Abstract:AI coding assistants like GitHub Copilot are rapidly transforming software development, but their safety remains deeply uncertain-especially in high-stakes domains like cybersecurity. Current red-teaming tools often rely on fixed benchmarks or unrealistic prompts, missing many real-world vulnerabilities. We present ASTRA, an automated agent system designed to systematically uncover safety flaws in AI-driven code generation and security guidance systems. ASTRA works in three stages: (1) it builds structured domain-specific knowledge graphs that model complex software tasks and known weaknesses; (2) it performs online vulnerability exploration of each target model by adaptively probing both its input space, i.e., the spatial exploration, and its reasoning processes, i.e., the temporal exploration, guided by the knowledge graphs; and (3) it generates high-quality violation-inducing cases to improve model alignment. Unlike prior methods, ASTRA focuses on realistic inputs-requests that developers might actually ask-and uses both offline abstraction guided domain modeling and online domain knowledge graph adaptation to surface corner-case vulnerabilities. Across two major evaluation domains, ASTRA finds 11-66% more issues than existing techniques and produces test cases that lead to 17% more effective alignment training, showing its practical value for building safer AI systems.




Abstract:Large language models (LLMs) have democratized software development, reducing the expertise barrier for programming complex applications. This accessibility extends to malicious software development, raising significant security concerns. While LLM providers have implemented alignment mechanisms to prevent direct generation of overtly malicious code, these safeguards predominantly evaluate individual prompts in isolation, overlooking a critical vulnerability: malicious operations can be systematically decomposed into benign-appearing sub-tasks. In this paper, we introduce the Malware Generation Compiler (MGC), a novel framework that leverages this vulnerability through modular decomposition and alignment-evasive generation. MGC employs a specialized Malware Description Intermediate Representation (MDIR) to bridge high-level malicious intents and benign-appearing code snippets. Extensive evaluation demonstrates that our attack reliably generates functional malware across diverse task specifications and categories, outperforming jailbreaking methods by +365.79% and underground services by +78.07% in correctness on three benchmark datasets. Case studies further show that MGC can reproduce and even enhance 16 real-world malware samples. This work provides critical insights for security researchers by exposing the risks of compositional attacks against aligned AI systems. Demonstrations are available at https://sites.google.com/view/malware-generation-compiler.
Abstract:LLM agents are increasingly deployed to automate real-world tasks by invoking APIs through natural language instructions. While powerful, they often suffer from misinterpretation of user intent, leading to the agent's actions that diverge from the user's intended goal, especially as external toolkits evolve. Traditional software testing assumes structured inputs and thus falls short in handling the ambiguity of natural language. We introduce IntenTest, an API-centric stress testing framework that systematically uncovers intent integrity violations in LLM agents. Unlike prior work focused on fixed benchmarks or adversarial inputs, IntenTest generates realistic tasks based on toolkits' documentation and applies targeted mutations to expose subtle agent errors while preserving user intent. To guide testing, we propose semantic partitioning, which organizes natural language tasks into meaningful categories based on toolkit API parameters and their equivalence classes. Within each partition, seed tasks are mutated and ranked by a lightweight predictor that estimates the likelihood of triggering agent errors. To enhance efficiency, IntenTest maintains a datatype-aware strategy memory that retrieves and adapts effective mutation patterns from past cases. Experiments on 80 toolkit APIs demonstrate that IntenTest effectively uncovers intent integrity violations, significantly outperforming baselines in both error-exposing rate and query efficiency. Moreover, IntenTest generalizes well to stronger target models using smaller LLMs for test generation, and adapts to evolving APIs across domains.




Abstract:Entity Alignment (EA) seeks to identify and match corresponding entities across different Knowledge Graphs (KGs), playing a crucial role in knowledge fusion and integration. Embedding-based entity alignment (EA) has recently gained considerable attention, resulting in the emergence of many innovative approaches. Initially, these approaches concentrated on learning entity embeddings based on the structural features of knowledge graphs (KGs) as defined by relation triples. Subsequent methods have integrated entities' names and attributes as supplementary information to improve the embeddings used for EA. However, existing methods lack a deep semantic understanding of entity attributes and relations. In this paper, we propose a Large Language Model (LLM) based Entity Alignment method, LLM-Align, which explores the instruction-following and zero-shot capabilities of Large Language Models to infer alignments of entities. LLM-Align uses heuristic methods to select important attributes and relations of entities, and then feeds the selected triples of entities to an LLM to infer the alignment results. To guarantee the quality of alignment results, we design a multi-round voting mechanism to mitigate the hallucination and positional bias issues that occur with LLMs. Experiments on three EA datasets, demonstrating that our approach achieves state-of-the-art performance compared to existing EA methods.




Abstract:Robot navigation is increasingly crucial across applications like delivery services and warehouse management. The integration of Reinforcement Learning (RL) with classical planning has given rise to meta-planners that combine the adaptability of RL with the explainable decision-making of classical planners. However, the exploration capabilities of RL-based meta-planners during training are often constrained by the capabilities of the underlying classical planners. This constraint can result in limited exploration, thereby leading to sampling skew issues. To address these issues, our paper introduces a novel framework, DIGIMON, which begins with behavior-guided diagnosis for exploration bottlenecks within the meta-planner and follows up with a mitigation strategy that conducts up-sampling from diagnosed bottleneck data. Our evaluation shows 13.5%+ improvement in navigation performance, greater robustness in out-of-distribution environments, and a 4x boost in training efficiency. DIGIMON is designed as a versatile, plug-and-play solution, allowing seamless integration into various RL-based meta-planners.




