Abstract:We introduce Equivariant Neural Eikonal Solvers, a novel framework that integrates Equivariant Neural Fields (ENFs) with Neural Eikonal Solvers. Our approach employs a single neural field where a unified shared backbone is conditioned on signal-specific latent variables - represented as point clouds in a Lie group - to model diverse Eikonal solutions. The ENF integration ensures equivariant mapping from these latent representations to the solution field, delivering three key benefits: enhanced representation efficiency through weight-sharing, robust geometric grounding, and solution steerability. This steerability allows transformations applied to the latent point cloud to induce predictable, geometrically meaningful modifications in the resulting Eikonal solution. By coupling these steerable representations with Physics-Informed Neural Networks (PINNs), our framework accurately models Eikonal travel-time solutions while generalizing to arbitrary Riemannian manifolds with regular group actions. This includes homogeneous spaces such as Euclidean, position-orientation, spherical, and hyperbolic manifolds. We validate our approach through applications in seismic travel-time modeling of 2D and 3D benchmark datasets. Experimental results demonstrate superior performance, scalability, adaptability, and user controllability compared to existing Neural Operator-based Eikonal solver methods.



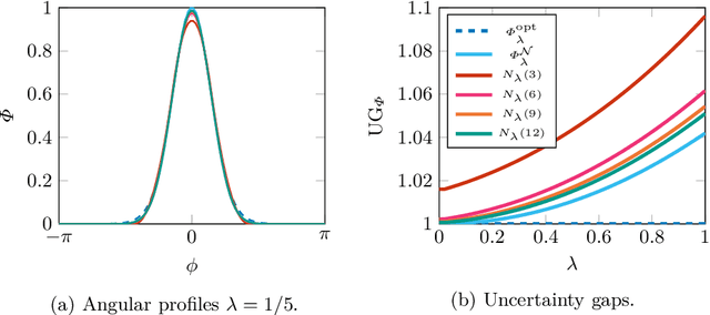
Abstract:We axiomatically derive a family of wavelets for an orientation score, lifting from position space $\mathbb{R}^2$ to position and orientation space $\mathbb{R}^2\times S^1$, with fast reconstruction property, that minimise position-orientation uncertainty. We subsequently show that these minimum uncertainty states are well-approximated by cake wavelets: for standard parameters, the uncertainty gap of cake wavelets is less than 1.1, and in the limit, we prove the uncertainty gap tends to the minimum of 1. Next, we complete a previous theoretical argument that one does not have to train the lifting layer in (PDE-)G-CNNs, but can instead use cake wavelets. Finally, we show experimentally that in this way we can reduce the network complexity and improve the interpretability of (PDE-)G-CNNs, with only a slight impact on the model's performance.




Abstract:We introduce Riemannian Gaussian Variational Flow Matching (RG-VFM), an extension of Variational Flow Matching (VFM) that leverages Riemannian Gaussian distributions for generative modeling on structured manifolds. We derive a variational objective for probability flows on manifolds with closed-form geodesics, making RG-VFM comparable - though fundamentally different to Riemannian Flow Matching (RFM) in this geometric setting. Experiments on a checkerboard dataset wrapped on the sphere demonstrate that RG-VFM captures geometric structure more effectively than Euclidean VFM and baseline methods, establishing it as a robust framework for manifold-aware generative modeling.
Abstract:Group equivariance has emerged as a valuable inductive bias in deep learning, enhancing generalization, data efficiency, and robustness. Classically, group equivariant methods require the groups of interest to be known beforehand, which may not be realistic for real-world data. Additionally, baking in fixed group equivariance may impose overly restrictive constraints on model architecture. This highlights the need for methods that can dynamically discover and apply symmetries as soft constraints. For neural network architectures, equivariance is commonly achieved through group transformations of a canonical weight tensor, resulting in weight sharing over a given group $G$. In this work, we propose to learn such a weight-sharing scheme by defining a collection of learnable doubly stochastic matrices that act as soft permutation matrices on canonical weight tensors, which can take regular group representations as a special case. This yields learnable kernel transformations that are jointly optimized with downstream tasks. We show that when the dataset exhibits strong symmetries, the permutation matrices will converge to regular group representations and our weight-sharing networks effectively become regular group convolutions. Additionally, the flexibility of the method enables it to effectively pick up on partial symmetries.
Abstract:We show that the gradient of the cosine similarity between two points goes to zero in two under-explored settings: (1) if a point has large magnitude or (2) if the points are on opposite ends of the latent space. Counterintuitively, we prove that optimizing the cosine similarity between points forces them to grow in magnitude. Thus, (1) is unavoidable in practice. We then observe that these derivations are extremely general -- they hold across deep learning architectures and for many of the standard self-supervised learning (SSL) loss functions. This leads us to propose cut-initialization: a simple change to network initialization that helps all studied SSL methods converge faster.




