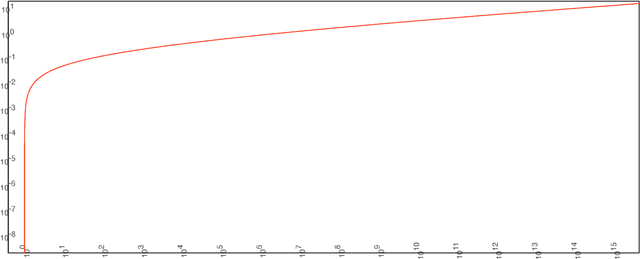
Abstract:Neural scaling laws have become foundational for optimizing large language model (LLM) training, yet they typically assume a single dense model output. This limitation effectively overlooks "Familial models, a transformative paradigm essential for realizing ubiquitous intelligence across heterogeneous device-edge-cloud hierarchies. Transcending static architectures, familial models integrate early exits with relay-style inference to spawn G deployable sub-models from a single shared backbone. In this work, we theoretically and empirically extend the scaling law to capture this "one-run, many-models" paradigm by introducing Granularity (G) as a fundamental scaling variable alongside model size (N) and training tokens (D). To rigorously quantify this relationship, we propose a unified functional form L(N, D, G) and parameterize it using large-scale empirical runs. Specifically, we employ a rigorous IsoFLOP experimental design to strictly isolate architectural impact from computational scale. Across fixed budgets, we systematically sweep model sizes (N) and granularities (G) while dynamically adjusting tokens (D). This approach effectively decouples the marginal cost of granularity from the benefits of scale, ensuring high-fidelity parameterization of our unified scaling law. Our results reveal that the granularity penalty follows a multiplicative power law with an extremely small exponent. Theoretically, this bridges fixed-compute training with dynamic architectures. Practically, it validates the "train once, deploy many" paradigm, demonstrating that deployment flexibility is achievable without compromising the compute-optimality of dense baselines.
Abstract:Pioneered by the foundational information theory by Claude Shannon and the visionary framework of machine intelligence by Alan Turing, the convergent evolution of information and communication technologies (IT/CT) has created an unbroken wave of connectivity and computation. This synergy has sparked a technological revolution, now reaching its peak with large artificial intelligence (AI) models that are reshaping industries and redefining human-machine collaboration. However, the realization of ubiquitous intelligence faces considerable challenges due to substantial resource consumption in large models and high communication bandwidth demands. To address these challenges, AI Flow has been introduced as a multidisciplinary framework that integrates cutting-edge IT and CT advancements, with a particular emphasis on the following three key points. First, device-edge-cloud framework serves as the foundation, which integrates end devices, edge servers, and cloud clusters to optimize scalability and efficiency for low-latency model inference. Second, we introduce the concept of familial models, which refers to a series of different-sized models with aligned hidden features, enabling effective collaboration and the flexibility to adapt to varying resource constraints and dynamic scenarios. Third, connectivity- and interaction-based intelligence emergence is a novel paradigm of AI Flow. By leveraging communication networks to enhance connectivity, the collaboration among AI models across heterogeneous nodes achieves emergent intelligence that surpasses the capability of any single model. The innovations of AI Flow provide enhanced intelligence, timely responsiveness, and ubiquitous accessibility to AI services, paving the way for the tighter fusion of AI techniques and communication systems.
Abstract:We discovered the underlying physics in Next-token Prediction (NTP). We identified the law of information conservation within NTP and proposed the First Law of Information Capacity (IC-1), demonstrating that the essence of intelligence emergence in auto-regressive models is fundamentally a process of information transfer. We also introduced Landauer's Principle into NTP, formulating the Second Law of Information Capacity (IC-2), which establishes the relationship between auto-regressive model training and energy consumption. Additionally, we presented several corollaries, which hold practical significance for production practices. Finally, we validated the compatibility and complementarity of our findings with existing theories.
Abstract:Current large language models (LLMs) primarily utilize next-token prediction method for inference, which significantly impedes their processing speed. In this paper, we introduce a novel inference methodology termed next-sentence prediction, aimed at enhancing the inference efficiency of LLMs. We present Sentence Variational Autoencoder (SentenceVAE), a tiny model consisting of a Sentence Encoder and a Sentence Decoder. The Sentence Encoder can effectively condense the information within a sentence into a singular token, while the Sentence Decoder can reconstruct this compressed token back into sentence. By integrating SentenceVAE into the input and output layers of LLMs, we develop Sentence-level LLMs (SLLMs) that employ a sentence-by-sentence inference method. In addition, the SentenceVAE module of SLLMS can maintain the integrity of the original semantic content by segmenting the context into sentences, thereby improving accuracy while boosting inference speed. Moreover, compared to previous LLMs, SLLMs process fewer tokens over equivalent context length, significantly reducing memory demands for self-attention computation and facilitating the handling of longer context. Extensive experiments on Wanjuan dataset have reveal that the proposed method can accelerate inference speed by 204~365%, reduce perplexity (PPL) to 46~75% of its original metric, and decrease memory overhead by 86~91% for the equivalent context length, compared to the token-by-token method.




