Abstract:Link sign prediction on a signed graph is a task to determine whether the relationship represented by an edge is positive or negative. Since the presence of negative edges violates the graph homophily assumption that adjacent nodes are similar, regular graph methods have not been applicable without auxiliary structures to handle them. We aim to directly model the latent statistical dependency among edges with the Gaussian copula and its corresponding correlation matrix, extending CopulaGNN. However, a naive modeling of edge-edge relations is computationally intractable even for a graph with moderate scale. To address this, we propose to 1) represent the correlation matrix as a Gramian of edge embeddings, significantly reducing the number of parameters, and 2) reformulate the conditional probability distribution to dramatically reduce the inference cost. We theoretically verify scalability of our method by proving its linear convergence. Also, our extensive experiments demonstrate that it achieves significantly faster convergence than baselines, maintaining competitive prediction performance to the state-of-the-art models.




Abstract:Flow matching has emerged as a powerful generative modeling approach with flexible choices of source distribution. While Gaussian distributions are commonly used, the potential for better alternatives in high-dimensional data generation remains largely unexplored. In this paper, we propose a novel 2D simulation that captures high-dimensional geometric properties in an interpretable 2D setting, enabling us to analyze the learning dynamics of flow matching during training. Based on this analysis, we derive several key insights about flow matching behavior: (1) density approximation can paradoxically degrade performance due to mode discrepancy, (2) directional alignment suffers from path entanglement when overly concentrated, (3) Gaussian's omnidirectional coverage ensures robust learning, and (4) norm misalignment incurs substantial learning costs. Building on these insights, we propose a practical framework that combines norm-aligned training with directionally-pruned sampling. This approach maintains the robust omnidirectional supervision essential for stable flow learning, while eliminating initializations in data-sparse regions during inference. Importantly, our pruning strategy can be applied to any flow matching model trained with a Gaussian source, providing immediate performance gains without the need for retraining. Empirical evaluations demonstrate consistent improvements in both generation quality and sampling efficiency. Our findings provide practical insights and guidelines for source distribution design and introduce a readily applicable technique for improving existing flow matching models. Our code is available at https://github.com/kwanseokk/SourceFM.
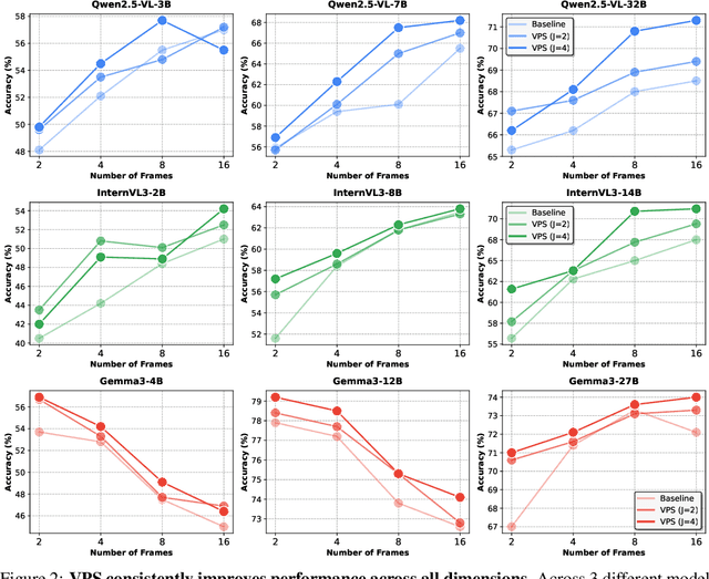
Abstract:Video Large Language Models (VideoLLMs) face a critical bottleneck: increasing the number of input frames to capture fine-grained temporal detail leads to prohibitive computational costs and performance degradation from long context lengths. We introduce Video Parallel Scaling (VPS), an inference-time method that expands a model's perceptual bandwidth without increasing its context window. VPS operates by running multiple parallel inference streams, each processing a unique, disjoint subset of the video's frames. By aggregating the output probabilities from these complementary streams, VPS integrates a richer set of visual information than is possible with a single pass. We theoretically show that this approach effectively contracts the Chinchilla scaling law by leveraging uncorrelated visual evidence, thereby improving performance without additional training. Extensive experiments across various model architectures and scales (2B-32B) on benchmarks such as Video-MME and EventHallusion demonstrate that VPS consistently and significantly improves performance. It scales more favorably than other parallel alternatives (e.g. Self-consistency) and is complementary to other decoding strategies, offering a memory-efficient and robust framework for enhancing the temporal reasoning capabilities of VideoLLMs.




