



Abstract:Feature selection and importance estimation in a model-agnostic setting is an ongoing challenge of significant interest. Wrapper methods are commonly used because they are typically model-agnostic, even though they are computationally intensive. In this paper, we focus on feature selection methods related to the Generalized Covariance Measure (GCM) and Leave-One-Covariate-Out (LOCO) estimation, and provide a comparison based on relative efficiency. In particular, we present a theoretical comparison under three model settings: linear models, non-linear additive models, and single index models that mimic a single-layer neural network. We complement this with extensive simulations and real data examples. Our theoretical results, along with empirical findings, demonstrate that GCM-related methods generally outperform LOCO under suitable regularity conditions. Furthermore, we quantify the asymptotic relative efficiency of these approaches. Our simulations and real data analysis include widely used machine learning methods such as neural networks and gradient boosting trees.
Abstract:As opaque black-box predictive models become more prevalent, the need to develop interpretations for these models is of great interest. The concept of variable importance and Shapley values are interpretability measures that applies to any predictive model and assesses how much a variable or set of variables improves prediction performance. When the number of variables is large, estimating variable importance presents a significant computational challenge because re-training neural networks or other black-box algorithms requires significant additional computation. In this paper, we address this challenge for algorithms using gradient descent and gradient boosting (e.g. neural networks, gradient-boosted decision trees). By using the ideas of early stopping of gradient-based methods in combination with warm-start using the dropout method, we develop a scalable method to estimate variable importance for any algorithm that can be expressed as an iterative kernel update equation. Importantly, we provide theoretical guarantees by using the theory for early stopping of kernel-based methods for neural networks with sufficiently large (but not necessarily infinite) width and gradient-boosting decision trees that use symmetric trees as a weaker learner. We also demonstrate the efficacy of our methods through simulations and a real data example which illustrates the computational benefit of early stopping rather than fully re-training the model as well as the increased accuracy of our approach.
Abstract:This paper introduces a novel, computationally-efficient algorithm for predictive inference (PI) that requires no distributional assumptions on the data and can be computed faster than existing bootstrap-type methods for neural networks. Specifically, if there are $n$ training samples, bootstrap methods require training a model on each of the $n$ subsamples of size $n-1$; for large models like neural networks, this process can be computationally prohibitive. In contrast, our proposed method trains one neural network on the full dataset with $(\epsilon, \delta)$-differential privacy (DP) and then approximates each leave-one-out model efficiently using a linear approximation around the differentially-private neural network estimate. With exchangeable data, we prove that our approach has a rigorous coverage guarantee that depends on the preset privacy parameters and the stability of the neural network, regardless of the data distribution. Simulations and experiments on real data demonstrate that our method satisfies the coverage guarantees with substantially reduced computation compared to bootstrap methods.




Abstract:As opaque predictive models increasingly impact many areas of modern life, interest in quantifying the importance of a given input variable for making a specific prediction has grown. Recently, there has been a proliferation of model-agnostic methods to measure variable importance (VI) that analyze the difference in predictive power between a full model trained on all variables and a reduced model that excludes the variable(s) of interest. A bottleneck common to these methods is the estimation of the reduced model for each variable (or subset of variables), which is an expensive process that often does not come with theoretical guarantees. In this work, we propose a fast and flexible method for approximating the reduced model with important inferential guarantees. We replace the need for fully retraining a wide neural network by a linearization initialized at the full model parameters. By adding a ridge-like penalty to make the problem convex, we prove that when the ridge penalty parameter is sufficiently large, our method estimates the variable importance measure with an error rate of $O(\frac{1}{\sqrt{n}})$ where $n$ is the number of training samples. We also show that our estimator is asymptotically normal, enabling us to provide confidence bounds for the VI estimates. We demonstrate through simulations that our method is fast and accurate under several data-generating regimes, and we demonstrate its real-world applicability on a seasonal climate forecasting example.




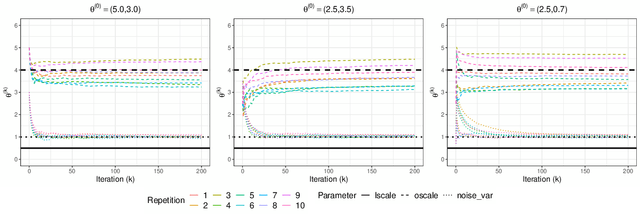
Abstract:Stochastic gradient descent (SGD) and its variants have established themselves as the go-to algorithms for large-scale machine learning problems with independent samples due to their generalization performance and intrinsic computational advantage. However, the fact that the stochastic gradient is a biased estimator of the full gradient with correlated samples has led to the lack of theoretical understanding of how SGD behaves under correlated settings and hindered its use in such cases. In this paper, we focus on hyperparameter estimation for the Gaussian process (GP) and take a step forward towards breaking the barrier by proving minibatch SGD converges to a critical point of the full log-likelihood loss function, and recovers model hyperparameters with rate $O(\frac{1}{K})$ for $K$ iterations, up to a statistical error term depending on the minibatch size. Our theoretical guarantees hold provided that the kernel functions exhibit exponential or polynomial eigendecay which is satisfied by a wide range of kernels commonly used in GPs. Numerical studies on both simulated and real datasets demonstrate that minibatch SGD has better generalization over state-of-the-art GP methods while reducing the computational burden and opening a new, previously unexplored, data size regime for GPs.




