co-first author
Abstract:Cloud Optical Thickness (COT) is a critical cloud property influencing Earth's climate, weather, and radiation budget. Satellite radiance measurements enable global COT retrieval, but challenges like 3D cloud effects, viewing angles, and atmospheric interference must be addressed to ensure accurate estimation. Traditionally, the Independent Pixel Approximation (IPA) method, which treats individual pixels independently, has been used for COT estimation. However, IPA introduces significant bias due to its simplified assumptions. Recently, deep learning-based models have shown improved performance over IPA but lack robustness, as they are sensitive to variations in radiance intensity, distortions, and cloud shadows. These models also introduce substantial errors in COT estimation under different solar and viewing zenith angles. To address these challenges, we propose a novel angle-invariant, attention-based deep model called Cloud-Attention-Net with Angle Coding (CAAC). Our model leverages attention mechanisms and angle embeddings to account for satellite viewing geometry and 3D radiative transfer effects, enabling more accurate retrieval of COT. Additionally, our multi-angle training strategy ensures angle invariance. Through comprehensive experiments, we demonstrate that CAAC significantly outperforms existing state-of-the-art deep learning models, reducing cloud property retrieval errors by at least a factor of nine.
Abstract:Automated penetration testing (AutoPT) powered by large language models (LLMs) has gained attention for its ability to automate ethical hacking processes and identify vulnerabilities in target systems by leveraging the intrinsic knowledge of LLMs. However, existing LLM-based AutoPT frameworks often underperform compared to human experts in challenging tasks for several reasons: the imbalanced knowledge used in LLM training, short-sighted planning in the planning process, and hallucinations during command generation. In addition, the penetration testing (PT) process, with its trial-and-error nature, is limited by existing frameworks that lack mechanisms to learn from previous failed operations, restricting adaptive improvement of PT strategies. To address these limitations, we propose a knowledge-informed self-reflective PT framework powered by LLMs, called RefPentester, which is an AutoPT framework designed to assist human operators in identifying the current stage of the PT process, selecting appropriate tactic and technique for the stage, choosing suggested action, providing step-by-step operational guidance, and learning from previous failed operations. We also modeled the PT process as a seven-state Stage Machine to integrate the proposed framework effectively. The evaluation shows that RefPentester can successfully reveal credentials on Hack The Box's Sau machine, outperforming the baseline GPT-4o model by 16.7%. Across PT stages, RefPentester also demonstrates superior success rates on PT stage transitions.




Abstract:Up to now, the training processes of typical Generative Adversarial Networks (GANs) are still particularly sensitive to data properties and hyperparameters, which may lead to severe oscillations, difficulties in convergence, or even failures to converge, especially when the overall variances of the training sets are large. These phenomena are often attributed to the training characteristics of such networks. Aiming at the problem, this paper develops a new intelligent optimizer, Fast-Slow Co-advancing Optimizer (FSCO), which employs reinforcement learning in the training process of GANs to make training easier. Specifically, this paper allows the training step size to be controlled by an agent to improve training stability, and makes the training process more intelligent with variable learning rates, making GANs less sensitive to step size. Experiments have been conducted on three benchmark datasets to verify the effectiveness of the developed FSCO.




