Dept. of Computer Science and Engineering, Sogang University, Seoul, Republic of Korea
Abstract:We study the problem of zero-shot link prediction on knowledge graphs (KGs), which requires models to generalize over novel entities and novel relations. Knowledge graph foundation models (KGFMs) address this task by enforcing equivariance over both nodes and relations, learning from structural properties of nodes and relations, which are then transferable to novel graphs with similar structural properties. However, the conventional notion of deterministic equivariance imposes inherent limits on the expressive power of KGFMs, preventing them from distinguishing structurally similar but semantically distinct relations. To overcome this limitation, we introduce probabilistic node-relation equivariance, which preserves equivariance in distribution while incorporating a principled randomization to break symmetries during inference. Building on this principle, we present Flock, a KGFM that iteratively samples random walks, encodes them into sequences via a recording protocol, embeds them with a sequence model, and aggregates representations of nodes and relations via learned pooling. Crucially, Flock respects probabilistic node-relation equivariance and is a universal approximator for isomorphism-invariant link-level functions over KGs. Empirically, Flock perfectly solves our new diagnostic dataset Petals where current KGFMs fail, and achieves state-of-the-art performances on entity- and relation prediction tasks on 54 KGs from diverse domains.




Abstract:Object compositing, the task of placing and harmonizing objects in images of diverse visual scenes, has become an important task in computer vision with the rise of generative models. However, existing datasets lack the diversity and scale required to comprehensively explore real-world scenarios. We introduce ORIDa (Object-centric Real-world Image Composition Dataset), a large-scale, real-captured dataset containing over 30,000 images featuring 200 unique objects, each of which is presented across varied positions and scenes. ORIDa has two types of data: factual-counterfactual sets and factual-only scenes. The factual-counterfactual sets consist of four factual images showing an object in different positions within a scene and a single counterfactual (or background) image of the scene without the object, resulting in five images per scene. The factual-only scenes include a single image containing an object in a specific context, expanding the variety of environments. To our knowledge, ORIDa is the first publicly available dataset with its scale and complexity for real-world image composition. Extensive analysis and experiments highlight the value of ORIDa as a resource for advancing further research in object compositing.
Abstract:LLM inference is essential for applications like text summarization, translation, and data analysis, but the high cost of GPU instances from Cloud Service Providers (CSPs) like AWS is a major burden. This paper proposes InferSave, a cost-efficient VM selection framework for cloud based LLM inference. InferSave optimizes KV cache offloading based on Service Level Objectives (SLOs) and workload charac teristics, estimating GPU memory needs, and recommending cost-effective VM instances. Additionally, the Compute Time Calibration Function (CTCF) improves instance selection accuracy by adjusting for discrepancies between theoretical and actual GPU performance. Experiments on AWS GPU instances show that selecting lower-cost instances without KV cache offloading improves cost efficiency by up to 73.7% for online workloads, while KV cache offloading saves up to 20.19% for offline workloads.




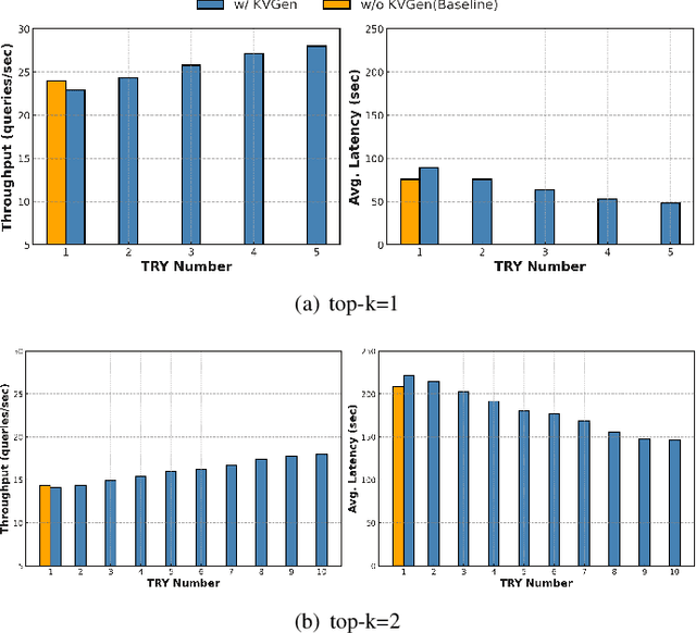
Abstract:Recent large language models (LLMs) face increasing inference latency as input context length and model size continue to grow. In particular, the retrieval-augmented generation (RAG) technique, which enhances LLM responses by incorporating external knowledge, exacerbates this issue by significantly increasing the number of input tokens. This expansion in token length leads to a substantial rise in computational overhead, particularly during the prefill stage, resulting in prolonged time-to-first-token (TTFT). To address this issue, this paper proposes a method to reduce TTFT by leveraging a disk-based key-value (KV) cache to lessen the computational burden during the prefill stage. We also introduce a disk-based shared KV cache management system, called Shared RAG-DCache, for multi-instance LLM RAG service environments. This system, together with an optimal system configuration, improves both throughput and latency under given resource constraints. Shared RAG-DCache exploits the locality of documents related to user queries in RAG, as well as the queueing delay in LLM inference services. It proactively generates and stores disk KV caches for query-related documents and shares them across multiple LLM instances to enhance inference performance. In experiments on a single host equipped with 2 GPUs and 1 CPU, Shared RAG-DCache achieved a 15~71% increase in throughput and up to a 12~65% reduction in latency, depending on the resource configuration.