Abstract:Visual grounding tasks, such as referring image segmentation (RIS) and referring expression comprehension (REC), aim to localize a target object based on a given textual description. The target object in an image can be described in multiple ways, reflecting diverse attributes such as color, position, and more. However, most existing methods rely on a single textual input, which captures only a fraction of the rich information available in the visual domain. This mismatch between rich visual details and sparse textual cues can lead to the misidentification of similar objects. To address this, we propose a novel visual grounding framework that leverages multiple latent expressions generated from a single textual input by incorporating complementary visual details absent from the original description. Specifically, we introduce subject distributor and visual concept injector modules to embed both shared-subject and distinct-attributes concepts into the latent representations, thereby capturing unique and target-specific visual cues. We also propose a positive-margin contrastive learning strategy to align all latent expressions with the original text while preserving subtle variations. Experimental results show that our method not only outperforms state-of-the-art RIS and REC approaches on multiple benchmarks but also achieves outstanding performance on the generalized referring expression segmentation (GRES) benchmark.
Abstract:A variety of text-guided image editing models have been proposed recently. However, there is no widely-accepted standard evaluation method mainly due to the subjective nature of the task, letting researchers rely on manual user study. To address this, we introduce a novel Human-Aligned benchmark for Text-guided Image Editing (HATIE). Providing a large-scale benchmark set covering a wide range of editing tasks, it allows reliable evaluation, not limited to specific easy-to-evaluate cases. Also, HATIE provides a fully-automated and omnidirectional evaluation pipeline. Particularly, we combine multiple scores measuring various aspects of editing so as to align with human perception. We empirically verify that the evaluation of HATIE is indeed human-aligned in various aspects, and provide benchmark results on several state-of-the-art models to provide deeper insights on their performance.
Abstract:Graph convolutional networks have recently gained prominence in collaborative filtering (CF) for recommendations. However, we identify potential bottlenecks in two foundational components. First, the embedding layer leads to a latent space with limited capacity, overlooking locally observed but potentially valuable preference patterns. Also, the widely-used neighborhood aggregation is limited in its ability to leverage diverse preference patterns in a fine-grained manner. Building on spectral graph theory, we reveal that these limitations stem from graph filtering with a cut-off in the frequency spectrum and a restricted linear form. To address these issues, we introduce ChebyCF, a CF framework based on graph spectral filtering. Instead of a learned embedding, it takes a user's raw interaction history to utilize the full spectrum of signals contained in it. Also, it adopts Chebyshev interpolation to effectively approximate a flexible non-linear graph filter, and further enhances it by using an additional ideal pass filter and degree-based normalization. Through extensive experiments, we verify that ChebyCF overcomes the aforementioned bottlenecks and achieves state-of-the-art performance across multiple benchmarks and reasonably fast inference. Our code is available at https://github.com/chanwoo0806/ChebyCF.




Abstract:Camouflaged object detection (COD) aims to generate a fine-grained segmentation map of camouflaged objects hidden in their background. Due to the hidden nature of camouflaged objects, it is essential for the decoder to be tailored to effectively extract proper features of camouflaged objects and extra-carefully generate their complex boundaries. In this paper, we propose a novel architecture that augments the prevalent decoding strategy in COD with Enrich Decoder and Retouch Decoder, which help to generate a fine-grained segmentation map. Specifically, the Enrich Decoder amplifies the channels of features that are important for COD using channel-wise attention. Retouch Decoder further refines the segmentation maps by spatially attending to important pixels, such as the boundary regions. With extensive experiments, we demonstrate that ENTO shows superior performance using various encoders, with the two novel components playing their unique roles that are mutually complementary.
Abstract:Modern music retrieval systems often rely on fixed representations of user preferences, limiting their ability to capture users' diverse and uncertain retrieval needs. To address this limitation, we introduce Diff4Steer, a novel generative retrieval framework that employs lightweight diffusion models to synthesize diverse seed embeddings from user queries that represent potential directions for music exploration. Unlike deterministic methods that map user query to a single point in embedding space, Diff4Steer provides a statistical prior on the target modality (audio) for retrieval, effectively capturing the uncertainty and multi-faceted nature of user preferences. Furthermore, Diff4Steer can be steered by image or text inputs, enabling more flexible and controllable music discovery combined with nearest neighbor search. Our framework outperforms deterministic regression methods and LLM-based generative retrieval baseline in terms of retrieval and ranking metrics, demonstrating its effectiveness in capturing user preferences, leading to more diverse and relevant recommendations. Listening examples are available at tinyurl.com/diff4steer.




Abstract:Referring Image Segmentation is a comprehensive task to segment an object referred by a textual query from an image. In nature, the level of difficulty in this task is affected by the existence of similar objects and the complexity of the referring expression. Recent RIS models still show a significant performance gap between easy and hard scenarios. We pose that the bottleneck exists in the data, and propose a simple but powerful data augmentation method, Negative-mined Mosaic Augmentation (NeMo). This method augments a training image into a mosaic with three other negative images carefully curated by a pretrained multimodal alignment model, e.g., CLIP, to make the sample more challenging. We discover that it is critical to properly adjust the difficulty level, neither too ambiguous nor too trivial. The augmented training data encourages the RIS model to recognize subtle differences and relationships between similar visual entities and to concretely understand the whole expression to locate the right target better. Our approach shows consistent improvements on various datasets and models, verified by extensive experiments.
Abstract:Given a video with $T$ frames, frame sampling is a task to select $N \ll T$ frames, so as to maximize the performance of a fixed video classifier. Not just brute-force search, but most existing methods suffer from its vast search space of $\binom{T}{N}$, especially when $N$ gets large. To address this challenge, we introduce a novel perspective of reducing the search space from $O(T^N)$ to $O(T)$. Instead of exploring the entire $O(T^N)$ space, our proposed semi-optimal policy selects the top $N$ frames based on the independently estimated value of each frame using per-frame confidence, significantly reducing the computational complexity. We verify that our semi-optimal policy can efficiently approximate the optimal policy, particularly under practical settings. Additionally, through extensive experiments on various datasets and model architectures, we demonstrate that learning our semi-optimal policy ensures stable and high performance regardless of the size of $N$ and $T$.