TU Wien, Austria
Abstract:We consider the challenging problem of using domain knowledge to improve deep reinforcement learning policies. To this end, we propose LEGIBLE, a novel approach, following a multi-step process, which starts by mining rules from a deep RL policy, constituting a partially symbolic representation. These rules describe which decisions the RL policy makes and which it avoids making. In the second step, we generalize the mined rules using domain knowledge expressed as metamorphic relations. We adapt these relations from software testing to RL to specify expected changes of actions in response to changes in observations. The third step is evaluating generalized rules to determine which generalizations improve performance when enforced. These improvements show weaknesses in the policy, where it has not learned the general rules and thus can be improved by rule guidance. LEGIBLE supported by metamorphic relations provides a principled way of expressing and enforcing domain knowledge about RL environments. We show the efficacy of our approach by demonstrating that it effectively finds weaknesses, accompanied by explanations of these weaknesses, in eleven RL environments and by showcasing that guiding policy execution with rules improves performance w.r.t. gained reward.
Abstract:We derive exact upper and lower bounds for the cumulative distribution function (cdf) of the output of a neural network over its entire support subject to noisy (stochastic) inputs. The upper and lower bounds converge to the true cdf over its domain as the resolution increases. Our method applies to any feedforward NN using continuous monotonic piecewise differentiable activation functions (e.g., ReLU, tanh and softmax) and convolutional NNs, which were beyond the scope of competing approaches. The novelty and an instrumental tool of our approach is to bound general NNs with ReLU NNs. The ReLU NN based bounds are then used to derive upper and lower bounds of the cdf of the NN output. Experiments demonstrate that our method delivers guaranteed bounds of the predictive output distribution over its support, thus providing exact error guarantees, in contrast to competing approaches.




Abstract:The advent of edge devices dedicated to machine learning tasks enabled the execution of AI-based applications that efficiently process and classify the data acquired by the resource-constrained devices populating the Internet of Things. The proliferation of such applications (e.g., critical monitoring in smart cities) demands new strategies to make these systems also sustainable from an energetic point of view. In this paper, we present an energy-aware approach for the design and deployment of self-adaptive AI-based applications that can balance application objectives (e.g., accuracy in object detection and frames processing rate) with energy consumption. We address the problem of determining the set of configurations that can be used to self-adapt the system with a meta-heuristic search procedure that only needs a small number of empirical samples. The final set of configurations are selected using weighted gray relational analysis, and mapped to the operation modes of the self-adaptive application. We validate our approach on an AI-based application for pedestrian detection. Results show that our self-adaptive application can outperform non-adaptive baseline configurations by saving up to 81\% of energy while loosing only between 2% and 6% in accuracy.
Abstract:Probabilistic hyperproperties specify quantitative relations between the probabilities of reaching different target sets of states from different initial sets of states. This class of behavioral properties is suitable for capturing important security, privacy, and system-level requirements. We propose a new approach to solve the controller synthesis problem for Markov decision processes (MDPs) and probabilistic hyperproperties. Our specification language builds on top of the logic HyperPCTL and enhances it with structural constraints over the synthesized controllers. Our approach starts from a family of controllers represented symbolically and defined over the same copy of an MDP. We then introduce an abstraction refinement strategy that can relate multiple computation trees and that we employ to prune the search space deductively. The experimental evaluation demonstrates that the proposed approach considerably outperforms HyperProb, a state-of-the-art SMT-based model checking tool for HyperPCTL. Moreover, our approach is the first one that is able to effectively combine probabilistic hyperproperties with additional intra-controller constraints (e.g. partial observability) as well as inter-controller constraints (e.g. agreements on a common action).




Abstract:Formal methods provide very powerful tools and techniques for the design and analysis of complex systems. Their practical application remains however limited, due to the widely accepted belief that formal methods require extensive expertise and a steep learning curve. Writing correct formal specifications in form of logical formulas is still considered to be a difficult and error prone task. In this paper we propose DeepSTL, a tool and technique for the translation of informal requirements, given as free English sentences, into Signal Temporal Logic (STL), a formal specification language for cyber-physical systems, used both by academia and advanced research labs in industry. A major challenge to devise such a translator is the lack of publicly available informal requirements and formal specifications. We propose a two-step workflow to address this challenge. We first design a grammar-based generation technique of synthetic data, where each output is a random STL formula and its associated set of possible English translations. In the second step, we use a state-of-the-art transformer-based neural translation technique, to train an accurate attentional translator of English to STL. The experimental results show high translation quality for patterns of English requirements that have been well trained, making this workflow promising to be extended for processing more complex translation tasks.




Abstract:We propose a framework for solving control synthesis problems for multi-agent networked systems required to satisfy spatio-temporal specifications. We use Spatio-Temporal Reach and Escape Logic (STREL) as a specification language. For this logic, we define smooth quantitative semantics, which captures the degree of satisfaction of a formula by a multi-agent team. We use the novel quantitative semantics to map control synthesis problems with STREL specifications to optimization problems and propose a combination of heuristic and gradient-based methods to solve such problems. As this method might not meet the requirements of a real-time implementation, we develop a machine learning technique that uses the results of the off-line optimizations to train a neural network that gives the control inputs at current states. We illustrate the effectiveness of the proposed framework by applying it to a model of a robotic team required to satisfy a spatial-temporal specification under communication constraints.




