Abstract:The ability to control LLMs' emulated emotional states and personality traits is essential for enabling rich, human-centered interactions in socially interactive settings. We introduce PsySET, a Psychologically-informed benchmark to evaluate LLM Steering Effectiveness and Trustworthiness across the emotion and personality domains. Our study spans four models from different LLM families paired with various steering strategies, including prompting, fine-tuning, and representation engineering. Our results indicate that prompting is consistently effective but limited in intensity control, whereas vector injections achieve finer controllability while slightly reducing output quality. Moreover, we explore the trustworthiness of steered LLMs by assessing safety, truthfulness, fairness, and ethics, highlighting potential side effects and behavioral shifts. Notably, we observe idiosyncratic effects; for instance, even a positive emotion like joy can degrade robustness to adversarial factuality, lower privacy awareness, and increase preferential bias. Meanwhile, anger predictably elevates toxicity yet strengthens leakage resistance. Our framework establishes the first holistic evaluation of emotion and personality steering, offering insights into its interpretability and reliability for socially interactive applications.
Abstract:Conformal prediction is widely used to equip black-box machine learning models with uncertainty quantification enjoying formal coverage guarantees. However, these guarantees typically break down in the presence of distribution shifts, where the data distribution at test time differs from the training (or calibration-time) distribution. In this work, we address subpopulation shifts, where the test environment exhibits an unknown and differing mixture of subpopulations compared to the calibration data. We propose new methods that provably adapt conformal prediction to such shifts, ensuring valid coverage without requiring explicit knowledge of subpopulation structure. Our algorithms scale to high-dimensional settings and perform effectively in realistic machine learning tasks. Extensive experiments on vision (with vision transformers) and language (with large language models) benchmarks demonstrate that our methods reliably maintain coverage and controls risk in scenarios where standard conformal prediction fails.
Abstract:Reinforcement learning from human feedback (RLHF) and, at its core, reward modeling have become a crucial part of training powerful large language models (LLMs). One commonly overlooked factor in training high-quality reward models (RMs) is the effect of the base model, which is becoming more challenging to choose given the rapidly growing pool of LLMs. In this work, we present a systematic analysis of the effect of base model selection on reward modeling performance. Our results show that the performance can be improved by up to 14% compared to the most common (i.e., default) choice. Moreover, we showcase the strong statistical relation between some existing benchmarks and downstream performances. We also demonstrate that the results from a small set of benchmarks could be combined to boost the model selection ($+$18% on average in the top 5-10). Lastly, we illustrate the impact of different post-training steps on the final performance and explore using estimated data distributions to reduce performance prediction error.
Abstract:As large language models increasingly rely on external data sources, fairly compensating data contributors has become a central concern. In this paper, we revisit the design of data markets through a game-theoretic lens, where data owners face private, heterogeneous costs for data sharing. We show that commonly used valuation methods--such as Leave-One-Out and Data Shapley--fail to ensure truthful reporting of these costs, leading to inefficient market outcomes. To address this, we adapt well-established payment rules from mechanism design, namely Myerson and Vickrey-Clarke-Groves (VCG), to the data market setting. We demonstrate that the Myerson payment is the minimal truthful payment mechanism, optimal from the buyer's perspective, and that VCG and Myerson payments coincide in unconstrained allocation settings. Our findings highlight the importance of incorporating incentive compatibility into data valuation, paving the way for more robust and efficient data markets.




Abstract:This paper presents a differentially private approach to Kaplan-Meier estimation that achieves accurate survival probability estimates while safeguarding individual privacy. The Kaplan-Meier estimator is widely used in survival analysis to estimate survival functions over time, yet applying it to sensitive datasets, such as clinical records, risks revealing private information. To address this, we introduce a novel algorithm that applies time-indexed Laplace noise, dynamic clipping, and smoothing to produce a privacy-preserving survival curve while maintaining the cumulative structure of the Kaplan-Meier estimator. By scaling noise over time, the algorithm accounts for decreasing sensitivity as fewer individuals remain at risk, while dynamic clipping and smoothing prevent extreme values and reduce fluctuations, preserving the natural shape of the survival curve. Our results, evaluated on the NCCTG lung cancer dataset, show that the proposed method effectively lowers root mean squared error (RMSE) and enhances accuracy across privacy budgets ($\epsilon$). At $\epsilon = 10$, the algorithm achieves an RMSE as low as 0.04, closely approximating non-private estimates. Additionally, membership inference attacks reveal that higher $\epsilon$ values (e.g., $\epsilon \geq 6$) significantly reduce influential points, particularly at higher thresholds, lowering susceptibility to inference attacks. These findings confirm that our approach balances privacy and utility, advancing privacy-preserving survival analysis.




