Abstract:Modern Latent Diffusion Models (LDMs) typically operate in low-level Variational Autoencoder (VAE) latent spaces that are primarily optimized for pixel-level reconstruction. To unify vision generation and understanding, a burgeoning trend is to adopt high-dimensional features from representation encoders as generative latents. However, we empirically identify two fundamental obstacles in this paradigm: (1) the discriminative feature space lacks compact regularization, making diffusion models prone to off-manifold latents that lead to inaccurate object structures; and (2) the encoder's inherently weak pixel-level reconstruction hinders the generator from learning accurate fine-grained geometry and texture. In this paper, we propose a systematic framework to adapt understanding-oriented encoder features for generative tasks. We introduce a semantic-pixel reconstruction objective to regularize the latent space, enabling the compression of both semantic information and fine-grained details into a highly compact representation (96 channels with 16x16 spatial downsampling). This design ensures that the latent space remains semantically rich and achieves state-of-the-art image reconstruction, while remaining compact enough for accurate generation. Leveraging this representation, we design a unified Text-to-Image (T2I) and image editing model. Benchmarking against various feature spaces, we demonstrate that our approach achieves state-of-the-art reconstruction, faster convergence, and substantial performance gains in both T2I and editing tasks, validating that representation encoders can be effectively adapted into robust generative components.
Abstract:The pursuit of efficient and controllable high-quality content generation remains a central challenge in artificial intelligence-generated content (AIGC). While one-step generators, enabled by diffusion distillation techniques, offer excellent generation quality and computational efficiency, adapting them to new control conditions--such as structural constraints, semantic guidelines, or external inputs--poses a significant challenge. Conventional approaches often necessitate computationally expensive modifications to the base model and subsequent diffusion distillation. This paper introduces Noise Consistency Training (NCT), a novel and lightweight approach to directly integrate new control signals into pre-trained one-step generators without requiring access to original training images or retraining the base diffusion model. NCT operates by introducing an adapter module and employs a noise consistency loss in the noise space of the generator. This loss aligns the adapted model's generation behavior across noises that are conditionally dependent to varying degrees, implicitly guiding it to adhere to the new control. Theoretically, this training objective can be understood as minimizing the distributional distance between the adapted generator and the conditional distribution induced by the new conditions. NCT is modular, data-efficient, and easily deployable, relying only on the pre-trained one-step generator and a control signal model. Extensive experiments demonstrate that NCT achieves state-of-the-art controllable generation in a single forward pass, surpassing existing multi-step and distillation-based methods in both generation quality and computational efficiency. Code is available at https://github.com/Luo-Yihong/NCT
Abstract:Diffusion-based large language models (Diffusion LLMs) have shown promise for non-autoregressive text generation with parallel decoding capabilities. However, the practical inference speed of open-sourced Diffusion LLMs often lags behind autoregressive models due to the lack of Key-Value (KV) Cache and quality degradation when decoding multiple tokens simultaneously. To bridge this gap, we introduce a novel block-wise approximate KV Cache mechanism tailored for bidirectional diffusion models, enabling cache reuse with negligible performance drop. Additionally, we identify the root cause of generation quality degradation in parallel decoding as the disruption of token dependencies under the conditional independence assumption. To address this, we propose a confidence-aware parallel decoding strategy that selectively decodes tokens exceeding a confidence threshold, mitigating dependency violations and maintaining generation quality. Experimental results on LLaDA and Dream models across multiple LLM benchmarks demonstrate up to \textbf{27.6$\times$ throughput} improvement with minimal accuracy loss, closing the performance gap with autoregressive models and paving the way for practical deployment of Diffusion LLMs.




Abstract:Diffusion models (DMs) have demonstrated remarkable ability to generate diverse and high-quality images by efficiently modeling complex data distributions. They have also been explored as powerful generative priors for signal recovery, resulting in a substantial improvement in the quality of reconstructed signals. However, existing research on signal recovery with diffusion models either focuses on specific reconstruction problems or is unable to handle nonlinear measurement models with discontinuous or unknown link functions. In this work, we focus on using DMs to achieve accurate recovery from semi-parametric single index models, which encompass a variety of popular nonlinear models that may have {\em discontinuous} and {\em unknown} link functions. We propose an efficient reconstruction method that only requires one round of unconditional sampling and (partial) inversion of DMs. Theoretical analysis on the effectiveness of the proposed methods has been established under appropriate conditions. We perform numerical experiments on image datasets for different nonlinear measurement models. We observe that compared to competing methods, our approach can yield more accurate reconstructions while utilizing significantly fewer neural function evaluations.




