



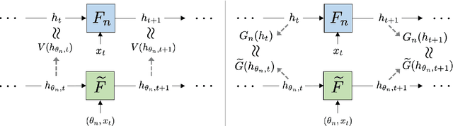
Abstract:A core challenge in the interpretation of deep neural networks is identifying commonalities between the underlying algorithms implemented by distinct networks trained for the same task. Motivated by this problem, we introduce DYNAMO, an algorithm that constructs low-dimensional manifolds where each point corresponds to a neural network model, and two points are nearby if the corresponding neural networks enact similar high-level computational processes. DYNAMO takes as input a collection of pre-trained neural networks and outputs a meta-model that emulates the dynamics of the hidden states as well as the outputs of any model in the collection. The specific model to be emulated is determined by a model embedding vector that the meta-model takes as input; these model embedding vectors constitute a manifold corresponding to the given population of models. We apply DYNAMO to both RNNs and CNNs, and find that the resulting model embedding spaces enable novel applications: clustering of neural networks on the basis of their high-level computational processes in a manner that is less sensitive to reparameterization; model averaging of several neural networks trained on the same task to arrive at a new, operable neural network with similar task performance; and semi-supervised learning via optimization on the model embedding space. Using a fixed-point analysis of meta-models trained on populations of RNNs, we gain new insights into how similarities of the topology of RNN dynamics correspond to similarities of their high-level computational processes.
Abstract:Neuroscience has long been an important driver of progress in artificial intelligence (AI). We propose that to accelerate progress in AI, we must invest in fundamental research in NeuroAI.




Abstract:Recurrent neural networks (RNNs) are powerful models for processing time-series data, but it remains challenging to understand how they function. Improving this understanding is of substantial interest to both the machine learning and neuroscience communities. The framework of reverse engineering a trained RNN by linearizing around its fixed points has provided insight, but the approach has significant challenges. These include difficulty choosing which fixed point to expand around when studying RNN dynamics and error accumulation when reconstructing the nonlinear dynamics with the linearized dynamics. We present a new model that overcomes these limitations by co-training an RNN with a novel switching linear dynamical system (SLDS) formulation. A first-order Taylor series expansion of the co-trained RNN and an auxiliary function trained to pick out the RNN's fixed points govern the SLDS dynamics. The results are a trained SLDS variant that closely approximates the RNN, an auxiliary function that can produce a fixed point for each point in state-space, and a trained nonlinear RNN whose dynamics have been regularized such that its first-order terms perform the computation, if possible. This model removes the post-training fixed point optimization and allows us to unambiguously study the learned dynamics of the SLDS at any point in state-space. It also generalizes SLDS models to continuous manifolds of switching points while sharing parameters across switches. We validate the utility of the model on two synthetic tasks relevant to previous work reverse engineering RNNs. We then show that our model can be used as a drop-in in more complex architectures, such as LFADS, and apply this LFADS hybrid to analyze single-trial spiking activity from the motor system of a non-human primate.




Abstract:Learned optimizers are algorithms that can themselves be trained to solve optimization problems. In contrast to baseline optimizers (such as momentum or Adam) that use simple update rules derived from theoretical principles, learned optimizers use flexible, high-dimensional, nonlinear parameterizations. Although this can lead to better performance in certain settings, their inner workings remain a mystery. How is a learned optimizer able to outperform a well tuned baseline? Has it learned a sophisticated combination of existing optimization techniques, or is it implementing completely new behavior? In this work, we address these questions by careful analysis and visualization of learned optimizers. We study learned optimizers trained from scratch on three disparate tasks, and discover that they have learned interpretable mechanisms, including: momentum, gradient clipping, learning rate schedules, and a new form of learning rate adaptation. Moreover, we show how the dynamics of learned optimizers enables these behaviors. Our results help elucidate the previously murky understanding of how learned optimizers work, and establish tools for interpreting future learned optimizers.




Abstract:Despite the widespread application of recurrent neural networks (RNNs) across a variety of tasks, a unified understanding of how RNNs solve these tasks remains elusive. In particular, it is unclear what dynamical patterns arise in trained RNNs, and how those patterns depend on the training dataset or task. This work addresses these questions in the context of a specific natural language processing task: text classification. Using tools from dynamical systems analysis, we study recurrent networks trained on a battery of both natural and synthetic text classification tasks. We find the dynamics of these trained RNNs to be both interpretable and low-dimensional. Specifically, across architectures and datasets, RNNs accumulate evidence for each class as they process the text, using a low-dimensional attractor manifold as the underlying mechanism. Moreover, the dimensionality and geometry of the attractor manifold are determined by the structure of the training dataset; in particular, we describe how simple word-count statistics computed on the training dataset can be used to predict these properties. Our observations span multiple architectures and datasets, reflecting a common mechanism RNNs employ to perform text classification. To the degree that integration of evidence towards a decision is a common computational primitive, this work lays the foundation for using dynamical systems techniques to study the inner workings of RNNs.




