Abstract:In recommender systems, online A/B testing is a crucial method for evaluating the performance of different models. However, conducting online A/B testing often presents significant challenges, including substantial economic costs, user experience degradation, and considerable time requirements. With the Large Language Models' powerful capacity, LLM-based agent shows great potential to replace traditional online A/B testing. Nonetheless, current agents fail to simulate the perception process and interaction patterns, due to the lack of real environments and visual perception capability. To address these challenges, we introduce a multi-modal user agent for A/B testing (A/B Agent). Specifically, we construct a recommendation sandbox environment for A/B testing, enabling multimodal and multi-page interactions that align with real user behavior on online platforms. The designed agent leverages multimodal information perception, fine-grained user preferences, and integrates profiles, action memory retrieval, and a fatigue system to simulate complex human decision-making. We validated the potential of the agent as an alternative to traditional A/B testing from three perspectives: model, data, and features. Furthermore, we found that the data generated by A/B Agent can effectively enhance the capabilities of recommendation models. Our code is publicly available at https://github.com/Applied-Machine-Learning-Lab/ABAgent.
Abstract:Retrieval-augmented generation (RAG) enhances the text generation capabilities of large language models (LLMs) by integrating external knowledge and up-to-date information. However, traditional RAG systems are limited by static workflows and lack the adaptability required for multistep reasoning and complex task management. To address these limitations, agentic RAG systems (e.g., DeepResearch) have been proposed, enabling dynamic retrieval strategies, iterative context refinement, and adaptive workflows for handling complex search queries beyond the capabilities of conventional RAG. Recent advances, such as Search-R1, have demonstrated promising gains using outcome-based reinforcement learning, where the correctness of the final answer serves as the reward signal. Nevertheless, such outcome-supervised agentic RAG methods face challenges including low exploration efficiency, gradient conflict, and sparse reward signals. To overcome these challenges, we propose to utilize fine-grained, process-level rewards to improve training stability, reduce computational costs, and enhance efficiency. Specifically, we introduce a novel method ReasonRAG that automatically constructs RAG-ProGuide, a high-quality dataset providing process-level rewards for (i) query generation, (ii) evidence extraction, and (iii) answer generation, thereby enhancing model inherent capabilities via process-supervised reinforcement learning. With the process-level policy optimization, the proposed framework empowers LLMs to autonomously invoke search, generate queries, extract relevant evidence, and produce final answers. Compared to existing approaches such as Search-R1 and traditional RAG systems, ReasonRAG, leveraging RAG-ProGuide, achieves superior performance on five benchmark datasets using only 5k training instances, significantly fewer than the 90k training instances required by Search-R1.
Abstract:Personalization has become an essential capability in modern AI systems, enabling customized interactions that align with individual user preferences, contexts, and goals. Recent research has increasingly concentrated on Retrieval-Augmented Generation (RAG) frameworks and their evolution into more advanced agent-based architectures within personalized settings to enhance user satisfaction. Building on this foundation, this survey systematically examines personalization across the three core stages of RAG: pre-retrieval, retrieval, and generation. Beyond RAG, we further extend its capabilities into the realm of Personalized LLM-based Agents, which enhance traditional RAG systems with agentic functionalities, including user understanding, personalized planning and execution, and dynamic generation. For both personalization in RAG and agent-based personalization, we provide formal definitions, conduct a comprehensive review of recent literature, and summarize key datasets and evaluation metrics. Additionally, we discuss fundamental challenges, limitations, and promising research directions in this evolving field. Relevant papers and resources are continuously updated at https://github.com/Applied-Machine-Learning-Lab/Awesome-Personalized-RAG-Agent.




Abstract:Recommender systems aim to predict user interest based on historical behavioral data. They are mainly designed in sequential pipelines, requiring lots of data to train different sub-systems, and are hard to scale to new domains. Recently, Large Language Models (LLMs) have demonstrated remarkable generalized capabilities, enabling a singular model to tackle diverse recommendation tasks across various scenarios. Nonetheless, existing LLM-based recommendation systems utilize LLM purely for a single task of the recommendation pipeline. Besides, these systems face challenges in presenting large-scale item sets to LLMs in natural language format, due to the constraint of input length. To address these challenges, we introduce an LLM-based end-to-end recommendation framework: UniLLMRec. Specifically, UniLLMRec integrates multi-stage tasks (e.g. recall, ranking, re-ranking) via chain-of-recommendations. To deal with large-scale items, we propose a novel strategy to structure all items into an item tree, which can be dynamically updated and effectively retrieved. UniLLMRec shows promising zero-shot results in comparison with conventional supervised models. Additionally, it boasts high efficiency, reducing the input token need by 86% compared to existing LLM-based models. Such efficiency not only accelerates task completion but also optimizes resource utilization. To facilitate model understanding and to ensure reproducibility, we have made our code publicly available.




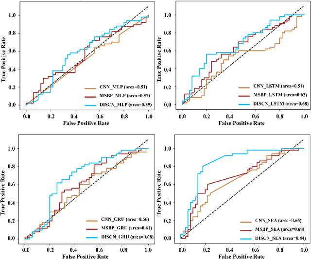
Abstract:Early diagnosis of Alzheimer's Disease (AD) is very important for following medical treatments, and eye movements under special visual stimuli may serve as a potential non-invasive biomarker for detecting cognitive abnormalities of AD patients. In this paper, we propose an Depth-induced saliency comparison network (DISCN) for eye movement analysis, which may be used for diagnosis the Alzheimers disease. In DISCN, a salient attention module fuses normal eye movements with RGB and depth maps of visual stimuli using hierarchical salient attention (SAA) to evaluate comprehensive saliency maps, which contain information from both visual stimuli and normal eye movement behaviors. In addition, we introduce serial attention module (SEA) to emphasis the most abnormal eye movement behaviors to reduce personal bias for a more robust result. According to our experiments, the DISCN achieves consistent validity in classifying the eye movements between the AD patients and normal controls.