Abstract:Discrete diffusion models have recently shown great promise for modeling complex discrete data, with masked diffusion models (MDMs) offering a compelling trade-off between quality and generation speed. MDMs denoise by progressively unmasking multiple dimensions from an all-masked input, but their performance can degrade when using few denoising steps due to limited modeling of inter-dimensional dependencies. In this paper, we propose Variational Autoencoding Discrete Diffusion (VADD), a novel framework that enhances discrete diffusion with latent variable modeling to implicitly capture correlations among dimensions. By introducing an auxiliary recognition model, VADD enables stable training via variational lower bounds maximization and amortized inference over the training set. Our approach retains the efficiency of traditional MDMs while significantly improving sample quality, especially when the number of denoising steps is small. Empirical results on 2D toy data, pixel-level image generation, and text generation demonstrate that VADD consistently outperforms MDM baselines.
Abstract:Diffusion probabilistic models (DPMs), widely recognized for their potential to generate high-quality samples, tend to go unnoticed in representation learning. While recent progress has highlighted their potential for capturing visual semantics, adapting DPMs to graph representation learning remains in its infancy. In this paper, we introduce Graffe, a self-supervised diffusion model proposed for graph representation learning. It features a graph encoder that distills a source graph into a compact representation, which, in turn, serves as the condition to guide the denoising process of the diffusion decoder. To evaluate the effectiveness of our model, we first explore the theoretical foundations of applying diffusion models to representation learning, proving that the denoising objective implicitly maximizes the conditional mutual information between data and its representation. Specifically, we prove that the negative logarithm of the denoising score matching loss is a tractable lower bound for the conditional mutual information. Empirically, we conduct a series of case studies to validate our theoretical insights. In addition, Graffe delivers competitive results under the linear probing setting on node and graph classification tasks, achieving state-of-the-art performance on 9 of the 11 real-world datasets. These findings indicate that powerful generative models, especially diffusion models, serve as an effective tool for graph representation learning.
Abstract:Diffusion Probabilistic Models (DPMs) have achieved significant success in generative tasks. However, their training and sampling processes suffer from the issue of distribution mismatch. During the denoising process, the input data distributions differ between the training and inference stages, potentially leading to inaccurate data generation. To obviate this, we analyze the training objective of DPMs and theoretically demonstrate that this mismatch can be alleviated through Distributionally Robust Optimization (DRO), which is equivalent to performing robustness-driven Adversarial Training (AT) on DPMs. Furthermore, for the recently proposed Consistency Model (CM), which distills the inference process of the DPM, we prove that its training objective also encounters the mismatch issue. Fortunately, this issue can be mitigated by AT as well. Based on these insights, we propose to conduct efficient AT on both DPM and CM. Finally, extensive empirical studies validate the effectiveness of AT in diffusion-based models. The code is available at https://github.com/kugwzk/AT_Diff.




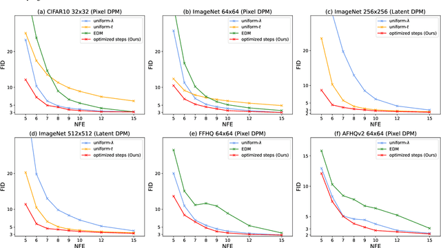
Abstract:Diffusion probabilistic models (DPMs) have shown remarkable performance in high-resolution image synthesis, but their sampling efficiency is still to be desired due to the typically large number of sampling steps. Recent advancements in high-order numerical ODE solvers for DPMs have enabled the generation of high-quality images with much fewer sampling steps. While this is a significant development, most sampling methods still employ uniform time steps, which is not optimal when using a small number of steps. To address this issue, we propose a general framework for designing an optimization problem that seeks more appropriate time steps for a specific numerical ODE solver for DPMs. This optimization problem aims to minimize the distance between the ground-truth solution to the ODE and an approximate solution corresponding to the numerical solver. It can be efficiently solved using the constrained trust region method, taking less than $15$ seconds. Our extensive experiments on both unconditional and conditional sampling using pixel- and latent-space DPMs demonstrate that, when combined with the state-of-the-art sampling method UniPC, our optimized time steps significantly improve image generation performance in terms of FID scores for datasets such as CIFAR-10 and ImageNet, compared to using uniform time steps.




Abstract:With the incorporation of the UNet architecture, diffusion probabilistic models have become a dominant force in image generation tasks. One key design in UNet is the skip connections between the encoder and decoder blocks. Although skip connections have been shown to improve training stability and model performance, we reveal that such shortcuts can be a limiting factor for the complexity of the transformation. As the sampling steps decrease, the generation process and the role of the UNet get closer to the push-forward transformations from Gaussian distribution to the target, posing a challenge for the network's complexity. To address this challenge, we propose Skip-Tuning, a simple yet surprisingly effective training-free tuning method on the skip connections. Our method can achieve 100% FID improvement for pretrained EDM on ImageNet 64 with only 19 NFEs (1.75), breaking the limit of ODE samplers regardless of sampling steps. Surprisingly, the improvement persists when we increase the number of sampling steps and can even surpass the best result from EDM-2 (1.58) with only 39 NFEs (1.57). Comprehensive exploratory experiments are conducted to shed light on the surprising effectiveness. We observe that while Skip-Tuning increases the score-matching losses in the pixel space, the losses in the feature space are reduced, particularly at intermediate noise levels, which coincide with the most effective range accounting for image quality improvement.




Abstract:Diffusion Probabilistic Models (DPMs) have achieved considerable success in generation tasks. As sampling from DPMs is equivalent to solving diffusion SDE or ODE which is time-consuming, numerous fast sampling methods built upon improved differential equation solvers are proposed. The majority of such techniques consider solving the diffusion ODE due to its superior efficiency. However, stochastic sampling could offer additional advantages in generating diverse and high-quality data. In this work, we engage in a comprehensive analysis of stochastic sampling from two aspects: variance-controlled diffusion SDE and linear multi-step SDE solver. Based on our analysis, we propose SA-Solver, which is an improved efficient stochastic Adams method for solving diffusion SDE to generate data with high quality. Our experiments show that SA-Solver achieves: 1) improved or comparable performance compared with the existing state-of-the-art sampling methods for few-step sampling; 2) SOTA FID scores on substantial benchmark datasets under a suitable number of function evaluations (NFEs).