Abstract:Neural networks have a remarkable capacity for contextual processing--using recent or nearby inputs to modify processing of current input. For example, in natural language, contextual processing is necessary to correctly interpret negation (e.g. phrases such as "not bad"). However, our ability to understand how networks process context is limited. Here, we propose general methods for reverse engineering recurrent neural networks (RNNs) to identify and elucidate contextual processing. We apply these methods to understand RNNs trained on sentiment classification. This analysis reveals inputs that induce contextual effects, quantifies the strength and timescale of these effects, and identifies sets of these inputs with similar properties. Additionally, we analyze contextual effects related to differential processing of the beginning and end of documents. Using the insights learned from the RNNs we improve baseline Bag-of-Words models with simple extensions that incorporate contextual modification, recovering greater than 90% of the RNN's performance increase over the baseline. This work yields a new understanding of how RNNs process contextual information, and provides tools that should provide similar insight more broadly.




Abstract:Task-based modeling with recurrent neural networks (RNNs) has emerged as a popular way to infer the computational function of different brain regions. These models are quantitatively assessed by comparing the low-dimensional neural representations of the model with the brain, for example using canonical correlation analysis (CCA). However, the nature of the detailed neurobiological inferences one can draw from such efforts remains elusive. For example, to what extent does training neural networks to solve common tasks uniquely determine the network dynamics, independent of modeling architectural choices? Or alternatively, are the learned dynamics highly sensitive to different model choices? Knowing the answer to these questions has strong implications for whether and how we should use task-based RNN modeling to understand brain dynamics. To address these foundational questions, we study populations of thousands of networks, with commonly used RNN architectures, trained to solve neuroscientifically motivated tasks and characterize their nonlinear dynamics. We find the geometry of the RNN representations can be highly sensitive to different network architectures, yielding a cautionary tale for measures of similarity that rely representational geometry, such as CCA. Moreover, we find that while the geometry of neural dynamics can vary greatly across architectures, the underlying computational scaffold---the topological structure of fixed points, transitions between them, limit cycles, and linearized dynamics---often appears universal across all architectures.




Abstract:Recurrent neural networks (RNNs) are a widely used tool for modeling sequential data, yet they are often treated as inscrutable black boxes. Given a trained recurrent network, we would like to reverse engineer it--to obtain a quantitative, interpretable description of how it solves a particular task. Even for simple tasks, a detailed understanding of how recurrent networks work, or a prescription for how to develop such an understanding, remains elusive. In this work, we use tools from dynamical systems analysis to reverse engineer recurrent networks trained to perform sentiment classification, a foundational natural language processing task. Given a trained network, we find fixed points of the recurrent dynamics and linearize the nonlinear system around these fixed points. Despite their theoretical capacity to implement complex, high-dimensional computations, we find that trained networks converge to highly interpretable, low-dimensional representations. In particular, the topological structure of the fixed points and corresponding linearized dynamics reveal an approximate line attractor within the RNN, which we can use to quantitatively understand how the RNN solves the sentiment analysis task. Finally, we find this mechanism present across RNN architectures (including LSTMs, GRUs, and vanilla RNNs) trained on multiple datasets, suggesting that our findings are not unique to a particular architecture or dataset. Overall, these results demonstrate that surprisingly universal and human interpretable computations can arise across a range of recurrent networks.




Abstract:Feed-forward convolutional neural networks (CNNs) are currently state-of-the-art for object classification tasks such as ImageNet. Further, they are quantitatively accurate models of temporally-averaged responses of neurons in the primate brain's visual system. However, biological visual systems have two ubiquitous architectural features not shared with typical CNNs: local recurrence within cortical areas, and long-range feedback from downstream areas to upstream areas. Here we explored the role of recurrence in improving classification performance. We found that standard forms of recurrence (vanilla RNNs and LSTMs) do not perform well within deep CNNs on the ImageNet task. In contrast, novel cells that incorporated two structural features, bypassing and gating, were able to boost task accuracy substantially. We extended these design principles in an automated search over thousands of model architectures, which identified novel local recurrent cells and long-range feedback connections useful for object recognition. Moreover, these task-optimized ConvRNNs matched the dynamics of neural activity in the primate visual system better than feedforward networks, suggesting a role for the brain's recurrent connections in performing difficult visual behaviors.




Abstract:A vexing problem in artificial intelligence is reasoning about events that occur in complex, changing visual stimuli such as in video analysis or game play. Inspired by a rich tradition of visual reasoning and memory in cognitive psychology and neuroscience, we developed an artificial, configurable visual question and answer dataset (COG) to parallel experiments in humans and animals. COG is much simpler than the general problem of video analysis, yet it addresses many of the problems relating to visual and logical reasoning and memory -- problems that remain challenging for modern deep learning architectures. We additionally propose a deep learning architecture that performs competitively on other diagnostic VQA datasets (i.e. CLEVR) as well as easy settings of the COG dataset. However, several settings of COG result in datasets that are progressively more challenging to learn. After training, the network can zero-shot generalize to many new tasks. Preliminary analyses of the network architectures trained on COG demonstrate that the network accomplishes the task in a manner interpretable to humans.