Abstract:In this paper, we introduce StreakNet-Arch, a novel signal processing architecture designed for Underwater Carrier LiDAR-Radar (UCLR) imaging systems, to address the limitations in scatter suppression and real-time imaging. StreakNet-Arch formulates the signal processing as a real-time, end-to-end binary classification task, enabling real-time image acquisition. To achieve this, we leverage Self-Attention networks and propose a novel Double Branch Cross Attention (DBC-Attention) mechanism that surpasses the performance of traditional methods. Furthermore, we present a method for embedding streak-tube camera images into attention networks, effectively acting as a learned bandpass filter. To facilitate further research, we contribute a publicly available streak-tube camera image dataset. The dataset contains 2,695,168 real-world underwater 3D point cloud data. These advancements significantly improve UCLR capabilities, enhancing its performance and applicability in underwater imaging tasks. The source code and dataset can be found at https://github.com/BestAnHongjun/StreakNet .




Abstract:Denoising of magnetic resonance images is beneficial in improving the quality of low signal-to-noise ratio images. Recently, denoising using deep neural networks has demonstrated promising results. Most of these networks, however, utilize supervised learning, which requires large training images of noise-corrupted and clean image pairs. Obtaining training images, particularly clean images, is expensive and time-consuming. Hence, methods such as Noise2Noise (N2N) that require only pairs of noise-corrupted images have been developed to reduce the burden of obtaining training datasets. In this study, we propose a new self-supervised denoising method, Coil2Coil (C2C), that does not require the acquisition of clean images or paired noise-corrupted images for training. Instead, the method utilizes multichannel data from phased-array coils to generate training images. First, it divides and combines multichannel coil images into two images, one for input and the other for label. Then, they are processed to impose noise independence and sensitivity normalization such that they can be used for the training images of N2N. For inference, the method inputs a coil-combined image (e.g., DICOM image), enabling a wide application of the method. When evaluated using synthetic noise-added images, C2C shows the best performance against several self-supervised methods, reporting comparable outcomes to supervised methods. When testing the DICOM images, C2C successfully denoised real noise without showing structure-dependent residuals in the error maps. Because of the significant advantage of not requiring additional scans for clean or paired images, the method can be easily utilized for various clinical applications.




Abstract:A carefully engineered radiofrequency (RF) pulse plays a key role in a number of systems such as mobile phone, radar, and magnetic resonance imaging (MRI). The design of an RF waveform, however, is often posed as an inverse problem that has no general solution. As a result, various design methods each with a specific purpose have been developed based on the intuition of human experts. In this work, we propose an artificial intelligence-powered RF pulse design framework, DeepRF, which utilizes the self-learning characteristics of deep reinforcement learning (DRL) to generate a novel RF beyond human intuition. Additionally, the method can design various types of RF pulses via customized reward functions. The algorithm of DeepRF consists of two modules: the RF generation module, which utilizes DRL to explore new RF pulses, and the RF refinement module, which optimizes the seed RF pulses from the generation module via gradient ascent. The effectiveness of DeepRF is demonstrated using four exemplary RF pulses, slice-selective excitation pulse, slice-selective inversion pulse, B1-insensitive volume inversion pulse, and B1-insensitive selective inversion pulse, that are commonly used in MRI. The results show that the DeepRF-designed pulses successfully satisfy the design criteria while improving specific absorption rates when compared to those of the conventional RF pulses. Further analyses suggest that the DeepRF-designed pulses utilize new mechanisms of magnetization manipulation that are difficult to be explained by conventional theory, suggesting the potentials of DeepRF in discovering unseen design dimensions beyond human intuition. This work may lay the foundation for an emerging field of AI-driven RF waveform design.




Abstract:In MRI, deep neural networks have been proposed to reconstruct diffusion model parameters. However, the inputs of the networks were designed for a specific diffusion gradient scheme (i.e., diffusion gradient directions and numbers) and a specific b-value that are the same as the training data. In this study, a new deep neural network, referred to as DIFFnet, is developed to function as a generalized reconstruction tool of the diffusion-weighted signals for various gradient schemes and b-values. For generalization, diffusion signals are normalized in a q-space and then projected and quantized, producing a matrix (Qmatrix) as an input for the network. To demonstrate the validity of this approach, DIFFnet is evaluated for diffusion tensor imaging (DIFFnetDTI) and for neurite orientation dispersion and density imaging (DIFFnetNODDI). In each model, two datasets with different gradient schemes and b-values are tested. The results demonstrate accurate reconstruction of the diffusion parameters at substantially reduced processing time (approximately 8.7 times and 2240 times faster processing time than conventional methods in DTI and NODDI, respectively; less than 4% mean normalized root-mean-square errors (NRMSE) in DTI and less than 8% in NODDI). The generalization capability of the networks was further validated using reduced numbers of diffusion signals from the datasets. Different from previously proposed deep neural networks, DIFFnet does not require any specific gradient scheme and b-value for its input. As a result, it can be adopted as an online reconstruction tool for various complex diffusion imaging.