Abstract:We present CityPM, a novel predictive monitoring system for smart cities, that continuously generates sequential predictions of future city states using Bayesian deep learning and monitors if the generated predictions satisfy city safety and performance requirements. We formally define a flowpipe signal to characterize prediction outputs of Bayesian deep learning models, and develop a new logic, named {Signal Temporal Logic with Uncertainty} (STL-U), for reasoning about the correctness of flowpipe signals. CityPM can monitor city requirements specified in STL-U such as "with 90% confidence level, the predicated air quality index in the next 10 hours should always be below 100". We also develop novel STL-U logic-based criteria to measure uncertainty for Bayesian deep learning. CityPM uses these logic-calibrated uncertainty measurements to select and tune the uncertainty estimation schema in deep learning models. We evaluate CityPM on three large-scale smart city case studies, including two real-world city datasets and one simulated city experiment. The results show that CityPM significantly improves the simulated city's safety and performance, and the use of STL-U logic-based criteria leads to improved uncertainty calibration in various Bayesian deep learning models.




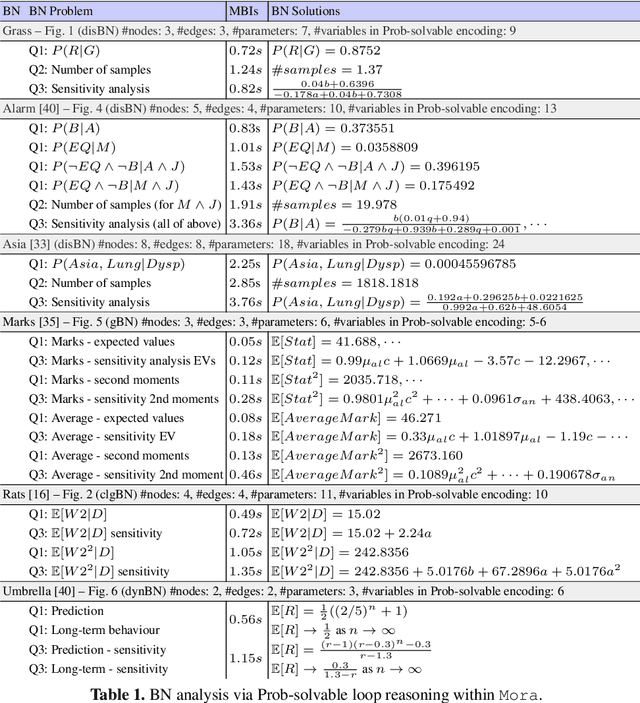
Abstract:Prob-solvable loops are probabilistic programs with polynomial assignments over random variables and parametrised distributions, for which the full automation of moment-based invariant generation is decidable. In this paper we extend Prob-solvable loops with new features essential for encoding Bayesian networks (BNs). We show that various BNs, such as discrete, Gaussian, conditional linear Gaussian and dynamic BNs, can be naturally encoded as Prob-solvable loops. Thanks to these encodings, we can automatically solve several BN related problems, including exact inference, sensitivity analysis, filtering and computing the expected number of rejecting samples in sampling-based procedures. We evaluate our work on a number of BN benchmarks, using automated invariant generation within Prob-solvable loop analysis.




Abstract:The Internet of Things (IoT) is a ubiquitous system connecting many different devices - the things - which can be accessed from the distance. The cyber-physical systems (CPS) monitor and control the things from the distance. As a result, the concepts of dependability and security get deeply intertwined. The increasing level of dynamicity, heterogeneity, and complexity adds to the system's vulnerability, and challenges its ability to react to faults. This paper summarizes state-of-the-art of existing work on anomaly detection, fault-tolerance and self-healing, and adds a number of other methods applicable to achieve resilience in an IoT. We particularly focus on non-intrusive methods ensuring data integrity in the network. Furthermore, this paper presents the main challenges in building a resilient IoT for CPS which is crucial in the era of smart CPS with enhanced connectivity (an excellent example of such a system is connected autonomous vehicles). It further summarizes our solutions, work-in-progress and future work to this topic to enable "Trustworthy IoT for CPS". Finally, this framework is illustrated on a selected use case: A smart sensor infrastructure in the transport domain.




Abstract:We consider the problem of mining signal temporal logical requirements from a dataset of regular (good) and anomalous (bad) trajectories of a dynamical system. We assume the training set to be labeled by human experts and that we have access only to a limited amount of data, typically noisy. We provide a systematic approach to synthesize both the syntactical structure and the parameters of the temporal logic formula using a two-steps procedure: first, we leverage a novel evolutionary algorithm for learning the structure of the formula; second, we perform the parameter synthesis operating on the statistical emulation of the average robustness for a candidate formula w.r.t. its parameters. We compare our results with our previous work [{BufoBSBLB14] and with a recently proposed decision-tree [bombara_decision_2016] based method. We present experimental results on two case studies: an anomalous trajectory detection problem of a naval surveillance system and the characterization of an Ineffective Respiratory effort, showing the usefulness of our work.