Abstract:The Internet of Things (IoT) is on the verge of a major paradigm shift. In the IoT system of the future, IoFT, the cloud will be substituted by the crowd where model training is brought to the edge, allowing IoT devices to collaboratively extract knowledge and build smart analytics/models while keeping their personal data stored locally. This paradigm shift was set into motion by the tremendous increase in computational power on IoT devices and the recent advances in decentralized and privacy-preserving model training, coined as federated learning (FL). This article provides a vision for IoFT and a systematic overview of current efforts towards realizing this vision. Specifically, we first introduce the defining characteristics of IoFT and discuss FL data-driven approaches, opportunities, and challenges that allow decentralized inference within three dimensions: (i) a global model that maximizes utility across all IoT devices, (ii) a personalized model that borrows strengths across all devices yet retains its own model, (iii) a meta-learning model that quickly adapts to new devices or learning tasks. We end by describing the vision and challenges of IoFT in reshaping different industries through the lens of domain experts. Those industries include manufacturing, transportation, energy, healthcare, quality & reliability, business, and computing.




Abstract:Network estimation from multi-variate point process or time series data is a problem of fundamental importance. Prior work has focused on parametric approaches that require a known parametric model, which makes estimation procedures less robust to model mis-specification, non-linearities and heterogeneities. In this paper, we develop a semi-parametric approach based on the monotone single-index multi-variate autoregressive model (SIMAM) which addresses these challenges. We provide theoretical guarantees for dependent data and an alternating projected gradient descent algorithm. Significantly we do not explicitly assume mixing conditions on the process (although we do require conditions analogous to restricted strong convexity) and we achieve rates of the form $O(T^{-\frac{1}{3}} \sqrt{s\log(TM)})$ (optimal in the independent design case) where $s$ is the threshold for the maximum in-degree of the network that indicates the sparsity level, $M$ is the number of actors and $T$ is the number of time points. In addition, we demonstrate the superior performance both on simulated data and two real data examples where our SIMAM approach out-performs state-of-the-art parametric methods both in terms of prediction and network estimation.




Abstract:In a variety of settings, limitations of sensing technologies or other sampling mechanisms result in missing labels, where the likelihood of a missing label in the training set is an unknown function of the data. For example, satellites used to detect forest fires cannot sense fires below a certain size threshold. In such cases, training datasets consist of positive and pseudo-negative observations where pseudo-negative observations can be either true negatives or undetected positives with small magnitudes. We develop a new methodology and non-convex algorithm P(ositive) U(nlabeled) - O(ccurrence) M(agnitude) M(ixture) which jointly estimates the occurrence and detection likelihood of positive samples, utilizing prior knowledge of the detection mechanism. Our approach uses ideas from positive-unlabeled (PU)-learning and zero-inflated models that jointly estimate the magnitude and occurrence of events. We provide conditions under which our model is identifiable and prove that even though our approach leads to a non-convex objective, any local minimizer has optimal statistical error (up to a log term) and projected gradient descent has geometric convergence rates. We demonstrate on both synthetic data and a California wildfire dataset that our method out-performs existing state-of-the-art approaches.




Abstract:In this paper, we develop novel perturbation bounds for the high-order orthogonal iteration (HOOI) [DLDMV00b]. Under mild regularity conditions, we establish blockwise tensor perturbation bounds for HOOI with guarantees for both tensor reconstruction in Hilbert-Schmidt norm $\|\widehat{\bcT} - \bcT \|_{\tHS}$ and mode-$k$ singular subspace estimation in Schatten-$q$ norm $\| \sin \Theta (\widehat{\U}_k, \U_k) \|_q$ for any $q \geq 1$. We show the upper bounds of mode-$k$ singular subspace estimation are unilateral and converge linearly to a quantity characterized by blockwise errors of the perturbation and signal strength. For the tensor reconstruction error bound, we express the bound through a simple quantity $\xi$, which depends only on perturbation and the multilinear rank of the underlying signal. Rate matching deterministic lower bound for tensor reconstruction, which demonstrates the optimality of HOOI, is also provided. Furthermore, we prove that one-step HOOI (i.e., HOOI with only a single iteration) is also optimal in terms of tensor reconstruction and can be used to lower the computational cost. The perturbation results are also extended to the case that only partial modes of $\bcT$ have low-rank structure. We support our theoretical results by extensive numerical studies. Finally, we apply the novel perturbation bounds of HOOI on two applications, tensor denoising and tensor co-clustering, from machine learning and statistics, which demonstrates the superiority of the new perturbation results.




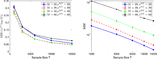
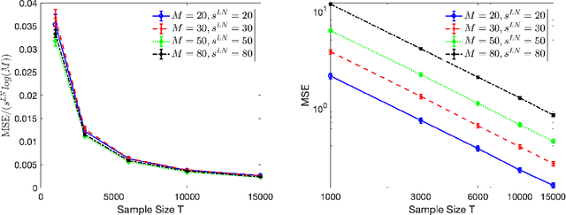
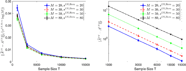
Abstract:High-dimensional autoregressive point processes model how current events trigger or inhibit future events, such as activity by one member of a social network can affect the future activity of his or her neighbors. While past work has focused on estimating the underlying network structure based solely on the times at which events occur on each node of the network, this paper examines the more nuanced problem of estimating context-dependent networks that reflect how features associated with an event (such as the content of a social media post) modulate the strength of influences among nodes. Specifically, we leverage ideas from compositional time series and regularization methods in machine learning to conduct network estimation for high-dimensional marked point processes. Two models and corresponding estimators are considered in detail: an autoregressive multinomial model suited to categorical marks and a logistic-normal model suited to marks with mixed membership in different categories. Importantly, the logistic-normal model leads to a convex negative log-likelihood objective and captures dependence across categories. We provide theoretical guarantees for both estimators, which we validate by simulations and a synthetic data-generating model. We further validate our methods through two real data examples and demonstrate the advantages and disadvantages of both approaches.