Abstract:Vision models are increasingly deployed in critical applications such as autonomous driving and CCTV monitoring, yet they remain susceptible to resource-consuming attacks. In this paper, we introduce a novel energy-overloading attack that leverages vision language model (VLM) prompts to generate adversarial images targeting vision models. These images, though imperceptible to the human eye, significantly increase GPU energy consumption across various vision models, threatening the availability of these systems. Our framework, EO-VLM (Energy Overload via VLM), is model-agnostic, meaning it is not limited by the architecture or type of the target vision model. By exploiting the lack of safety filters in VLMs like DALL-E 3, we create adversarial noise images without requiring prior knowledge or internal structure of the target vision models. Our experiments demonstrate up to a 50% increase in energy consumption, revealing a critical vulnerability in current vision models.
Abstract:In this work, we investigate a method for simulation-free training of Neural Ordinary Differential Equations (NODEs) for learning deterministic mappings between paired data. Despite the analogy of NODEs as continuous-depth residual networks, their application in typical supervised learning tasks has not been popular, mainly due to the large number of function evaluations required by ODE solvers and numerical instability in gradient estimation. To alleviate this problem, we employ the flow matching framework for simulation-free training of NODEs, which directly regresses the parameterized dynamics function to a predefined target velocity field. Contrary to generative tasks, however, we show that applying flow matching directly between paired data can often lead to an ill-defined flow that breaks the coupling of the data pairs (e.g., due to crossing trajectories). We propose a simple extension that applies flow matching in the embedding space of data pairs, where the embeddings are learned jointly with the dynamic function to ensure the validity of the flow which is also easier to learn. We demonstrate the effectiveness of our method on both regression and classification tasks, where our method outperforms existing NODEs with a significantly lower number of function evaluations. The code is available at https://github.com/seminkim/simulation-free-node.




Abstract:Determining the optimal size of a neural network is critical, as it directly impacts runtime performance and memory usage. Pruning is a well-established model compression technique that reduces the size of neural networks while mathematically guaranteeing accuracy preservation. However, many recent pruning methods overlook the global contributions of individual model components, making it difficult to ensure that a pruned model meets the desired dataset and performance requirements. To address these challenges, we developed a new pruning algorithm, MPruner, that leverages mutual information through vector similarity. MPruner utilizes layer clustering with the Centered Kernel Alignment (CKA) similarity metric, allowing us to incorporate global information from the neural network for more precise and efficient layer-wise pruning. We evaluated MPruner across various architectures and configurations, demonstrating its versatility and providing practical guidelines. MPruner achieved up to a 50% reduction in parameters and memory usage for CNN and transformer-based models, with minimal to no loss in accuracy.
Abstract:In recent times, the need for effective super-resolution (SR) techniques has surged, especially for large-scale images ranging 2K to 8K resolutions. For DNN-based SISR, decomposing images into overlapping patches is typically necessary due to computational constraints. In such patch-decomposing scheme, one can allocate computational resources differently based on each patch's difficulty to further improve efficiency while maintaining SR performance. However, this approach has a limitation: computational resources is uniformly allocated within a patch, leading to lower efficiency when the patch contain pixels with varying levels of restoration difficulty. To address the issue, we propose the Pixel-level Classifier for Single Image Super-Resolution (PCSR), a novel method designed to distribute computational resources adaptively at the pixel level. A PCSR model comprises a backbone, a pixel-level classifier, and a set of pixel-level upsamplers with varying capacities. The pixel-level classifier assigns each pixel to an appropriate upsampler based on its restoration difficulty, thereby optimizing computational resource usage. Our method allows for performance and computational cost balance during inference without re-training. Our experiments demonstrate PCSR's advantage over existing patch-distributing methods in PSNR-FLOP trade-offs across different backbone models and benchmarks. The code is available at https://github.com/3587jjh/PCSR.




Abstract:We revisit a simple idea for machine learning on graphs, where a random walk on a graph produces a machine-readable record, and this record is processed by a deep neural network to directly make vertex-level or graph-level predictions. We refer to these stochastic machines as random walk neural networks, and show that we can design them to be isomorphism invariant while capable of universal approximation of graph functions in probability. A useful finding is that almost any kind of record of random walk guarantees probabilistic invariance as long as the vertices are anonymized. This enables us to record random walks in plain text and adopt a language model to read these text records to solve graph tasks. We further establish a parallelism to message passing neural networks using tools from Markov chain theory, and show that over-smoothing in message passing is alleviated by construction in random walk neural networks, while over-squashing manifests as probabilistic under-reaching. We show that random walk neural networks based on pre-trained language models can solve several hard problems on graphs, such as separating strongly regular graphs where the 3-WL test fails, counting substructures, and transductive classification on arXiv citation network without training. Code is available at https://github.com/jw9730/random-walk.




Abstract:White balance (WB) algorithms in many commercial cameras assume single and uniform illumination, leading to undesirable results when multiple lighting sources with different chromaticities exist in the scene. Prior research on multi-illuminant WB typically predicts illumination at the pixel level without fully grasping the scene's actual lighting conditions, including the number and color of light sources. This often results in unnatural outcomes lacking in overall consistency. To handle this problem, we present a deep white balancing model that leverages the slot attention, where each slot is in charge of representing individual illuminants. This design enables the model to generate chromaticities and weight maps for individual illuminants, which are then fused to compose the final illumination map. Furthermore, we propose the centroid-matching loss, which regulates the activation of each slot based on the color range, thereby enhancing the model to separate illumination more effectively. Our method achieves the state-of-the-art performance on both single- and multi-illuminant WB benchmarks, and also offers additional information such as the number of illuminants in the scene and their chromaticity. This capability allows for illumination editing, an application not feasible with prior methods.