Abstract:Accurate cloud property retrieval is vital for understanding cloud behavior and its impact on climate, including applications in weather forecasting, climate modeling, and estimating Earth's radiation balance. The Independent Pixel Approximation (IPA), a widely used physics-based approach, simplifies radiative transfer calculations by assuming each pixel is independent of its neighbors. While computationally efficient, IPA has significant limitations, such as inaccuracies from 3D radiative effects, errors at cloud edges, and ineffectiveness for overlapping or heterogeneous cloud fields. Recent AI/ML-based deep learning models have improved retrieval accuracy by leveraging spatial relationships across pixels. However, these models are often memory-intensive, retrieve only a single cloud property, or struggle with joint property retrievals. To overcome these challenges, we introduce CloudUNet with Attention Module (CAM), a compact UNet-based model that employs attention mechanisms to reduce errors in thick, overlapping cloud regions and a specialized loss function for joint retrieval of Cloud Optical Thickness (COT) and Cloud Effective Radius (CER). Experiments on a Large Eddy Simulation (LES) dataset show that our CAM model outperforms state-of-the-art deep learning methods, reducing mean absolute errors (MAE) by 34% for COT and 42% for CER, and achieving 76% and 86% lower MAE for COT and CER retrievals compared to the IPA method.
Abstract:Corporate fraud detection aims to automatically recognize companies that conduct wrongful activities such as fraudulent financial statements or illegal insider trading. Previous learning-based methods fail to effectively integrate rich interactions in the company network. To close this gap, we collect 18-year financial records in China to form three graph datasets with fraud labels. We analyze the characteristics of the financial graphs, highlighting two pronounced issues: (1) information overload: the dominance of (noisy) non-company nodes over company nodes hinders the message-passing process in Graph Convolution Networks (GCN); and (2) hidden fraud: there exists a large percentage of possible undetected violations in the collected data. The hidden fraud problem will introduce noisy labels in the training dataset and compromise fraud detection results. To handle such challenges, we propose a novel graph-based method, namely, Knowledge-enhanced GCN with Robust Two-stage Learning (${\rm KeGCN}_{R}$), which leverages Knowledge Graph Embeddings to mitigate the information overload and effectively learns rich representations. The proposed model adopts a two-stage learning method to enhance robustness against hidden frauds. Extensive experimental results not only confirm the importance of interactions but also show the superiority of ${\rm KeGCN}_{R}$ over a number of strong baselines in terms of fraud detection effectiveness and robustness.




Abstract:Large Language Models (LLMs) have transformed numerous fields by enabling advanced natural language interactions but remain susceptible to critical vulnerabilities, particularly jailbreak attacks. Current jailbreak techniques, while effective, often depend on input modifications, making them detectable and limiting their stealth and scalability. This paper presents Targeted Model Editing (TME), a novel white-box approach that bypasses safety filters by minimally altering internal model structures while preserving the model's intended functionalities. TME identifies and removes safety-critical transformations (SCTs) embedded in model matrices, enabling malicious queries to bypass restrictions without input modifications. By analyzing distinct activation patterns between safe and unsafe queries, TME isolates and approximates SCTs through an optimization process. Implemented in the D-LLM framework, our method achieves an average Attack Success Rate (ASR) of 84.86% on four mainstream open-source LLMs, maintaining high performance. Unlike existing methods, D-LLM eliminates the need for specific triggers or harmful response collections, offering a stealthier and more effective jailbreak strategy. This work reveals a covert and robust threat vector in LLM security and emphasizes the need for stronger safeguards in model safety alignment.




