Abstract:An important challenge when using computer vision models in the real world is to evaluate their performance in potential out-of-distribution (OOD) scenarios. While simple synthetic corruptions are commonly applied to test OOD robustness, they often fail to capture nuisance shifts that occur in the real world. Recently, diffusion models have been applied to generate realistic images for benchmarking, but they are restricted to binary nuisance shifts. In this work, we introduce CNS-Bench, a Continuous Nuisance Shift Benchmark to quantify OOD robustness of image classifiers for continuous and realistic generative nuisance shifts. CNS-Bench allows generating a wide range of individual nuisance shifts in continuous severities by applying LoRA adapters to diffusion models. To address failure cases, we propose a filtering mechanism that outperforms previous methods, thereby enabling reliable benchmarking with generative models. With the proposed benchmark, we perform a large-scale study to evaluate the robustness of more than 40 classifiers under various nuisance shifts. Through carefully designed comparisons and analyses, we find that model rankings can change for varying shifts and shift scales, which cannot be captured when applying common binary shifts. Additionally, we show that evaluating the model performance on a continuous scale allows the identification of model failure points, providing a more nuanced understanding of model robustness. Project page including code and data: https://genintel.github.io/CNS.




Abstract:Visual in-context learning (VICL), as a new paradigm in computer vision, allows the model to rapidly adapt to various tasks with only a handful of prompts and examples. While effective, the existing VICL paradigm exhibits poor generalizability under distribution shifts. In this work, we propose test-time Visual In-Context Tuning (VICT), a method that can adapt VICL models on the fly with a single test sample. Specifically, we flip the role between the task prompts and the test sample and use a cycle consistency loss to reconstruct the original task prompt output. Our key insight is that a model should be aware of a new test distribution if it can successfully recover the original task prompts. Extensive experiments on six representative vision tasks ranging from high-level visual understanding to low-level image processing, with 15 common corruptions, demonstrate that our VICT can improve the generalizability of VICL to unseen new domains. In addition, we show the potential of applying VICT for unseen tasks at test time. Code: https://github.com/Jiahao000/VICT.
Abstract:Set function learning has emerged as a crucial area in machine learning, addressing the challenge of modeling functions that take sets as inputs. Unlike traditional machine learning that involves fixed-size input vectors where the order of features matters, set function learning demands methods that are invariant to permutations of the input set, presenting a unique and complex problem. This survey provides a comprehensive overview of the current development in set function learning, covering foundational theories, key methodologies, and diverse applications. We categorize and discuss existing approaches, focusing on deep learning approaches, such as DeepSets and Set Transformer based methods, as well as other notable alternative methods beyond deep learning, offering a complete view of current models. We also introduce various applications and relevant datasets, such as point cloud processing and multi-label classification, highlighting the significant progress achieved by set function learning methods in these domains. Finally, we conclude by summarizing the current state of set function learning approaches and identifying promising future research directions, aiming to guide and inspire further advancements in this promising field.
Abstract:We present MosaicFusion, a simple yet effective diffusion-based data augmentation approach for large vocabulary instance segmentation. Our method is training-free and does not rely on any label supervision. Two key designs enable us to employ an off-the-shelf text-to-image diffusion model as a useful dataset generator for object instances and mask annotations. First, we divide an image canvas into several regions and perform a single round of diffusion process to generate multiple instances simultaneously, conditioning on different text prompts. Second, we obtain corresponding instance masks by aggregating cross-attention maps associated with object prompts across layers and diffusion time steps, followed by simple thresholding and edge-aware refinement processing. Without bells and whistles, our MosaicFusion can produce a significant amount of synthetic labeled data for both rare and novel categories. Experimental results on the challenging LVIS long-tailed and open-vocabulary benchmarks demonstrate that MosaicFusion can significantly improve the performance of existing instance segmentation models, especially for rare and novel categories. Code will be released at https://github.com/Jiahao000/MosaicFusion.



Abstract:The vulnerability of deep neural network models to adversarial example attacks is a practical challenge in many artificial intelligence applications. A recent line of work shows that the use of randomization in adversarial training is the key to find optimal strategies against adversarial example attacks. However, in a fully randomized setting where both the defender and the attacker can use randomized strategies, there are no efficient algorithm for finding such an optimal strategy. To fill the gap, we propose the first algorithm of its kind, called FRAT, which models the problem with a new infinite-dimensional continuous-time flow on probability distribution spaces. FRAT maintains a lightweight mixture of models for the defender, with flexibility to efficiently update mixing weights and model parameters at each iteration. Furthermore, FRAT utilizes lightweight sampling subroutines to construct a random strategy for the attacker. We prove that the continuous-time limit of FRAT converges to a mixed Nash equilibria in a zero-sum game formed by a defender and an attacker. Experimental results also demonstrate the efficiency of FRAT on CIFAR-10 and CIFAR-100 datasets.


