Abstract:Medical Vision-Language Models (Med-VLMs) have demonstrated remarkable performance across diverse medical imaging tasks by leveraging large-scale image-text pretraining. However, their confidence calibration is largely unexplored, and so remains a significant challenge. As such, miscalibrated predictions can lead to overconfident errors, undermining clinical trust and decision-making reliability. To address this, we introduce CalibPrompt, the first framework to calibrate Med-VLMs during prompt tuning. CalibPrompt optimizes a small set of learnable prompts with carefully designed calibration objectives under scarce labeled data regime. First, we study a regularizer that attempts to align the smoothed accuracy with the predicted model confidences. Second, we introduce an angular separation loss to maximize textual feature proximity toward improving the reliability in confidence estimates of multimodal Med-VLMs. Extensive experiments on four publicly available Med-VLMs and five diverse medical imaging datasets reveal that CalibPrompt consistently improves calibration without drastically affecting clean accuracy. Our code is available at https://github.com/iabh1shekbasu/CalibPrompt.
Abstract:Content watermarking is an important tool for the authentication and copyright protection of digital media. However, it is unclear whether existing watermarks are robust against adversarial attacks. We present the winning solution to the NeurIPS 2024 Erasing the Invisible challenge, which stress-tests watermark robustness under varying degrees of adversary knowledge. The challenge consisted of two tracks: a black-box and beige-box track, depending on whether the adversary knows which watermarking method was used by the provider. For the beige-box track, we leverage an adaptive VAE-based evasion attack, with a test-time optimization and color-contrast restoration in CIELAB space to preserve the image's quality. For the black-box track, we first cluster images based on their artifacts in the spatial or frequency-domain. Then, we apply image-to-image diffusion models with controlled noise injection and semantic priors from ChatGPT-generated captions to each cluster with optimized parameter settings. Empirical evaluations demonstrate that our method successfully achieves near-perfect watermark removal (95.7%) with negligible impact on the residual image's quality. We hope that our attacks inspire the development of more robust image watermarking methods.
Abstract:Advancements in face recognition (FR) technologies have amplified privacy concerns, necessitating methods that protect identity while maintaining recognition utility. Existing face anonymization methods typically focus on obscuring identity but fail to meet the requirements of biometric template protection, including revocability, unlinkability, and irreversibility. We propose FaceAnonyMixer, a cancelable face generation framework that leverages the latent space of a pre-trained generative model to synthesize privacy-preserving face images. The core idea of FaceAnonyMixer is to irreversibly mix the latent code of a real face image with a synthetic code derived from a revocable key. The mixed latent code is further refined through a carefully designed multi-objective loss to satisfy all cancelable biometric requirements. FaceAnonyMixer is capable of generating high-quality cancelable faces that can be directly matched using existing FR systems without requiring any modifications. Extensive experiments on benchmark datasets demonstrate that FaceAnonyMixer delivers superior recognition accuracy while providing significantly stronger privacy protection, achieving over an 11% gain on commercial API compared to recent cancelable biometric methods. Code is available at: https://github.com/talha-alam/faceanonymixer.




Abstract:Multi-modal Large Language Models (MLLMs) excel in vision-language tasks but remain vulnerable to visual adversarial perturbations that can induce hallucinations, manipulate responses, or bypass safety mechanisms. Existing methods seek to mitigate these risks by applying constrained adversarial fine-tuning to CLIP vision encoders on ImageNet-scale data, ensuring their generalization ability is preserved. However, this limited adversarial training restricts robustness and broader generalization. In this work, we explore an alternative approach of leveraging existing vision classification models that have been adversarially pre-trained on large-scale data. Our analysis reveals two principal contributions: (1) the extensive scale and diversity of adversarial pre-training enables these models to demonstrate superior robustness against diverse adversarial threats, ranging from imperceptible perturbations to advanced jailbreaking attempts, without requiring additional adversarial training, and (2) end-to-end MLLM integration with these robust models facilitates enhanced adaptation of language components to robust visual features, outperforming existing plug-and-play methodologies on complex reasoning tasks. Through systematic evaluation across visual question-answering, image captioning, and jail-break attacks, we demonstrate that MLLMs trained with these robust models achieve superior adversarial robustness while maintaining favorable clean performance. Our framework achieves 2x and 1.5x average robustness gains in captioning and VQA tasks, respectively, and delivers over 10% improvement against jailbreak attacks. Code and pretrained models will be available at https://github.com/HashmatShadab/Robust-LLaVA.