Abstract:Large language models (LLMs) have achieved unprecedented success in the field of natural language processing. However, the black-box nature of their internal mechanisms has brought many concerns about their trustworthiness and interpretability. Recent research has discovered a class of abnormal tokens in the model's vocabulary space and named them "glitch tokens". Those tokens, once included in the input, may induce the model to produce incorrect, irrelevant, or even harmful results, drastically undermining the reliability and practicality of LLMs. In this work, we aim to enhance the understanding of glitch tokens and propose techniques for their detection and mitigation. We first reveal the characteristic features induced by glitch tokens on LLMs, which are evidenced by significant deviations in the distributions of attention patterns and dynamic information from intermediate model layers. Based on the insights, we develop GlitchProber, a tool for efficient glitch token detection and mitigation. GlitchProber utilizes small-scale sampling, principal component analysis for accelerated feature extraction, and a simple classifier for efficient vocabulary screening. Taking one step further, GlitchProber rectifies abnormal model intermediate layer values to mitigate the destructive effects of glitch tokens. Evaluated on five mainstream open-source LLMs, GlitchProber demonstrates higher efficiency, precision, and recall compared to existing approaches, with an average F1 score of 0.86 and an average repair rate of 50.06%. GlitchProber unveils a novel path to address the challenges posed by glitch tokens and inspires future research toward more robust and interpretable LLMs.
Abstract:Cross-modal knowledge transfer enhances point cloud representation learning in LiDAR semantic segmentation. Despite its potential, the \textit{weak teacher challenge} arises due to repetitive and non-diverse car camera images and sparse, inaccurate ground truth labels. To address this, we propose the Efficient Image-to-LiDAR Knowledge Transfer (ELiTe) paradigm. ELiTe introduces Patch-to-Point Multi-Stage Knowledge Distillation, transferring comprehensive knowledge from the Vision Foundation Model (VFM), extensively trained on diverse open-world images. This enables effective knowledge transfer to a lightweight student model across modalities. ELiTe employs Parameter-Efficient Fine-Tuning to strengthen the VFM teacher and expedite large-scale model training with minimal costs. Additionally, we introduce the Segment Anything Model based Pseudo-Label Generation approach to enhance low-quality image labels, facilitating robust semantic representations. Efficient knowledge transfer in ELiTe yields state-of-the-art results on the SemanticKITTI benchmark, outperforming real-time inference models. Our approach achieves this with significantly fewer parameters, confirming its effectiveness and efficiency.
Abstract:This paper presents a robust fine-tuning method designed for pre-trained 3D point cloud models, to enhance feature robustness in downstream fine-tuned models. We highlight the limitations of current fine-tuning methods and the challenges of learning robust models. The proposed method, named Weight-Space Ensembles for Fine-Tuning then Linear Probing (WiSE-FT-LP), integrates the original pre-training and fine-tuning models through weight space integration followed by Linear Probing. This approach significantly enhances the performance of downstream fine-tuned models under distribution shifts, improving feature robustness while maintaining high performance on the target distribution. We apply this robust fine-tuning method to mainstream 3D point cloud pre-trained models and evaluate the quality of model parameters and the degradation of downstream task performance. Experimental results demonstrate the effectiveness of WiSE-FT-LP in enhancing model robustness, effectively balancing downstream task performance and model feature robustness without altering the model structures.




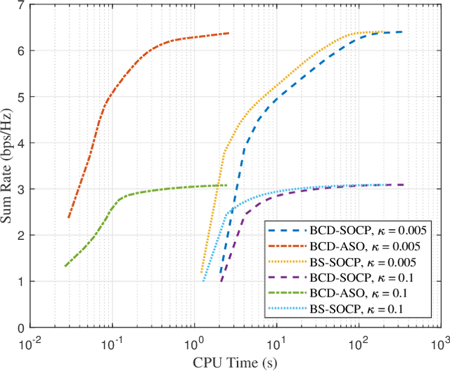
Abstract:In this paper, we consider an active reconfigurable intelligent surface (RIS) to assist the multiuser downlink transmission in the presence of practical hardware impairments (HWIs), including the HWIs at the transceivers and the phase noise at the active RIS. The active RIS is deployed to amplify the incident signals to alleviate the multiplicative fading effect, which is a limitation in the conventional passive RIS-aided wireless systems. We aim to maximize the sum rate through jointly designing the transmit beamforming at the base station (BS), the amplification factors and the phase shifts at the active RIS. To tackle this challenging optimization problem effectively, we decouple it into two tractable subproblems. Subsequently, each subproblem is transformed into a second order cone programming problem. The block coordinate descent framework is applied to tackle them, where the transmit beamforming and the reflection coefficients are alternately designed. In addition, another efficient algorithm is presented to reduce the computational complexity. Specifically, by exploiting the majorization-minimization approach, each subproblem is reformulated into a tractable surrogate problem, whose closed-form solutions are obtained by Lagrange dual decomposition approach and element-wise alternating sequential optimization method. Simulation results validate the effectiveness of our developed algorithms, and reveal that the HWIs significantly limit the system performance of active RIS-empowered wireless communications. Furthermore, the active RIS noticeably boosts the sum rate under the same total power budget, compared with the passive RIS.