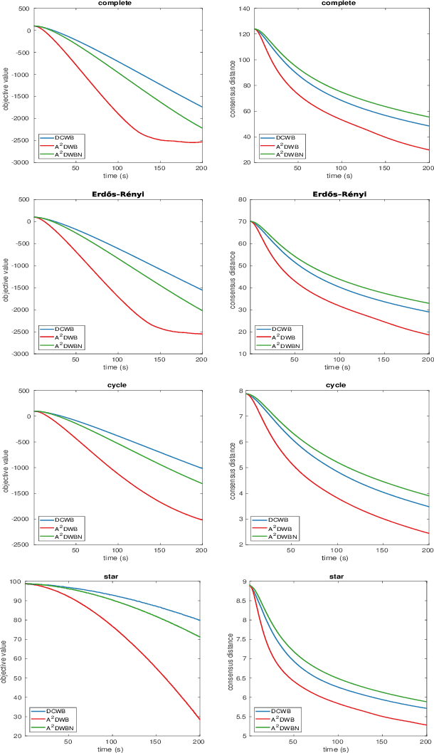
Abstract:Wasserstein Barycenter Problem (WBP) has recently received much attention in the field of artificial intelligence. In this paper, we focus on the decentralized setting for WBP and propose an asynchronous decentralized algorithm (A$^2$DWB). A$^2$DWB is induced by a novel stochastic block coordinate descent method to optimize the dual of entropy regularized WBP. To our knowledge, A$^2$DWB is the first asynchronous decentralized algorithm for WBP. Unlike its synchronous counterpart, it updates local variables in a manner that only relies on the stale neighbor information, which effectively alleviate the waiting overhead, and thus substantially improve the time efficiency. Empirical results validate its superior performance compared to the latest synchronous algorithm.




Abstract:Supervised crowd counting relies heavily on costly manual labeling, which is difficult and expensive, especially in dense scenes. To alleviate the problem, we propose a novel unsupervised framework for crowd counting, named CrowdCLIP. The core idea is built on two observations: 1) the recent contrastive pre-trained vision-language model (CLIP) has presented impressive performance on various downstream tasks; 2) there is a natural mapping between crowd patches and count text. To the best of our knowledge, CrowdCLIP is the first to investigate the vision language knowledge to solve the counting problem. Specifically, in the training stage, we exploit the multi-modal ranking loss by constructing ranking text prompts to match the size-sorted crowd patches to guide the image encoder learning. In the testing stage, to deal with the diversity of image patches, we propose a simple yet effective progressive filtering strategy to first select the highly potential crowd patches and then map them into the language space with various counting intervals. Extensive experiments on five challenging datasets demonstrate that the proposed CrowdCLIP achieves superior performance compared to previous unsupervised state-of-the-art counting methods. Notably, CrowdCLIP even surpasses some popular fully-supervised methods under the cross-dataset setting. The source code will be available at https://github.com/dk-liang/CrowdCLIP.
Abstract:We introduce Correlational Image Modeling (CIM), a novel and surprisingly effective approach to self-supervised visual pre-training. Our CIM performs a simple pretext task: we randomly crop image regions (exemplars) from an input image (context) and predict correlation maps between the exemplars and the context. Three key designs enable correlational image modeling as a nontrivial and meaningful self-supervisory task. First, to generate useful exemplar-context pairs, we consider cropping image regions with various scales, shapes, rotations, and transformations. Second, we employ a bootstrap learning framework that involves online and target encoders. During pre-training, the former takes exemplars as inputs while the latter converts the context. Third, we model the output correlation maps via a simple cross-attention block, within which the context serves as queries and the exemplars offer values and keys. We show that CIM performs on par or better than the current state of the art on self-supervised and transfer benchmarks.




Abstract:Crowd counting is a challenging task due to the heavy occlusions, scales, and density variations. Existing methods handle these challenges effectively while ignoring low-resolution (LR) circumstances. The LR circumstances weaken the counting performance deeply for two crucial reasons: 1) limited detail information; 2) overlapping head regions accumulate in density maps and result in extreme ground-truth values. An intuitive solution is to employ super-resolution (SR) pre-processes for the input LR images. However, it complicates the inference steps and thus limits application potentials when requiring real-time. We propose a more elegant method termed Multi-Scale Super-Resolution Module (MSSRM). It guides the network to estimate the lost de tails and enhances the detailed information in the feature space. Noteworthy that the MSSRM is plug-in plug-out and deals with the LR problems with no inference cost. As the proposed method requires SR labels, we further propose a Super-Resolution Crowd Counting dataset (SR-Crowd). Extensive experiments on three datasets demonstrate the superiority of our method. The code will be available at https://github.com/PRIS-CV/MSSRM.git.




Abstract:Despite the remarkable progress of image captioning, existing captioners typically lack the controllable capability to generate desired image captions, e.g., describing the image in a rough or detailed manner, in a factual or emotional view, etc. In this paper, we show that a unified model is qualified to perform well in diverse domains and freely switch among multiple styles. Such a controllable capability is achieved by embedding the prompt learning into the image captioning framework. To be specific, we design a set of prompts to fine-tune the pre-trained image captioner. These prompts allow the model to absorb stylized data from different domains for joint training, without performance degradation in each domain. Furthermore, we optimize the prompts with learnable vectors in the continuous word embedding space, avoiding the heuristic prompt engineering and meanwhile exhibiting superior performance. In the inference stage, our model is able to generate desired stylized captions by choosing the corresponding prompts. Extensive experiments verify the controllable capability of the proposed method. Notably, we achieve outstanding performance on two diverse image captioning benchmarks including COCO Karpathy split and TextCaps using a unified model.