Abstract:Medical vision-language models (Med-VLMs) trained on large datasets of medical image-text pairs and later fine-tuned for specific tasks have emerged as a mainstream paradigm in medical image analysis. However, recent studies have highlighted the susceptibility of these Med-VLMs to adversarial attacks, raising concerns about their safety and robustness. Randomized smoothing is a well-known technique for turning any classifier into a model that is certifiably robust to adversarial perturbations. However, this approach requires retraining the Med-VLM-based classifier so that it classifies well under Gaussian noise, which is often infeasible in practice. In this paper, we propose a novel framework called PromptSmooth to achieve efficient certified robustness of Med-VLMs by leveraging the concept of prompt learning. Given any pre-trained Med-VLM, PromptSmooth adapts it to handle Gaussian noise by learning textual prompts in a zero-shot or few-shot manner, achieving a delicate balance between accuracy and robustness, while minimizing the computational overhead. Moreover, PromptSmooth requires only a single model to handle multiple noise levels, which substantially reduces the computational cost compared to traditional methods that rely on training a separate model for each noise level. Comprehensive experiments based on three Med-VLMs and across six downstream datasets of various imaging modalities demonstrate the efficacy of PromptSmooth. Our code and models are available at https://github.com/nhussein/promptsmooth.
Abstract:The rapid proliferation of large-scale text-to-image generation (T2IG) models has led to concerns about their potential misuse in generating harmful content. Though many methods have been proposed for erasing undesired concepts from T2IG models, they only provide a false sense of security, as recent works demonstrate that concept-erased models (CEMs) can be easily deceived to generate the erased concept through adversarial attacks. The problem of adversarially robust concept erasing without significant degradation to model utility (ability to generate benign concepts) remains an unresolved challenge, especially in the white-box setting where the adversary has access to the CEM. To address this gap, we propose an approach called STEREO that involves two distinct stages. The first stage searches thoroughly enough for strong and diverse adversarial prompts that can regenerate an erased concept from a CEM, by leveraging robust optimization principles from adversarial training. In the second robustly erase once stage, we introduce an anchor-concept-based compositional objective to robustly erase the target concept at one go, while attempting to minimize the degradation on model utility. By benchmarking the proposed STEREO approach against four state-of-the-art concept erasure methods under three adversarial attacks, we demonstrate its ability to achieve a better robustness vs. utility trade-off. Our code and models are available at https://github.com/koushiksrivats/robust-concept-erasing.