Abstract:Recently, Conditional Neural Fields (NeFs) have emerged as a powerful modelling paradigm for PDEs, by learning solutions as flows in the latent space of the Conditional NeF. Although benefiting from favourable properties of NeFs such as grid-agnosticity and space-time-continuous dynamics modelling, this approach limits the ability to impose known constraints of the PDE on the solutions -- e.g. symmetries or boundary conditions -- in favour of modelling flexibility. Instead, we propose a space-time continuous NeF-based solving framework that - by preserving geometric information in the latent space - respects known symmetries of the PDE. We show that modelling solutions as flows of pointclouds over the group of interest $G$ improves generalization and data-efficiency. We validated that our framework readily generalizes to unseen spatial and temporal locations, as well as geometric transformations of the initial conditions - where other NeF-based PDE forecasting methods fail - and improve over baselines in a number of challenging geometries.




Abstract:This paper introduces E(n) Equivariant Message Passing Cellular Networks (EMPCNs), an extension of E(n) Equivariant Graph Neural Networks to CW-complexes. Our approach addresses two aspects of geometric message passing networks: 1) enhancing their expressiveness by incorporating arbitrary cells, and 2) achieving this in a computationally efficient way with a decoupled EMPCNs technique. We demonstrate that EMPCNs achieve close to state-of-the-art performance on multiple tasks without the need for steerability, including many-body predictions and motion capture. Moreover, ablation studies confirm that decoupled EMPCNs exhibit stronger generalization capabilities than their non-topologically informed counterparts. These findings show that EMPCNs can be used as a scalable and expressive framework for higher-order message passing in geometric and topological graphs




Abstract:Systems of interacting objects often evolve under the influence of field effects that govern their dynamics, yet previous works have abstracted away from such effects, and assume that systems evolve in a vacuum. In this work, we focus on discovering these fields, and infer them from the observed dynamics alone, without directly observing them. We theorize the presence of latent force fields, and propose neural fields to learn them. Since the observed dynamics constitute the net effect of local object interactions and global field effects, recently popularized equivariant networks are inapplicable, as they fail to capture global information. To address this, we propose to disentangle local object interactions -- which are $\mathrm{SE}(n)$ equivariant and depend on relative states -- from external global field effects -- which depend on absolute states. We model interactions with equivariant graph networks, and combine them with neural fields in a novel graph network that integrates field forces. Our experiments show that we can accurately discover the underlying fields in charged particles settings, traffic scenes, and gravitational n-body problems, and effectively use them to learn the system and forecast future trajectories.




Abstract:In this paper, we investigate properties and limitations of invariance learned by neural networks from the data compared to the genuine invariance achieved through invariant weight-tying. To do so, we adopt a group theoretical perspective and analyze invariance learning in neural networks without weight-tying constraints. We demonstrate that even when a network learns to correctly classify samples on a group orbit, the underlying decision-making in such a model does not attain genuine invariance. Instead, learned invariance is strongly conditioned on the input data, rendering it unreliable if the input distribution shifts. We next demonstrate how to guide invariance learning toward genuine invariance by regularizing the invariance of a model at the training. To this end, we propose several metrics to quantify learned invariance: (i) predictive distribution invariance, (ii) logit invariance, and (iii) saliency invariance similarity. We show that the invariance learned with the invariance error regularization closely reassembles the genuine invariance of weight-tying models and reliably holds even under a severe input distribution shift. Closer analysis of the learned invariance also reveals the spectral decay phenomenon, when a network chooses to achieve the invariance to a specific transformation group by reducing the sensitivity to any input perturbation.




Abstract:Neural operations that rely on neighborhood information are much more expensive when deployed on point clouds than on grid data due to the irregular distances between points in a point cloud. In a grid, on the other hand, we can compute the kernel only once and reuse it for all query positions. As a result, operations that rely on neighborhood information scale much worse for point clouds than for grid data, specially for large inputs and large neighborhoods. In this work, we address the scalability issue of point cloud methods by tackling its root cause: the irregularity of the data. We propose learnable gridification as the first step in a point cloud processing pipeline to transform the point cloud into a compact, regular grid. Thanks to gridification, subsequent layers can use operations defined on regular grids, e.g., Conv3D, which scale much better than native point cloud methods. We then extend gridification to point cloud to point cloud tasks, e.g., segmentation, by adding a learnable de-gridification step at the end of the point cloud processing pipeline to map the compact, regular grid back to its original point cloud form. Through theoretical and empirical analysis, we show that gridified networks scale better in terms of memory and time than networks directly applied on raw point cloud data, while being able to achieve competitive results. Our code is publicly available at https://github.com/computri/gridifier.