Abstract:Large language models (LLMs) demonstrate strong general reasoning and language understanding, yet their performance degrades in domains governed by strict formal rules, precise terminology, and legally binding structure. Tax law exemplifies these challenges, as correct answers require exact statutory citation, structured legal argumentation, and numerical accuracy under rigid grading schemes. We algorithmically generate SteuerEx, the first open benchmark derived from authentic German university tax law examinations. SteuerEx comprises 115 expert-validated examination questions spanning six core tax law domains and multiple academic levels, and employs a statement-level, partial-credit evaluation framework that closely mirrors real examination practice. We further present SteuerLLM, a domain-adapted LLM for German tax law trained on a large-scale synthetic dataset generated from authentic examination material using a controlled retrieval-augmented pipeline. SteuerLLM (28B parameters) consistently outperforms general-purpose instruction-tuned models of comparable size and, in several cases, substantially larger systems, demonstrating that domain-specific data and architectural adaptation are more decisive than parameter scale for performance on realistic legal reasoning tasks. All benchmark data, training datasets, model weights, and evaluation code are released openly to support reproducible research in domain-specific legal artificial intelligence. A web-based demo of SteuerLLM is available at https://steuerllm.i5.ai.fau.de.
Abstract:Differential privacy (DP) provides formal protection for sensitive data but typically incurs substantial losses in diagnostic performance. Model initialization has emerged as a critical factor in mitigating this degradation, yet the role of modern self-supervised learning under full-model DP remains poorly understood. Here, we present a large-scale evaluation of initialization strategies for differentially private medical image analysis, using chest radiograph classification as a representative benchmark with more than 800,000 images. Using state-of-the-art ConvNeXt models trained with DP-SGD across realistic privacy regimes, we compare non-domain-specific supervised ImageNet initialization, non-domain-specific self-supervised DINOv3 initialization, and domain-specific supervised pretraining on MIMIC-CXR, the largest publicly available chest radiograph dataset. Evaluations are conducted across five external datasets spanning diverse institutions and acquisition settings. We show that DINOv3 initialization consistently improves diagnostic utility relative to ImageNet initialization under DP, but remains inferior to domain-specific supervised pretraining, which achieves performance closest to non-private baselines. We further demonstrate that initialization choice strongly influences demographic fairness, cross-dataset generalization, and robustness to data scale and model capacity under privacy constraints. The results establish initialization strategy as a central determinant of utility, fairness, and generalization in differentially private medical imaging.
Abstract:Self-supervised learning (SSL) has advanced visual representation learning, but its value in chest radiography, a high-volume imaging modality with fine-grained findings, remains unclear. Meta's DINOv3 extends earlier SSL models through Gram-anchored self-distillation. Whether these design choices improve transfer learning for chest radiography has not been systematically tested. We benchmarked DINOv3 against DINOv2 and ImageNet initialization across seven datasets (n>814,000). Two representative backbones were evaluated: ViT-B/16 and ConvNeXt-B. Images were analyzed at 224x224, 512x512, and 1024x1024 pixels. We additionally assessed frozen features from a 7B model. The primary outcome was mean AUROC across labels. At 224x224, DINOv3 and DINOv2 achieved comparable performance on adult datasets. Increasing resolution to 512x512 yielded consistent improvements for DINOv3 over both DINOv2 and ImageNet. In contrast, results in pediatric cohort showed no differences across initializations. Across all settings, ConvNeXt-B outperformed ViT-B/16. Models using frozen DINOv3-7B features underperformed relative to fully finetuned 86-89M-parameter backbones, highlighting the importance of domain adaptation. Scaling to 1024x1024 did not further improve accuracy. Resolution-related gains were most evident for boundary-dependent and small focal abnormalities. In chest radiography, higher input resolution is critical for leveraging the benefits of modern self-supervised models. 512x512 pixels represent a practical upper limit where DINOv3-initialized ConvNeXt-B networks provide the strongest performance, while larger inputs offer minimal return on cost. Clinically, these findings support use of finetuned, mid-sized backbones at 512x512 for chest radiograph interpretation, with the greatest gains expected in detecting subtle or boundary-centered lesions relevant to emergency and critical care settings.