Abstract:Deep learning-based face recognition (FR) systems pose significant privacy risks by tracking users without their consent. While adversarial attacks can protect privacy, they often produce visible artifacts compromising user experience. To mitigate this issue, recent facial privacy protection approaches advocate embedding adversarial noise into the natural looking makeup styles. However, these methods require training on large-scale makeup datasets that are not always readily available. In addition, these approaches also suffer from dataset bias. For instance, training on makeup data that predominantly contains female faces could compromise protection efficacy for male faces. To handle these issues, we propose a test-time optimization approach that solely optimizes an untrained neural network to transfer makeup style from a reference to a source image in an adversarial manner. We introduce two key modules: a correspondence module that aligns regions between reference and source images in latent space, and a decoder with conditional makeup layers. The untrained decoder, optimized via carefully designed structural and makeup consistency losses, generates a protected image that resembles the source but incorporates adversarial makeup to deceive FR models. As our approach does not rely on training with makeup face datasets, it avoids potential male/female dataset biases while providing effective protection. We further extend the proposed approach to videos by leveraging on temporal correlations. Experiments on benchmark datasets demonstrate superior performance in face verification and identification tasks and effectiveness against commercial FR systems. Our code and models will be available at https://github.com/fahadshamshad/deep-facial-privacy-prior
Abstract:Medical foundation models are gaining prominence in the medical community for their ability to derive general representations from extensive collections of medical image-text pairs. Recent research indicates that these models are susceptible to backdoor attacks, which allow them to classify clean images accurately but fail when specific triggers are introduced. However, traditional backdoor attacks necessitate a considerable amount of additional data to maliciously pre-train a model. This requirement is often impractical in medical imaging applications due to the usual scarcity of data. Inspired by the latest developments in learnable prompts, this work introduces a method to embed a backdoor into the medical foundation model during the prompt learning phase. By incorporating learnable prompts within the text encoder and introducing imperceptible learnable noise trigger to the input images, we exploit the full capabilities of the medical foundation models (Med-FM). Our method, BAPLe, requires only a minimal subset of data to adjust the noise trigger and the text prompts for downstream tasks, enabling the creation of an effective backdoor attack. Through extensive experiments with four medical foundation models, each pre-trained on different modalities and evaluated across six downstream datasets, we demonstrate the efficacy of our approach. BAPLe achieves a high backdoor success rate across all models and datasets, outperforming the baseline backdoor attack methods. Our work highlights the vulnerability of Med-FMs towards backdoor attacks and strives to promote the safe adoption of Med-FMs before their deployment in real-world applications. Code is available at https://asif-hanif.github.io/baple/.




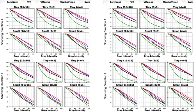
Abstract:Vision State Space Models (VSSMs), a novel architecture that combines the strengths of recurrent neural networks and latent variable models, have demonstrated remarkable performance in visual perception tasks by efficiently capturing long-range dependencies and modeling complex visual dynamics. However, their robustness under natural and adversarial perturbations remains a critical concern. In this work, we present a comprehensive evaluation of VSSMs' robustness under various perturbation scenarios, including occlusions, image structure, common corruptions, and adversarial attacks, and compare their performance to well-established architectures such as transformers and Convolutional Neural Networks. Furthermore, we investigate the resilience of VSSMs to object-background compositional changes on sophisticated benchmarks designed to test model performance in complex visual scenes. We also assess their robustness on object detection and segmentation tasks using corrupted datasets that mimic real-world scenarios. To gain a deeper understanding of VSSMs' adversarial robustness, we conduct a frequency analysis of adversarial attacks, evaluating their performance against low-frequency and high-frequency perturbations. Our findings highlight the strengths and limitations of VSSMs in handling complex visual corruptions, offering valuable insights for future research and improvements in this promising field. Our code and models will be available at https://github.com/HashmatShadab/MambaRobustness.




Abstract:This survey paper provides a comprehensive overview of the recent advancements and challenges in applying large language models to the field of audio signal processing. Audio processing, with its diverse signal representations and a wide range of sources--from human voices to musical instruments and environmental sounds--poses challenges distinct from those found in traditional Natural Language Processing scenarios. Nevertheless, \textit{Large Audio Models}, epitomized by transformer-based architectures, have shown marked efficacy in this sphere. By leveraging massive amount of data, these models have demonstrated prowess in a variety of audio tasks, spanning from Automatic Speech Recognition and Text-To-Speech to Music Generation, among others. Notably, recently these Foundational Audio Models, like SeamlessM4T, have started showing abilities to act as universal translators, supporting multiple speech tasks for up to 100 languages without any reliance on separate task-specific systems. This paper presents an in-depth analysis of state-of-the-art methodologies regarding \textit{Foundational Large Audio Models}, their performance benchmarks, and their applicability to real-world scenarios. We also highlight current limitations and provide insights into potential future research directions in the realm of \textit{Large Audio Models} with the intent to spark further discussion, thereby fostering innovation in the next generation of audio-processing systems. Furthermore, to cope with the rapid development in this area, we will consistently update the relevant repository with relevant recent articles and their open-source implementations at https://github.com/EmulationAI/awesome-large-audio-models.