Teresa
Abstract:Most prior work on the convergence of gradient descent (GD) for overparameterized neural networks relies on strong assumptions on the step size (infinitesimal), the hidden-layer width (infinite), or the initialization (large, spectral, balanced). Recent efforts to relax these assumptions focus on two-layer linear networks trained with the squared loss. In this work, we derive a linear convergence rate for training two-layer linear neural networks with GD for general losses and under relaxed assumptions on the step size, width, and initialization. A key challenge in deriving this result is that classical ingredients for deriving convergence rates for nonconvex problems, such as the Polyak-{\L}ojasiewicz (PL) condition and Descent Lemma, do not hold globally for overparameterized neural networks. Here, we prove that these two conditions hold locally with local constants that depend on the weights. Then, we provide bounds on these local constants, which depend on the initialization of the weights, the current loss, and the global PL and smoothness constants of the non-overparameterized model. Based on these bounds, we derive a linear convergence rate for GD. Our convergence analysis not only improves upon prior results but also suggests a better choice for the step size, as verified through our numerical experiments.




Abstract:Despite the empirical success of Low-Rank Adaptation (LoRA) in fine-tuning pre-trained models, there is little theoretical understanding of how first-order methods with carefully crafted initialization adapt models to new tasks. In this work, we take the first step towards bridging this gap by theoretically analyzing the learning dynamics of LoRA for matrix factorization (MF) under gradient flow (GF), emphasizing the crucial role of initialization. For small initialization, we theoretically show that GF converges to a neighborhood of the optimal solution, with smaller initialization leading to lower final error. Our analysis shows that the final error is affected by the misalignment between the singular spaces of the pre-trained model and the target matrix, and reducing the initialization scale improves alignment. To address this misalignment, we propose a spectral initialization for LoRA in MF and theoretically prove that GF with small spectral initialization converges to the fine-tuning task with arbitrary precision. Numerical experiments from MF and image classification validate our findings.




Abstract:State-of-the-art machine learning systems are vulnerable to small perturbations to their input, where ``small'' is defined according to a threat model that assigns a positive threat to each perturbation. Most prior works define a task-agnostic, isotropic, and global threat, like the $\ell_p$ norm, where the magnitude of the perturbation fully determines the degree of the threat and neither the direction of the attack nor its position in space matter. However, common corruptions in computer vision, such as blur, compression, or occlusions, are not well captured by such threat models. This paper proposes a novel threat model called \texttt{Projected Displacement} (PD) to study robustness beyond existing isotropic and global threat models. The proposed threat model measures the threat of a perturbation via its alignment with \textit{unsafe directions}, defined as directions in the input space along which a perturbation of sufficient magnitude changes the ground truth class label. Unsafe directions are identified locally for each input based on observed training data. In this way, the PD threat model exhibits anisotropy and locality. Experiments on Imagenet-1k data indicate that, for any input, the set of perturbations with small PD threat includes \textit{safe} perturbations of large $\ell_p$ norm that preserve the true label, such as noise, blur and compression, while simultaneously excluding \textit{unsafe} perturbations that alter the true label. Unlike perceptual threat models based on embeddings of large-vision models, the PD threat model can be readily computed for arbitrary classification tasks without pre-training or finetuning. Further additional task annotation such as sensitivity to image regions or concept hierarchies can be easily integrated into the assessment of threat and thus the PD threat model presents practitioners with a flexible, task-driven threat specification.




