shapley value framework to explain various types of predictive uncertainty, quantifying each feature's contribution to the conditional entropy of individual model outputs. We consider games with modified characteristic functions and find deep connections between the resulting Shapley values and fundamental quantities from information theory and conditional independence testing. We outline inference procedures for finite sample error rate control with provable guarantees, and implement an efficient algorithm that performs well in a range of experiments on real and simulated data. Our method has applications to covariate shift detection, active learning, feature selection, and active feature-value acquisition.

Abstract:Fraud detection and prevention play an important part in ensuring the sustained operation of any e-commerce business. Machine learning (ML) often plays an important role in these anti-fraud operations, but the organizational context in which these ML models operate cannot be ignored. In this paper, we take an organization-centric view on the topic of fraud detection by formulating an operational model of the anti-fraud departments in e-commerce organizations. We derive 6 research topics and 12 practical challenges for fraud detection from this operational model. We summarize the state of the literature for each research topic, discuss potential solutions to the practical challenges, and identify 22 open research challenges.




Abstract:This thesis focuses on process mining on event data where such a normative specification is absent and, as a result, the event data is less structured. The thesis puts special emphasis on one application domain that fits this description: the analysis of smart home data where sequences of daily activities are recorded. In this thesis we propose a set of techniques to analyze such data, which can be grouped into two categories of techniques. The first category of methods focuses on preprocessing event logs in order to enable process discovery techniques to extract insights into unstructured event data. In this category we have developed the following techniques: - An unsupervised approach to refine event labels based on the time at which the event took place, allowing for example to distinguish recorded eating events into breakfast, lunch, and dinner. - An approach to detect and filter from event logs so-called chaotic activities, which are activities that cause process discovery methods to overgeneralize. - A supervised approach to abstract low-level events into more high-level events, where we show that there exist situations where process discovery approaches overgeneralize on the low-level event data but are able to find precise models on the high-level event data. The second category focuses on mining local process models, i.e., collections of process model patterns that each describe some frequent pattern, in contrast to the single global process model that is obtained with existing process discovery techniques. Several techniques are introduced in the area of local process model mining, including a basic method, fast but approximate heuristic methods, and constraint-based techniques.




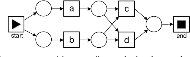
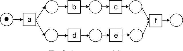
Abstract:Process mining sheds new light on the relationship between process models and real-life processes. Process discovery can be used to learn process models from event logs. Conformance checking is concerned with quantifying the quality of a business process model in relation to event data that was logged during the execution of the business process. There exist different categories of conformance measures. Recall, also called fitness, is concerned with quantifying how much of the behavior that was observed in the event log fits the process model. Precision is concerned with quantifying how much behavior a process model allows for that was never observed in the event log. Generalization is concerned with quantifying how well a process model generalizes to behavior that is possible in the business process but was never observed in the event log. Many recall, precision, and generalization measures have been developed throughout the years, but they are often defined in an ad-hoc manner without formally defining the desired properties up front. To address these problems, we formulate 21 conformance propositions and we use these propositions to evaluate current and existing conformance measures. The goal is to trigger a discussion by clearly formulating the challenges and requirements (rather than proposing new measures). Additionally, this paper serves as an overview of the conformance checking measures that are available in the process mining area.




Abstract:Predictive process monitoring is a family of techniques to analyze events produced during the execution of a business process in order to predict the future state or the final outcome of running process instances. Existing techniques in this field are able to predict, at each step of a process instance, the likelihood that it will lead to an undesired outcome.These techniques, however, focus on generating predictions and do not prescribe when and how process workers should intervene to decrease the cost of undesired outcomes. This paper proposes a framework for prescriptive process monitoring, which extends predictive monitoring with the ability to generate alarms that trigger interventions to prevent an undesired outcome or mitigate its effect. The framework incorporates a parameterized cost model to assess the cost-benefit trade-off of generating alarms. We show how to optimize the generation of alarms given an event log of past process executions and a set of cost model parameters. The proposed approaches are empirically evaluated using a range of real-life event logs. The experimental results show that the net cost of undesired outcomes can be minimized by changing the threshold for generating alarms, as the process instance progresses. Moreover, introducing delays for triggering alarms, instead of triggering them as soon as the probability of an undesired outcome exceeds a threshold, leads to lower net costs.