Abstract:We study collaborative learning systems in which the participants are competitors who will defect from the system if they lose revenue by collaborating. As such, we frame the system as a duopoly of competitive firms who are each engaged in training machine-learning models and selling their predictions to a market of consumers. We first examine a fully collaborative scheme in which both firms share their models with each other and show that this leads to a market collapse with the revenues of both firms going to zero. We next show that one-sided collaboration in which only the firm with the lower-quality model shares improves the revenue of both firms. Finally, we propose a more equitable, *defection-free* scheme in which both firms share with each other while losing no revenue, and we show that our algorithm converges to the Nash bargaining solution.



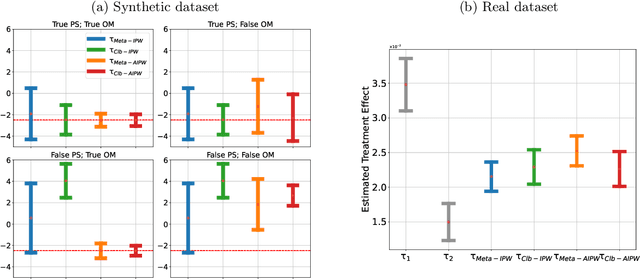
Abstract:Collaboration between different data centers is often challenged by heterogeneity across sites. To account for the heterogeneity, the state-of-the-art method is to re-weight the covariate distributions in each site to match the distribution of the target population. Nevertheless, this method could easily fail when a certain site couldn't cover the entire population. Moreover, it still relies on the concept of traditional meta-analysis after adjusting for the distribution shift. In this work, we propose a collaborative inverse propensity score weighting estimator for causal inference with heterogeneous data. Instead of adjusting the distribution shift separately, we use weighted propensity score models to collaboratively adjust for the distribution shift. Our method shows significant improvements over the methods based on meta-analysis when heterogeneity increases. To account for the vulnerable density estimation, we further discuss the double machine method and show the possibility of using nonparametric density estimation with d<8 and a flexible machine learning method to guarantee asymptotic normality. We propose a federated learning algorithm to collaboratively train the outcome model while preserving privacy. Using synthetic and real datasets, we demonstrate the advantages of our method.
Abstract:Acquiring high-quality training data is essential for current machine learning models. Data markets provide a way to increase the supply of data, particularly in data-scarce domains such as healthcare, by incentivizing potential data sellers to join the market. A major challenge for a data buyer in such a market is selecting the most valuable data points from a data seller. Unlike prior work in data valuation, which assumes centralized data access, we propose a federated approach to the data selection problem that is inspired by linear experimental design. Our proposed data selection method achieves lower prediction error without requiring labeled validation data and can be optimized in a fast and federated procedure. The key insight of our work is that a method that directly estimates the benefit of acquiring data for test set prediction is particularly compatible with a decentralized market setting.
Abstract:We present Scaff-PD, a fast and communication-efficient algorithm for distributionally robust federated learning. Our approach improves fairness by optimizing a family of distributionally robust objectives tailored to heterogeneous clients. We leverage the special structure of these objectives, and design an accelerated primal dual (APD) algorithm which uses bias corrected local steps (as in Scaffold) to achieve significant gains in communication efficiency and convergence speed. We evaluate Scaff-PD on several benchmark datasets and demonstrate its effectiveness in improving fairness and robustness while maintaining competitive accuracy. Our results suggest that Scaff-PD is a promising approach for federated learning in resource-constrained and heterogeneous settings.




Abstract:Clustering clients with similar objectives and learning a model per cluster is an intuitive and interpretable approach to personalization in federated learning. However, doing so with provable and optimal guarantees has remained an open challenge. In this work, we formalize personalized federated learning as a stochastic optimization problem where the stochastic gradients on a client may correspond to one of $K$ distributions. In such a setting, we show that using i) a simple thresholding-based clustering algorithm, and ii) local client gradients obtains optimal convergence guarantees. In fact, our rates asymptotically match those obtained if we knew the true underlying clustering of the clients. Furthermore, our algorithms are provably robust in the Byzantine setting where some fraction of the gradients are corrupted.