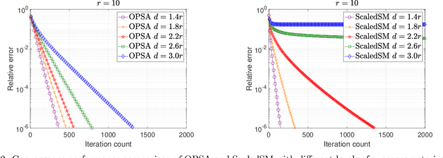
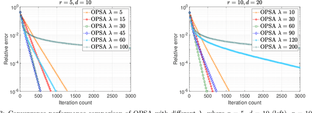
Abstract:In this paper, we focus on a matrix factorization-based approach for robust low-rank and asymmetric matrix recovery from corrupted measurements. We address the challenging scenario where the rank of the sought matrix is unknown and employ an overparameterized approach using the variational form of the nuclear norm as a regularizer. We propose a subgradient algorithm that inherits the merits of preconditioned algorithms, whose rate of convergence does not depend on the condition number of the sought matrix, and addresses their current limitation, i.e., the lack of convergence guarantees in the case of asymmetric matrices with unknown rank. In this setting, we provide, for the first time in the literature, linear convergence guarantees for the derived overparameterized preconditioned subgradient algorithm in the presence of gross corruptions. Additionally, by applying our approach to matrix sensing, we highlight its merits when the measurement operator satisfies the mixed-norm restricted isometry properties. Lastly, we present numerical experiments that validate our theoretical results and demonstrate the effectiveness of our approach.




Abstract:Many recommendation systems limit user inputs to text strings or behavior signals such as clicks and purchases, and system outputs to a list of products sorted by relevance. With the advent of generative AI, users have come to expect richer levels of interactions. In visual search, for example, a user may provide a picture of their desired product along with a natural language modification of the content of the picture (e.g., a dress like the one shown in the picture but in red color). Moreover, users may want to better understand the recommendations they receive by visualizing how the product fits their use case, e.g., with a representation of how a garment might look on them, or how a furniture item might look in their room. Such advanced levels of interaction require recommendation systems that are able to discover both shared and complementary information about the product across modalities, and visualize the product in a realistic and informative way. However, existing systems often treat multiple modalities independently: text search is usually done by comparing the user query to product titles and descriptions, while visual search is typically done by comparing an image provided by the customer to product images. We argue that future recommendation systems will benefit from a multi-modal understanding of the products that leverages the rich information retailers have about both customers and products to come up with the best recommendations. In this chapter we review recommendation systems that use multiple data modalities simultaneously.




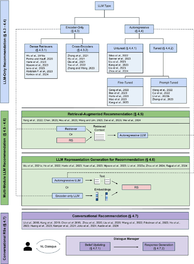
Abstract:While previous chapters focused on recommendation systems (RSs) based on standardized, non-verbal user feedback such as purchases, views, and clicks -- the advent of LLMs has unlocked the use of natural language (NL) interactions for recommendation. This chapter discusses how LLMs' abilities for general NL reasoning present novel opportunities to build highly personalized RSs -- which can effectively connect nuanced and diverse user preferences to items, potentially via interactive dialogues. To begin this discussion, we first present a taxonomy of the key data sources for language-driven recommendation, covering item descriptions, user-system interactions, and user profiles. We then proceed to fundamental techniques for LLM recommendation, reviewing the use of encoder-only and autoregressive LLM recommendation in both tuned and untuned settings. Afterwards, we move to multi-module recommendation architectures in which LLMs interact with components such as retrievers and RSs in multi-stage pipelines. This brings us to architectures for conversational recommender systems (CRSs), in which LLMs facilitate multi-turn dialogues where each turn presents an opportunity not only to make recommendations, but also to engage with the user in interactive preference elicitation, critiquing, and question-answering.
Abstract:One of the fundamental problems of interest for discrete-time linear systems is whether its input sequence may be recovered given its output sequence, a.k.a. the left inversion problem. Many conditions on the state space geometry, dynamics, and spectral structure of a system have been used to characterize the well-posedness of this problem, without assumptions on the inputs. However, certain structural assumptions, such as input sparsity, have been shown to translate to practical gains in the performance of inversion algorithms, surpassing classical guarantees. Establishing necessary and sufficient conditions for left invertibility of systems with sparse inputs is therefore a crucial step toward understanding the performance limits of system inversion under structured input assumptions. In this work, we provide the first necessary and sufficient characterizations of left invertibility for linear systems with sparse inputs, echoing classic characterizations for standard linear systems. The key insight in deriving these results is in establishing the existence of two novel geometric invariants unique to the sparse-input setting, the weakly unobservable and strongly reachable subspace arrangements. By means of a concrete example, we demonstrate the utility of these characterizations. We conclude by discussing extensions and applications of this framework to several related problems in sparse control.