Abstract:Entity Alignment (EA) aims to match equivalent entities in different Knowledge Graphs (KGs), which is essential for knowledge fusion and integration. Recently, embedding-based EA has attracted significant attention and many approaches have been proposed. Early approaches primarily focus on learning entity embeddings from the structural features of KGs, defined by relation triples. Later methods incorporated entities' names and attributes as auxiliary information to enhance embeddings for EA. However, these approaches often used different techniques to encode structural and attribute information, limiting their interaction and mutual enhancement. In this work, we propose a dense entity retrieval framework for EA, leveraging language models to uniformly encode various features of entities and facilitate nearest entity search across KGs. Alignment candidates are first generated through entity retrieval, which are subsequently reranked to determine the final alignments. We conduct comprehensive experiments on both cross-lingual and monolingual EA datasets, demonstrating that our approach achieves state-of-the-art performance compared to existing EA methods.
Abstract:Backdoor attacks have emerged as a prominent threat to natural language processing (NLP) models, where the presence of specific triggers in the input can lead poisoned models to misclassify these inputs to predetermined target classes. Current detection mechanisms are limited by their inability to address more covert backdoor strategies, such as style-based attacks. In this work, we propose an innovative test-time poisoned sample detection framework that hinges on the interpretability of model predictions, grounded in the semantic meaning of inputs. We contend that triggers (e.g., infrequent words) are not supposed to fundamentally alter the underlying semantic meanings of poisoned samples as they want to stay stealthy. Based on this observation, we hypothesize that while the model's predictions for paraphrased clean samples should remain stable, predictions for poisoned samples should revert to their true labels upon the mutations applied to triggers during the paraphrasing process. We employ ChatGPT, a state-of-the-art large language model, as our paraphraser and formulate the trigger-removal task as a prompt engineering problem. We adopt fuzzing, a technique commonly used for unearthing software vulnerabilities, to discover optimal paraphrase prompts that can effectively eliminate triggers while concurrently maintaining input semantics. Experiments on 4 types of backdoor attacks, including the subtle style backdoors, and 4 distinct datasets demonstrate that our approach surpasses baseline methods, including STRIP, RAP, and ONION, in precision and recall.




Abstract:The presence of label noise in the training data has a profound impact on the generalization of deep neural networks (DNNs). In this study, we introduce and theoretically demonstrate a simple feature noise method, which directly adds noise to the features of training data, can enhance the generalization of DNNs under label noise. Specifically, we conduct theoretical analyses to reveal that label noise leads to weakened DNN generalization by loosening the PAC-Bayes generalization bound, and feature noise results in better DNN generalization by imposing an upper bound on the mutual information between the model weights and the features, which constrains the PAC-Bayes generalization bound. Furthermore, to ensure effective generalization of DNNs in the presence of label noise, we conduct application analyses to identify the optimal types and levels of feature noise to add for obtaining desirable label noise generalization. Finally, extensive experimental results on several popular datasets demonstrate the feature noise method can significantly enhance the label noise generalization of the state-of-the-art label noise method.




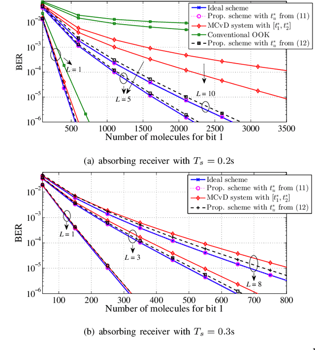
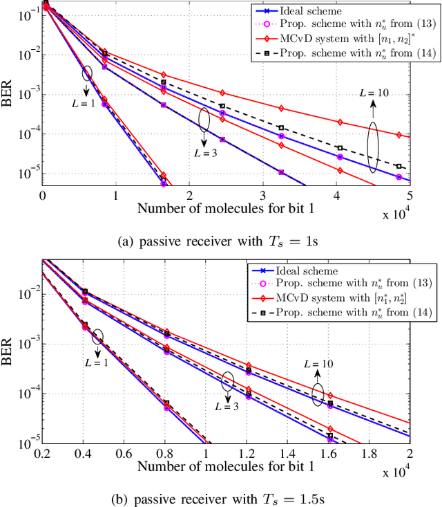
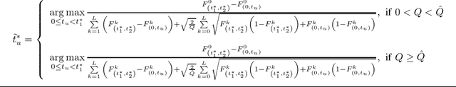
Abstract:In this paper, we propose a novel inter-symbol interference (ISI) mitigation scheme for molecular communication via diffusion (MCvD) systems with the optimal detection interval. Its rationale is to exploit the discarded duration (i.e., the symbol duration outside this optimal interval) to relieve ISI in the target system. Following this idea, we formulate an objective function to quantify the impact of the discarded time on bit error rate (BER) performance. Besides, an optimally reusable interval within the discarded duration is derived in closed form, which applies to both the absorbing and passive receivers. Finally, numerical results validate our analysis and show that for the considered MCvD system, significant BER improvements can be achieved by using the derived reusable duration.




Abstract:Molecular communication has a key role to play in future medical applications, including detecting, analyzing, and addressing infectious disease outbreaks. Overcoming inter-symbol interference (ISI) is one of the key challenges in the design of molecular communication systems. In this paper, we propose to optimize the detection interval to minimize the impact of ISI while ensuring the accurate detection of the transmitted information symbol, which is suitable for the absorbing and passive receivers. For tractability, based on the signal-to-interference difference (SID) and signal-to-interference-and-noise amplitude ratio (SINAR), we propose a modified-SINAR (mSINAR) to measure the bit error rate (BER) performance for the molecular communication system with a variable detection interval. Besides, we derive the optimal detection interval in closed form. Using simulation results, we show that the BER performance of our proposed mSINAR scheme is superior to the competing schemes, and achieves similar performance to optimal intervals found by the exhaustive search.