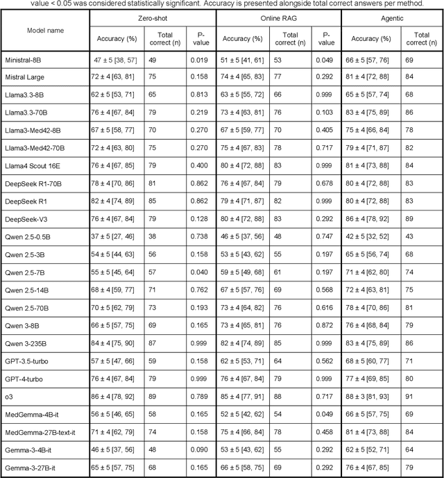
Abstract:Clinical decision-making in radiology increasingly benefits from artificial intelligence (AI), particularly through large language models (LLMs). However, traditional retrieval-augmented generation (RAG) systems for radiology question answering (QA) typically rely on single-step retrieval, limiting their ability to handle complex clinical reasoning tasks. Here we propose an agentic RAG framework enabling LLMs to autonomously decompose radiology questions, iteratively retrieve targeted clinical evidence from Radiopaedia, and dynamically synthesize evidence-based responses. We evaluated 24 LLMs spanning diverse architectures, parameter scales (0.5B to >670B), and training paradigms (general-purpose, reasoning-optimized, clinically fine-tuned), using 104 expert-curated radiology questions from previously established RSNA-RadioQA and ExtendedQA datasets. Agentic retrieval significantly improved mean diagnostic accuracy over zero-shot prompting (73% vs. 64%; P<0.001) and conventional online RAG (73% vs. 68%; P<0.001). The greatest gains occurred in mid-sized models (e.g., Mistral Large improved from 72% to 81%) and small-scale models (e.g., Qwen 2.5-7B improved from 55% to 71%), while very large models (>200B parameters) demonstrated minimal changes (<2% improvement). Additionally, agentic retrieval reduced hallucinations (mean 9.4%) and retrieved clinically relevant context in 46% of cases, substantially aiding factual grounding. Even clinically fine-tuned models exhibited meaningful improvements (e.g., MedGemma-27B improved from 71% to 81%), indicating complementary roles of retrieval and fine-tuning. These results highlight the potential of agentic frameworks to enhance factuality and diagnostic accuracy in radiology QA, particularly among mid-sized LLMs, warranting future studies to validate their clinical utility.
Abstract:Automatic anonymization techniques are essential for ethical sharing of pathological speech data, yet their perceptual consequences remain understudied. This study presents the first comprehensive human-centered analysis of anonymized pathological speech, using a structured perceptual protocol involving ten native and non-native German listeners with diverse linguistic, clinical, and technical backgrounds. Listeners evaluated anonymized-original utterance pairs from 180 speakers spanning Cleft Lip and Palate, Dysarthria, Dysglossia, Dysphonia, and age-matched healthy controls. Speech was anonymized using state-of-the-art automatic methods (equal error rates in the range of 30-40%). Listeners completed Turing-style discrimination and quality rating tasks under zero-shot (single-exposure) and few-shot (repeated-exposure) conditions. Discrimination accuracy was high overall (91% zero-shot; 93% few-shot), but varied by disorder (repeated-measures ANOVA: p=0.007), ranging from 96% (Dysarthria) to 86% (Dysphonia). Anonymization consistently reduced perceived quality (from 83% to 59%, p<0.001), with pathology-specific degradation patterns (one-way ANOVA: p=0.005). Native listeners rated original speech slightly higher than non-native listeners (Delta=4%, p=0.199), but this difference nearly disappeared after anonymization (Delta=1%, p=0.724). No significant gender-based bias was observed. Critically, human perceptual outcomes did not correlate with automatic privacy or clinical utility metrics. These results underscore the need for listener-informed, disorder- and context-specific anonymization strategies that preserve privacy while maintaining interpretability, communicative functions, and diagnostic utility, especially for vulnerable populations such as children.




Abstract:Reliable artificial intelligence (AI) models for medical image analysis often depend on large and diverse labeled datasets. Federated learning (FL) offers a decentralized and privacy-preserving approach to training but struggles in highly non-independent and identically distributed (non-IID) settings, where institutions with more representative data may experience degraded performance. Moreover, existing large-scale FL studies have been limited to adult datasets, neglecting the unique challenges posed by pediatric data, which introduces additional non-IID variability. To address these limitations, we analyzed n=398,523 adult chest radiographs from diverse institutions across multiple countries and n=9,125 pediatric images, leveraging transfer learning from general-purpose self-supervised image representations to classify pneumonia and cases with no abnormality. Using state-of-the-art vision transformers, we found that FL improved performance only for smaller adult datasets (P<0.001) but degraded performance for larger datasets (P<0.064) and pediatric cases (P=0.242). However, equipping FL with self-supervised weights significantly enhanced outcomes across pediatric cases (P=0.031) and most adult datasets (P<0.008), except the largest dataset (P=0.052). These findings underscore the potential of easily deployable general-purpose self-supervised image representations to address non-IID challenges in clinical FL applications and highlight their promise for enhancing patient outcomes and advancing pediatric healthcare, where data scarcity and variability remain persistent obstacles.




