

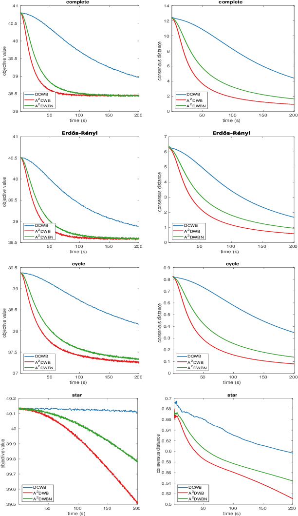
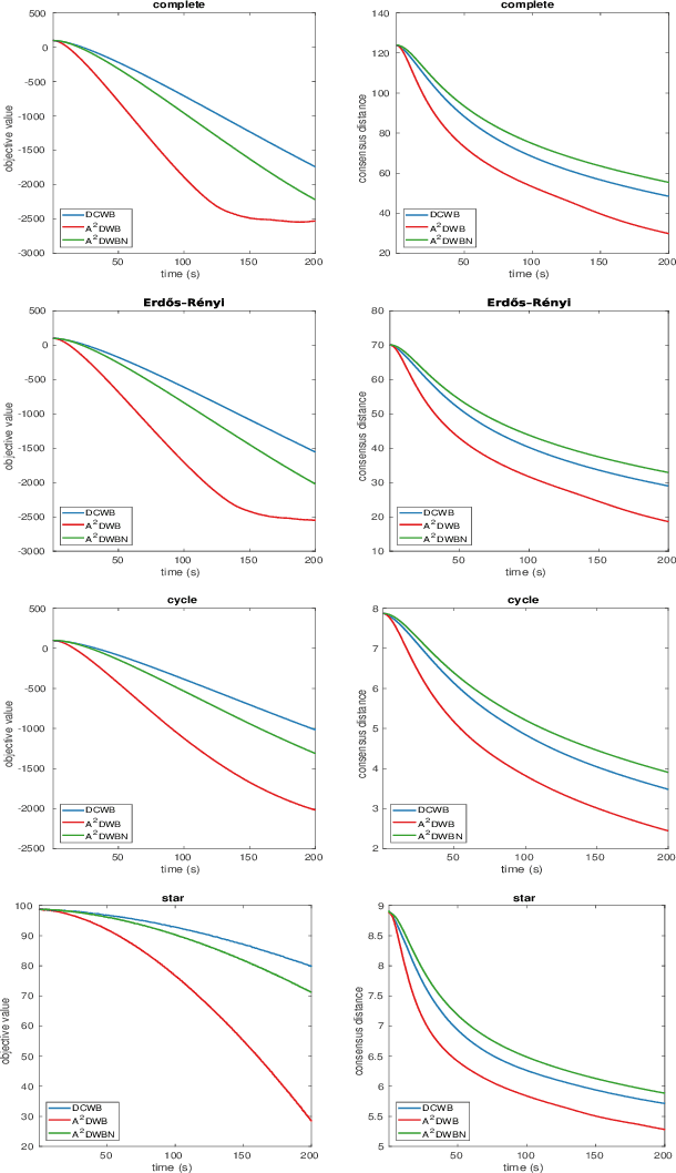
Wasserstein Barycenter Problem (WBP) has recently received much attention in the field of artificial intelligence. In this paper, we focus on the decentralized setting for WBP and propose an asynchronous decentralized algorithm (A$^2$DWB). A$^2$DWB is induced by a novel stochastic block coordinate descent method to optimize the dual of entropy regularized WBP. To our knowledge, A$^2$DWB is the first asynchronous decentralized algorithm for WBP. Unlike its synchronous counterpart, it updates local variables in a manner that only relies on the stale neighbor information, which effectively alleviate the waiting overhead, and thus substantially improve the time efficiency. Empirical results validate its superior performance compared to the latest synchronous algorithm.