Abstract:In recent years, large language models (LLMs) have spurred a new research paradigm in natural language processing. Despite their excellent capability in knowledge-based question answering and reasoning, their potential to retain faulty or even harmful knowledge poses risks of malicious application. The challenge of mitigating this issue and transforming these models into purer assistants is crucial for their widespread applicability. Unfortunately, Retraining LLMs repeatedly to eliminate undesirable knowledge is impractical due to their immense parameters. Knowledge unlearning, derived from analogous studies on machine unlearning, presents a promising avenue to address this concern and is notably advantageous in the context of LLMs. It allows for the removal of harmful knowledge in an efficient manner, without affecting unrelated knowledge in the model. To this end, we provide a survey of knowledge unlearning in the era of LLMs. Firstly, we formally define the knowledge unlearning problem and distinguish it from related works. Subsequently, we categorize existing knowledge unlearning methods into three classes: those based on parameter optimization, parameter merging, and in-context learning, and introduce details of these unlearning methods. We further present evaluation datasets used in existing methods, and finally conclude this survey by presenting the ongoing challenges and future directions.




Abstract:With the emergence of large language models (LLMs), multimodal models based on LLMs have demonstrated significant potential. Models such as LLaSM, X-LLM, and SpeechGPT exhibit an impressive ability to comprehend and generate human instructions. However, their performance often falters when faced with complex tasks like end-to-end speech translation (E2E-ST), a cross-language and cross-modal translation task. In comparison to single-modal models, multimodal models lag behind in these scenarios. This paper introduces LST, a Large multimodal model designed to excel at the E2E-ST task. LST consists of a speech frontend, an adapter, and a LLM backend. The training of LST consists of two stages: (1) Modality adjustment, where the adapter is tuned to align speech representation with text embedding space, and (2) Downstream task fine-tuning, where both the adapter and LLM model are trained to optimize performance on the E2EST task. Experimental results on the MuST-C speech translation benchmark demonstrate that LST-13B achieves BLEU scores of 30.39/41.55/35.33 on En-De/En-Fr/En-Es language pairs, surpassing previous models and establishing a new state-of-the-art. Additionally, we conduct an in-depth analysis of single-modal model selection and the impact of training strategies, which lays the foundation for future research. We will open up our code and models after review.




Abstract:Despite significant progress having been made in question answering on tabular data (Table QA), it's unclear whether, and to what extent existing Table QA models are robust to task-specific perturbations, e.g., replacing key question entities or shuffling table columns. To systematically study the robustness of Table QA models, we propose a benchmark called RobuT, which builds upon existing Table QA datasets (WTQ, WikiSQL-Weak, and SQA) and includes human-annotated adversarial perturbations in terms of table header, table content, and question. Our results indicate that both state-of-the-art Table QA models and large language models (e.g., GPT-3) with few-shot learning falter in these adversarial sets. We propose to address this problem by using large language models to generate adversarial examples to enhance training, which significantly improves the robustness of Table QA models. Our data and code is publicly available at https://github.com/yilunzhao/RobuT.
Abstract:The end-to-end speech translation (E2E-ST) model has gradually become a mainstream paradigm due to its low latency and less error propagation. However, it is non-trivial to train such a model well due to the task complexity and data scarcity. The speech-and-text modality differences result in the E2E-ST model performance usually inferior to the corresponding machine translation (MT) model. Based on the above observation, existing methods often use sharingmechanisms to carry out implicit knowledge transfer by imposing various constraints. However, the final model often performs worse on the MT task than the MT model trained alone, which means that the knowledge transfer ability of this method is also limited. To deal with these problems, we propose the FCCL (Fine- and Coarse- Granularity Contrastive Learning) approach for E2E-ST, which makes explicit knowledge transfer through cross-modal multi-grained contrastive learning. A key ingredient of our approach is applying contrastive learning at both sentence- and frame-level to give the comprehensive guide for extracting speech representations containing rich semantic information.In addition, we adopt a simple whitening method to alleviate the representation degeneration in the MT model, which adversely affects contrast learning. Experiments on the MuST-C benchmark show that our proposed approach significantly outperforms the state-of-the-art E2E-ST baselines on all eight language pairs. Further analysis indicates that FCCL can free up its capacity from learning grammatical structure information and force more layers to learn semantic information.
Abstract:Existing techniques often attempt to make knowledge transfer from a powerful machine translation (MT) to speech translation (ST) model with some elaborate techniques, which often requires transcription as extra input during training. However, transcriptions are not always available, and how to improve the ST model performance without transcription, i.e., data efficiency, has rarely been studied in the literature. In this paper, we propose Decoupled Non-parametric Knowledge Distillation (DNKD) from data perspective to improve the data efficiency. Our method follows the knowledge distillation paradigm. However, instead of obtaining the teacher distribution from a sophisticated MT model, we construct it from a non-parametric datastore via k-Nearest-Neighbor (kNN) retrieval, which removes the dependence on transcription and MT model. Then we decouple the classic knowledge distillation loss into target and non-target distillation to enhance the effect of the knowledge among non-target logits, which is the prominent "dark knowledge". Experiments on MuST-C corpus show that, the proposed method can achieve consistent improvement over the strong baseline without requiring any transcription.