Abstract:Recent work on action recognition leverages 3D features and textual information to achieve state-of-the-art performance. However, most of the current few-shot action recognition methods still rely on 2D frame-level representations, often require additional components to model temporal relations, and employ complex distance functions to achieve accurate alignment of these representations. In addition, existing methods struggle to effectively integrate textual semantics, some resorting to concatenation or addition of textual and visual features, and some using text merely as an additional supervision without truly achieving feature fusion and information transfer from different modalities. In this work, we propose a simple yet effective Semantic-Aware Few-Shot Action Recognition (SAFSAR) model to address these issues. We show that directly leveraging a 3D feature extractor combined with an effective feature-fusion scheme, and a simple cosine similarity for classification can yield better performance without the need of extra components for temporal modeling or complex distance functions. We introduce an innovative scheme to encode the textual semantics into the video representation which adaptively fuses features from text and video, and encourages the visual encoder to extract more semantically consistent features. In this scheme, SAFSAR achieves alignment and fusion in a compact way. Experiments on five challenging few-shot action recognition benchmarks under various settings demonstrate that the proposed SAFSAR model significantly improves the state-of-the-art performance.




Abstract:We consider the problem of learning multiple tasks in a continual learning setting in which data from different tasks is presented to the learner in a streaming fashion. A key challenge in this setting is the so-called "catastrophic forgetting problem", in which the performance of the learner in an "old task" decreases when subsequently trained on a "new task". Existing continual learning methods, such as Averaged Gradient Episodic Memory (A-GEM) and Orthogonal Gradient Descent (OGD), address catastrophic forgetting by minimizing the loss for the current task without increasing the loss for previous tasks. However, these methods assume the learner knows when the task changes, which is unrealistic in practice. In this paper, we alleviate the need to provide the algorithm with information about task changes by using an online clustering-based approach on a dynamically updated finite pool of samples or gradients. We thereby successfully counteract catastrophic forgetting in one of the hardest settings, namely: domain-incremental learning, a setting for which the problem was previously unsolved. We showcase the benefits of our approach by applying these ideas to projection-based methods, such as A-GEM and OGD, which lead to task-agnostic versions of them. Experiments on real datasets demonstrate the effectiveness of the proposed strategy and its promising performance compared to state-of-the-art methods.




Abstract:Variational Information Pursuit (V-IP) is a framework for making interpretable predictions by design by sequentially selecting a short chain of task-relevant, user-defined and interpretable queries about the data that are most informative for the task. While this allows for built-in interpretability in predictive models, applying V-IP to any task requires data samples with dense concept-labeling by domain experts, limiting the application of V-IP to small-scale tasks where manual data annotation is feasible. In this work, we extend the V-IP framework with Foundational Models (FMs) to address this limitation. More specifically, we use a two-step process, by first leveraging Large Language Models (LLMs) to generate a sufficiently large candidate set of task-relevant interpretable concepts, then using Large Multimodal Models to annotate each data sample by semantic similarity with each concept in the generated concept set. While other interpretable-by-design frameworks such as Concept Bottleneck Models (CBMs) require an additional step of removing repetitive and non-discriminative concepts to have good interpretability and test performance, we mathematically and empirically justify that, with a sufficiently informative and task-relevant query (concept) set, the proposed FM+V-IP method does not require any type of concept filtering. In addition, we show that FM+V-IP with LLM generated concepts can achieve better test performance than V-IP with human annotated concepts, demonstrating the effectiveness of LLMs at generating efficient query sets. Finally, when compared to other interpretable-by-design frameworks such as CBMs, FM+V-IP can achieve competitive test performance using fewer number of concepts/queries in both cases with filtered or unfiltered concept sets.