Abstract:Generative artificial intelligence (AI) models, such as diffusion models and OpenAI's ChatGPT, are transforming medicine by enhancing diagnostic accuracy and automating clinical workflows. The field has advanced rapidly, evolving from text-only large language models for tasks such as clinical documentation and decision support to multimodal AI systems capable of integrating diverse data modalities, including imaging, text, and structured data, within a single model. The diverse landscape of these technologies, along with rising interest, highlights the need for a comprehensive review of their applications and potential. This scoping review explores the evolution of multimodal AI, highlighting its methods, applications, datasets, and evaluation in clinical settings. Adhering to PRISMA-ScR guidelines, we systematically queried PubMed, IEEE Xplore, and Web of Science, prioritizing recent studies published up to the end of 2024. After rigorous screening, 144 papers were included, revealing key trends and challenges in this dynamic field. Our findings underscore a shift from unimodal to multimodal approaches, driving innovations in diagnostic support, medical report generation, drug discovery, and conversational AI. However, critical challenges remain, including the integration of heterogeneous data types, improving model interpretability, addressing ethical concerns, and validating AI systems in real-world clinical settings. This review summarizes the current state of the art, identifies critical gaps, and provides insights to guide the development of scalable, trustworthy, and clinically impactful multimodal AI solutions in healthcare.




Abstract:Speech pathology has impacts on communication abilities and quality of life. While deep learning-based models have shown potential in diagnosing these disorders, the use of sensitive data raises critical privacy concerns. Although differential privacy (DP) has been explored in the medical imaging domain, its application in pathological speech analysis remains largely unexplored despite the equally critical privacy concerns. This study is the first to investigate DP's impact on pathological speech data, focusing on the trade-offs between privacy, diagnostic accuracy, and fairness. Using a large, real-world dataset of 200 hours of recordings from 2,839 German-speaking participants, we observed a maximum accuracy reduction of 3.85% when training with DP with a privacy budget, denoted by {\epsilon}, of 7.51. To generalize our findings, we validated our approach on a smaller dataset of Spanish-speaking Parkinson's disease patients, demonstrating that careful pretraining on large-scale task-specific datasets can maintain or even improve model accuracy under DP constraints. We also conducted a comprehensive fairness analysis, revealing that reasonable privacy levels (2<{\epsilon}<10) do not introduce significant gender bias, though age-related disparities may require further attention. Our results suggest that DP can effectively balance privacy and utility in speech disorder detection, but also highlight the unique challenges in the speech domain, particularly regarding the privacy-fairness trade-off. This provides a foundation for future work to refine DP methodologies and address fairness across diverse patient groups in real-world deployments.




Abstract:Large language models (LLMs) have advanced the field of artificial intelligence (AI) in medicine. However LLMs often generate outdated or inaccurate information based on static training datasets. Retrieval augmented generation (RAG) mitigates this by integrating outside data sources. While previous RAG systems used pre-assembled, fixed databases with limited flexibility, we have developed Radiology RAG (RadioRAG) as an end-to-end framework that retrieves data from authoritative radiologic online sources in real-time. RadioRAG is evaluated using a dedicated radiologic question-and-answer dataset (RadioQA). We evaluate the diagnostic accuracy of various LLMs when answering radiology-specific questions with and without access to additional online information via RAG. Using 80 questions from RSNA Case Collection across radiologic subspecialties and 24 additional expert-curated questions, for which the correct gold-standard answers were available, LLMs (GPT-3.5-turbo, GPT-4, Mistral-7B, Mixtral-8x7B, and Llama3 [8B and 70B]) were prompted with and without RadioRAG. RadioRAG retrieved context-specific information from www.radiopaedia.org in real-time and incorporated them into its reply. RadioRAG consistently improved diagnostic accuracy across all LLMs, with relative improvements ranging from 2% to 54%. It matched or exceeded question answering without RAG across radiologic subspecialties, particularly in breast imaging and emergency radiology. However, degree of improvement varied among models; GPT-3.5-turbo and Mixtral-8x7B-instruct-v0.1 saw notable gains, while Mistral-7B-instruct-v0.2 showed no improvement, highlighting variability in its effectiveness. LLMs benefit when provided access to domain-specific data beyond their training data. For radiology, RadioRAG establishes a robust framework that substantially improves diagnostic accuracy and factuality in radiological question answering.
Abstract:Integration of speech into healthcare has intensified privacy concerns due to its potential as a non-invasive biomarker containing individual biometric information. In response, speaker anonymization aims to conceal personally identifiable information while retaining crucial linguistic content. However, the application of anonymization techniques to pathological speech, a critical area where privacy is especially vital, has not been extensively examined. This study investigates anonymization's impact on pathological speech across over 2,700 speakers from multiple German institutions, focusing on privacy, pathological utility, and demographic fairness. We explore both training-based and signal processing-based anonymization methods, and document substantial privacy improvements across disorders-evidenced by equal error rate increases up to 1933%, with minimal overall impact on utility. Specific disorders such as Dysarthria, Dysphonia, and Cleft Lip and Palate experienced minimal utility changes, while Dysglossia showed slight improvements. Our findings underscore that the impact of anonymization varies substantially across different disorders. This necessitates disorder-specific anonymization strategies to optimally balance privacy with diagnostic utility. Additionally, our fairness analysis revealed consistent anonymization effects across most of the demographics. This study demonstrates the effectiveness of anonymization in pathological speech for enhancing privacy, while also highlighting the importance of customized approaches to account for inversion attacks.